- 易迪拓培训,专注于微波、射频、天线设计工程师的培养
分集天线的隔离度和相关系系数换算关系
录入:edatop.com 点击:
请教下各位天线达人,LTE中普遍都是有分集天线了,为了更大的提升性能,都是要求比较高的天线隔离度。
期望值比如是15db,实际中可能稍微差些,毕竟手机空间有限,一般都是一上一下然后垂直摆放。
不过更多使用相关系数这个指标来衡量分集天线的性能,应该是隔离度低会导致高的相关系数从而降低分集天线性能。
但是不是很清楚天线隔离度和相关系数的换算关系,还有相关系数应该是多少比较好,一般可以做到多少。除了天线隔离度的指标之外,相关性是不是还跟其他因素有关系。
天线小白,请各位高手指点一二!
期望值比如是15db,实际中可能稍微差些,毕竟手机空间有限,一般都是一上一下然后垂直摆放。
不过更多使用相关系数这个指标来衡量分集天线的性能,应该是隔离度低会导致高的相关系数从而降低分集天线性能。
但是不是很清楚天线隔离度和相关系数的换算关系,还有相关系数应该是多少比较好,一般可以做到多少。除了天线隔离度的指标之外,相关性是不是还跟其他因素有关系。
天线小白,请各位高手指点一二!
顶一下,没人知道?
帮顶
我其实也不懂,但是从你的描述中,我发现隔离度与相关性就是相反关系啊,隔离度高了,那相关性就降低了。
所以确定隔离度指标,与确定相关性指标,是相同的。所以知道隔离度就可以啦
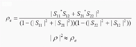
目前计算相关性系数有两种方法,第1是从s11的角度,第2是从远场的场强计算;
这是从S11的角度计算相关性系数的公式,通常情况下 低频要小于0.5,高频是小于0.4;相关性系数和隔离度有直接的关系如公式所示:
以我的智商是看不懂这个公式了。不过我要的就是这个低频0.5,高频0.4的直观数据。否则提到相关系数0.4我都不知掉好坏。15DB的隔离度应该优于低频的0.5吧?
帮顶,接触的比较少
学习一下
这个话题不错,顶起来,希望更多的人参与进来讨论!
帮顶,接触的比较少
我之前用过这个公式算过,算出来不准
受教了
申明:网友回复良莠不齐,仅供参考。如需系统了解手机天线设计,可以学习业界专家讲授的手机天线设计培训教程。
上一篇:2.4g 偶极子天线
下一篇:电延时、电长度校准问题


