- 易迪拓培训,专注于微波、射频、天线设计工程师的培养
关于CST色散模型的建立的疑问求解答
录入:edatop.com 点击:
想要建模的介电常数和电导率是这样的
CST帮助里介绍的一阶德拜模型如图
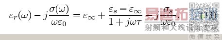
我用到的公式是这样的,
公式中提到的参数是这样的,
我的疑问就是
1、如果我要在CST里建立这个材料的模型,按照帮助文件,那个没有我的德拜公式的第三项。这个怎么整?
2、如果我想利用材料页,色散那个子标签里的user导入功能,我能不能这样做?首先从介电常数和电导率图里 选出0-12Ghz步长0.5Ghz对应的介电常数和电导率,然后根据公式33的左半部分,计算出德拜公式的实部和虚部的值,然后将这个值导入到CST里,CST会自动拟合出符合我导入值的分布曲线。这样做对吗? cst里的eps' 和eps''是不是对应的33公式的左半部分实部和虚部。色散材料这样设置epsilon以后,电导率就包含在了eps''里了,不用另外设置了吧?
谢谢解答。
@hefang 求解答。谢谢
材料特性曲线:
maglignant材料的设置方法与前一种材料相同,材料特性曲线如下:

CST帮助里介绍的一阶德拜模型如图

我用到的公式是这样的,

公式中提到的参数是这样的,

我的疑问就是
1、如果我要在CST里建立这个材料的模型,按照帮助文件,那个没有我的德拜公式的第三项。这个怎么整?
2、如果我想利用材料页,色散那个子标签里的user导入功能,我能不能这样做?首先从介电常数和电导率图里 选出0-12Ghz步长0.5Ghz对应的介电常数和电导率,然后根据公式33的左半部分,计算出德拜公式的实部和虚部的值,然后将这个值导入到CST里,CST会自动拟合出符合我导入值的分布曲线。这样做对吗? cst里的eps' 和eps''是不是对应的33公式的左半部分实部和虚部。色散材料这样设置epsilon以后,电导率就包含在了eps''里了,不用另外设置了吧?
谢谢解答。
@hefang 求解答。谢谢
不懂色散,抱歉。
没看见图和公式阿
不过可以肯定的是,在cst中设置了相对介电常数和电导率,则复介电常数的实部和虚部就由程序帮你确定下来了,你甚至在开始仿真前就能看到实部和虚部与频率的关系。
希望这几张图能解答你的问题
材料设置:


材料特性曲线:

maglignant材料的设置方法与前一种材料相同,材料特性曲线如下:

非常感谢您帮我看
非常感谢大神帮我看,谢谢
谢谢谢谢,我试一下看看。我用离散点导入的方法做的时候,程序一直拟合不到好的结果。
谢谢您的解答,您在磁导率这儿设置为0.15,我不知道为什么,0.15不是应该是电导率吗?论文里的0.15s/m您设置的那个位置单位是0.15/ms 这两个是不是不一致啊?
我也发现这个问题了,CST中,如果你在dispersion中对电色散进行设置,那么在conductivity中只能设置磁导率。
目前看来,只能结合一阶德拜公式和你给的参数,算出复电导率的实部和虚部分别关于频率的函数,用matlba把这两个函数离散化,然后用dispersion里的user选项,导入这个离散数据文件。
谢谢啦,只能这样了好像
申明:网友回复良莠不齐,仅供参考。如需专业解答,请学习易迪拓培训专家讲授的CST视频培训教程。

