- 易迪拓培训,专注于微波、射频、天线设计工程师的培养
CST MWS史密斯圆图与阻抗曲线不符是怎么回事?



那位大神知道这是什么原因吗?
以你的描述我没猜出来你的模型是什么样的……,两个馈电?
和两点馈电相似,是四个点馈电,依次相差90度来实现圆极化。我看帮助文件说当端口同时激励时是不计算S参数的。四个端口不是同时激励时得到的结果就是上面的图中所示,史密斯圆图和阻抗曲线在对应频点上不一致,不懂什么意思。
我还是看不懂你说的是什么意思……
我只关心你的模型参数是如何设置的,要么用语文能力描述清楚,要么详细截图,要么上传文件。
貌似是四个端口同时激励时,真的不计算S参数,不能得到阻抗曲线。
多端口激励条件下计算得到的入射反射参数叫做F-Parameter。反射能量如果归一化至自身入射端口的入射能量,这个叫做active S-Parameter。参考CST MWS帮助文件《Reference Value and Normalizing》和《Excitation Selection》。
只是,这个和你的模型有什么关系吗?你都没有说清楚你的模型到底是端口独立激励还是四端口同时激励。我关心的就是诸如此类的模型参数设置,你能详细而准确地描述吗?
我觉得我描述的还算清楚吧。好吧,我还是上传文件吧,麻烦你帮我看一下谢了
ZIP的可以快一点得到回复吗?
我也没有搞定楼主的问题。按照道理来说,斯密斯原图上的曲线和输入端口的阻抗曲线按照相应的公式换算得到的图形是一样的。CST也是通过加载每个端口的S参数的幅度和相位生成斯密斯原图,同理也是通过S参数的幅度和相位生成相应的阻抗曲线图。在微波网络书籍书籍里面有讲互相换算的。
关于有源阻抗,EDATOP说的很清楚。你可以先计算出各个端口的S参数,然后通过一个多端口的功分器对接这个S参数,那么从输入口得到的S参数应该就是有源阻抗了。
好,来分析一下你的问题。
首先替你做你应该做的事:
模型:

背面:

背面细节:

背面开路微带线使用50欧姆离散端口做为激励,介质FR4,厚度0.381毫米。
正面矩形天线使用缝隙耦合,介质AD,介电常数2.55,厚度2毫米。
不考虑网格设置和边界条件,依照楼主的默认设置,4端口分别激励,得到的S参数:

史密斯原图(阻抗形式):

在史密斯原图上可以得到2.5 GHz左右的读数是实部:37.097246欧姆,虚部:-19.045575欧姆。
执行Results -> S Parameter Calculations -> Calculate Z and Y Matrices,得到:
Z Matrix Real:

ZMatrix Imaginary:

楼主的问题是:为什么史密斯原图中读出的读数和Z Matrix的数值不一致。
好,雷锋当完了,回到我自己。
一个问题:Smith Chart是以阻抗形式表示的S参数,以我的理解Z Matrix是Z参数。两个是完全不同的两个参数,为什么要一致?
CST MWS帮助文件《1D Result View》提到:“The scattering parameters can be converted into impedance and admittance parameters by choosing Results-> S-Parameter Calculations ->Calculate Z and Y Matrices”,似乎并没有说是Z参数或是Y参数。可以验证:
Z Matrix Magnitude:

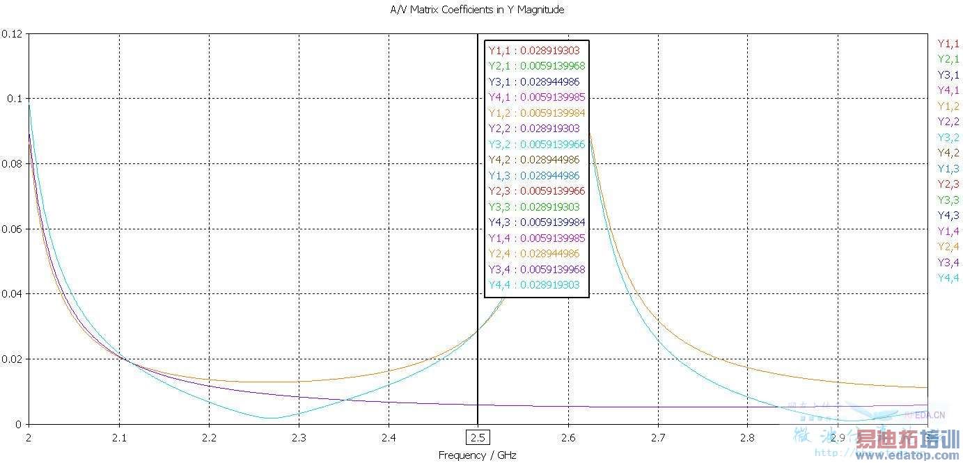
Y Matrix Magnitude:

2.5 GHz的Z值:9.6053428,Y值:0.028919303。
使用Template based postprocessing -> S Parameters -> Z Parameter / Y Parameter,得到:
Z11 Magnitude:

Y11 Magnitude:

与上面的数值一模一样,因此我认为Z Matrix计算的是Z参数矩阵。
好,现在问题转化为:以阻抗形式表示的S参数是否与Z参数一致?
我个人认为否。因为S参数定义为匹配网络条件下计算得到的功率比值,Z参数定义为开路条件下的驱动点阻抗。定义不同,数值不能保证相同。
接下来是另一个问题:这个模型微带线开路,S参数是否数值上要与Z/Y参数一致?我不知道,虽然个人认为不太可能。如果有朋友认为是一致的,请给出证明。
申明:网友回复良莠不齐,仅供参考。如需专业解答,请学习易迪拓培训专家讲授的CST视频培训教程。
上一篇:用CST对光波导的仿真
下一篇:请问这个CST人体模型怎么打开?

