- 易迪拓培训,专注于微波、射频、天线设计工程师的培养
MIMO天线的ECC计算
录入:edatop.com 点击:
天线由工作于WLan频带的2*2MIMO,以及工作于GSM和DCS频带的双频带IFA天线组成,由实测的S参数计算MIMO两单元天线间的包络相关系数ECC,需要考虑它们与IFA天线的耦合吗?
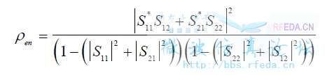
以下两个公式,第一个是仅仅有2*2MIMO天线的ECC计算公式;第二个是N*NMIMO天线的ECC计算公式,不确定应该用哪个,还是两个都不实用,因为IFA天线与MIMO的工作频带不同,希望大家不吝赐教


以下两个公式,第一个是仅仅有2*2MIMO天线的ECC计算公式;第二个是N*NMIMO天线的ECC计算公式,不确定应该用哪个,还是两个都不实用,因为IFA天线与MIMO的工作频带不同,希望大家不吝赐教


很是不懂。
你是如何测量的?
假如测量的时候IFA接匹配负载了就可以视为系统内部的一部分, 只考虑MIMO的S参数
就是接匹配负载测量的
我也有此疑问?望大牛解惑!
申明:网友回复良莠不齐,仅供参考。如需专业帮助,请学习业界专家讲授的天线设计视频培训教程。
上一篇:电子标签天线S11大于0问题
下一篇:微带天线串馈网络,求高手解释


