- 易迪拓培训,专注于微波、射频、天线设计工程师的培养
CST实现两个高斯信号的合成
录入:edatop.com 点击:
最近做例子的时候发现这样一段话
Defining electric and magnetic symmetry planes reduces the computational complexity of the problem further. To model the combined pump and signal waves, a custom excitation is defined in CST MWSthe sum of two Gaussians in the frequency domain, one corresponding to each input wave. The pump wave has a wavelength of 1.550 m

Defining electric and magnetic symmetry planes reduces the computational complexity of the problem further. To model the combined pump and signal waves, a custom excitation is defined in CST MWSthe sum of two Gaussians in the frequency domain, one corresponding to each input wave. The pump wave has a wavelength of 1.550 m

有没有做二次谐波的大神,交流交流
使用CST进行时域仿真时可以自定义激励信号的形式,你可以自己定义两个高斯信号,然后进行叠加,然后把两者的和作为CST仿真的激励信号。
请问CST中高斯波的波函数形式和光学里的一致么,有没有说明,我没有找到。
不一致,CST里面的高斯信号是指时域波形,光学里面的是一种空间波吧。

我设置仿真的频率范围是150THz-250THz,它自己生成的信号频谱分布如上图,我不知道是不是你想要的那种.

找到函数了
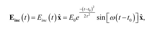
我要仿真激光的,脉宽应该是飞秒量级,已经找到方程发在帖子里了,通过VBA编程就能实现了。
申明:网友回复良莠不齐,仅供参考。如需专业解答,请学习易迪拓培训专家讲授的CST视频培训教程。
上一篇:CST如何利用探针求出S参数
下一篇:超材料阵列加入衬底后出现震荡

