- 易迪拓培训,专注于微波、射频、天线设计工程师的培养
RCC小功率电源中占空比对频率F的影响
录入:edatop.com 点击:
RCC方案是一种工作于临界模式的反激式电路,正因为其特殊性的临界模式,导致了功率电源RCC方案的频率不是定频的,这是与PWM方案质的区别,可是RCC方案的占空比D频率f到底是什么样的关系呢 以下内容做个简单的推导,来解释其中的奥妙关系。
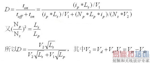
熟悉开关电源知识的朋友想必对于妙伏秒平衡的原理了如指掌,因此本文就不再进行赘述,直接对公式进行引用,对原边进行激磁分析,得出:

很容易就知道其占空比的关系:

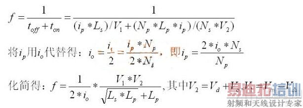
也很容易知道其频率的关系为:

由以上D与f的关系式,可知:
占空比只与输入电压存在关系,与输出电流无关系;在低压的情况下,开关电源的占空比最大,高压的情况下,开关电源的占空比最小;
此外,小功率电源频率f与输入电压和输出电流都有关系,并且在低压满载的情况下,开关电源的频率最低,在高压轻空载的情况下,开关的频率最高。
射频工程师养成培训教程套装,助您快速成为一名优秀射频工程师...
射频和天线工程师培训课程详情>>

