- 易迪拓培训,专注于微波、射频、天线设计工程师的培养
向大家请教Gain numeric和Gain(dBi)的物理含义
录入:edatop.com 点击:
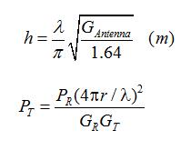
如题,想请教下Gain numeric和Gain(dBi)的物理含义。dBi=10*log10(numeric),dBi,dBd大家都很熟悉,一个是参考点源,一个是参考半波振子。好像天线有效高度以及雷达方程里面的天线增益G,都应该取的是Gain numeric。为什么不是dBi,还有就是Gain numeric有啥物理含义?麻烦哪位大哥/大姐帮小弟解答下,小弟在此先谢过了。


不知道,帮顶
好像自己有点弄明白了,Gain Numeric其实应该是增益系数,而天线增益本来的单位应该是dBi或dBd,他的定义要有个参考,要不以点源,要不以半波振子。但公式里面都是按dB来的,所以,要把这个Gain (dBi),换成Gain Numeric (dB)
申明:网友回复良莠不齐,仅供参考。如需专业帮助,请学习业界专家讲授的天线设计视频培训教程。
上一篇:求 J.D.Kraus 1947年发表的关于螺旋天线的文章Helical beam antenna
下一篇:泰勒离散线源综合-matlab实现


