- 易迪拓培训,专注于微波、射频、天线设计工程师的培养
CST色散模型的建立的疑问
录入:edatop.com 点击:
想要建模的介电常数和电导率是这样的

CST帮助里介绍的一阶德拜模型如图

,
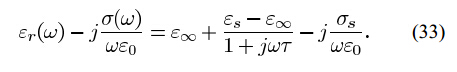
我用到的公式是这样的,

公式中提到的参数是这样的,

,这个部分的意思是不是3Ghz以前的介电常数和电导率分布可以用这些参数带入到德拜公式计算出来,计算出来符合图中所示的分布。
我的疑问就是
1、如果我要在CST里建立这个材料的模型,按照帮助文件,那个没有我的德拜公式的第三项。这个怎么整?
2、如果我想利用材料页,色散那个子标签里的user导入功能,我能不能这样做?首先从介电常数和电导率图里 选出0-12Ghz步长0.5Ghz对应的介电常数和电导率,然后根据公式33的左半部分,计算出德拜公式的实部和虚部的值,然后将这个值导入到CST里,CST会自动拟合出符合我导入值的分布曲线。这样做对吗? cst里的eps' 和eps''是不是对应的33公式的左半部分实部和虚部。色散材料这样设置epsilon以后,电导率就包含在了eps''里了,不用另外设置了吧?
谢谢解答。
@hefang 求解答。谢谢

CST帮助里介绍的一阶德拜模型如图

,
我用到的公式是这样的,

公式中提到的参数是这样的,

,这个部分的意思是不是3Ghz以前的介电常数和电导率分布可以用这些参数带入到德拜公式计算出来,计算出来符合图中所示的分布。
我的疑问就是
1、如果我要在CST里建立这个材料的模型,按照帮助文件,那个没有我的德拜公式的第三项。这个怎么整?
2、如果我想利用材料页,色散那个子标签里的user导入功能,我能不能这样做?首先从介电常数和电导率图里 选出0-12Ghz步长0.5Ghz对应的介电常数和电导率,然后根据公式33的左半部分,计算出德拜公式的实部和虚部的值,然后将这个值导入到CST里,CST会自动拟合出符合我导入值的分布曲线。这样做对吗? cst里的eps' 和eps''是不是对应的33公式的左半部分实部和虚部。色散材料这样设置epsilon以后,电导率就包含在了eps''里了,不用另外设置了吧?
谢谢解答。
@hefang 求解答。谢谢
不懂色散,抱歉。
没看见图和公式阿
不过可以肯定的是,在cst中设置了相对介电常数和电导率,则复介电常数的实部和虚部就由程序帮你确定下来了,你甚至在开始仿真前就能看到实部和虚部与频率的关系。
希望这几张图能解答你的问题
材料设置:


材料特性曲线:

maglignant材料的设置方法与前一种材料相同,材料特性曲线如下:

非常感谢您帮我看
非常感谢大神帮我看,谢谢
谢谢谢谢,我试一下看看。我用离散点导入的方法做的时候,程序一直拟合不到好的结果。
谢谢您的解答,您在磁导率这儿设置为0.15,我不知道为什么,0.15不是应该是电导率吗?论文里的0.15s/m您设置的那个位置单位是0.15/ms 这两个是不是不一致啊?
我也发现这个问题了,CST中,如果你在dispersion中对电色散进行设置,那么在conductivity中只能设置磁导率。
申明:网友回复良莠不齐,仅供参考。如需专业解答,请学习易迪拓培训专家讲授的CST视频培训教程。
上一篇:当一个场景中有多个端口是,默认的是同时激励,还是依次激励
下一篇:CST MWS仿真结果不正确?如何看左旋极化方向图?

