- 易迪拓培训,专注于微波、射频、天线设计工程师的培养
基于改进的神经网络油田配电网谐波预测研究
1 引言
油田配电网中大量使用变频、整流和开关电源技术制造的节能设备,特别是变频调速电机、永磁同步电机、变频器、高频开关电源等新型节能设备以及非线性电子设备如节能灯、计算机和家用电器等非线性负荷,这些设备在节约能源和提高生产效率的同时,也产生了大量的电力谐波并注入到电网中,使供电质量变坏,对电气设备产生极大的危害[1]。
针对谐波的危害,可按照配电网的结构、参数和负荷情况,通过电能质量分析,检测系统的谐波参数和谐波幅值,并通过计算分析判断电力系统中的电压电流波形畸变是否控制在允许的范围内、并给出预警预报。对油田配电网来说,通过频率扫描,谐波计算可以选择合适的滤波器,使其对电网的谐波污染控制在标准范围之内,并预防谐振事故的发生。
随着我国工业化进程的不断加快,对电能质量的要求也越来越高,然而现实却是越来越严峻,日趋严重的“电力污染”问题不仅对油田配电网的安全稳定的运行造成危害,而且很容易出现某些问题,而造成无法挽回的巨大经济损失[2]。所以,谐波及其治理将是科研工作者和企业亟待解决的问题。
本文首先针对有天油田配电网的机构特性,建立模拟的谐波产生规律模型,采用神经网络进行预测预报,
并通过MATALB进行仿真研究。
2 油田配电网谐波系统模型分析
油田配电网结构复杂,网络系统结构中谐波成分很不相同,畸变波形也是千差万别,收集所有类型的畸变波形具有很大难度,况且并不是所有的畸变波形都可以用作训练样本的。因此很难从建立一个理论上的具有一定精度的数学模型。从对油田配电网中典型的非线性负载所产生的畸变波形的研究分析发现,偶次谐波成分占得比重不大,奇次谐波比重较高且危害很大,并且从分析中发现,任一奇次谐波的幅值一般情况下不会超过基波幅值的50%,谐波次数越高幅值越小。因而在实际测量的时候,我们可以只需要测量其中的奇次谐波。
电力系统中的一些非正弦周期电流可用傅立叶级数展开:

假设奇次谐波以一定的幅度逐渐由0开始递增,但上限为基波幅度的50%,为简化模型,油田配电网中5次和7次谐波危害严重,因此,本文假设测量谐波电流中的只存在5次谐波,则模型变为:
式(2)中,假设初相角一定的情况下,为实现5次谐波幅值的预测,首先确定(2)式中的三个电流变量,等式左边总的电流值变量和等式右边的基波电流值变量为输入,等式右边的五次谐波电流值变量为输出,且其幅值可以从基数值按比例增加到50%以上。

图1 神经网络模型结构
神经网络建模的模型如图1所示[3],输入为总的电流值和基波电流值,输入样本可以选择一个周期的随机值,输出为5次谐波的幅值。隐含层神经元数量为8个,隐含层个数要根据实际仿真时的训练样本数据分析情况进行适当调整,没有具体的确定方案,以模型输出误差和神经网络权值、阈值作为调整的依据。
3 基于神经网络的配电网谐波预测研究步骤
根据油田配电网谐波结构的特点,本文采用BP神经网络进行谐波预测,实现步骤如下[4-5]:
(1) 数据采集与数据的归一化。
主要包括和油田配电网谐波预测相关的电压、电流、谐波波次幅值等参数。
(2) 训练样本、测试样本和校验样本的建立。
(3) 构建神经网络,以总电流和基波电流为输入,以5次谐波幅值为输出,隐含层选择8个进行构建神经网络。
(4) 指定训练参数进行训练。
(5) 完成训练后,就可以调用训练结果,输入测试数据,进行测试。
(6) 数据进行反归一化。
(7) 误差分析。
4 基于BP神经网络的谐波发生预测仿真研究
BP网络作为一种多层前向神经网络,具有相对比较成熟的理论和算法,是目前在该领域研究比较多的ANN,它可以实现从输入到输出的任意非线性映射。这种BP网络可以在油田配电网系统中用于对谐波进行实时测量。这是因为电网中的被测量是由各次谐波和基波所构成的非正弦周期波形。实现对谐波信息的实时测量,首先需要根据实际的情况选择相应的网络结构,然后将待测量的采样数据施加在经过合理样本充分训练后的网络中。因为相角、幅值变化范围大并且不具有规律,所以同时改变相角和幅值来对网络训练的话,将会增加网络的负担,因其同时负担两种变化的记忆,如此一来,对谐波测量的速度和精度都会造成很大的影响,因而本文是以假设初相角己经确定为前提的状态下。 [p]
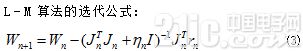
传统BP网络收敛速度慢,很难实现大量样本数据的处理及应用与进行实时预报。因而,与以往常规的梯度下降法不同,本文修正BP网络的阈值和连接权值采用Levenberg-Marquardt算法(简称L-M算法)。L-M算法的基本原理如下:

式中:I为单位阵;为一个非负值。依赖于的幅值,该方法光滑地在两种极端情况之间变法:即Guass-Newton法(当0)和标准梯度法(当)。该式即可作为BP神经网络的学习训练方法。
网络权值和偏差的变化量:
并以此不断来对网络进行调整训练,直至达到目标要求。由式(3)可知,L-M法实际上综合了Newton法和标准梯度下降法二者的优点,是Newton法和标准梯度下降法的结合。因而,以L-M算法设计的BP网络在精度及收敛速度方面都有很明显的优势。
根据公式(2)模型中的假设,训练过程中,输入为总的电流值和基波电流值,根据采样时间的不同每个周期选择8对样本,基波的幅值上限定位1.0,模型的输出为0.02、0.05和0.5幅值的5次谐波,这样输入共24对采样样本。

图2 基于L-M算法的BP神经网络
谐波预测模型建立
基于L-M算法的网络模型训练过程如图2所示,基于24对训练样本的的模型平均误差为0.0085,达到了一定的精度。为验证网络的泛化能力,重新生成40对样本,输出谐波幅值分别是0.4和0.08,仿真结果如图3所示。文中仿真数据采用阶跃跟踪信号,神经网络模型的仿真结果验证了L-M算法具有梯度法的全局特性,提供了牛顿法的速度和保证收敛的梯度下降法之间的折衷,收敛的迭代次数少,能快速完成网络训练。

图3 基于L-M算法的BP神经网络
谐波预测误差
5 结束语
本文结合油田的实际需求,建立了油田配电网简化的数学模型,以五次谐波为研究对象,设为神经网络的输出进行仿真研究,采用改进的BP神经网络方法对油田配电网谐波进行预测预报,并进行了测试样本验证。仿真结果验证了L-M算法的优越性,本文提出的神经网络预测油田配电网谐波能减少谐波污染,非常具有实用价值。因此,本课题的研究将对于我国在油田节能供电方面技术的提升、供电质量的提高以及高性能供电技术的发展都具有很大的意义,为使电能能够在油田中得到高效、低污染的应用开辟重要途径。
射频工程师养成培训教程套装,助您快速成为一名优秀射频工程师...
天线设计工程师培训课程套装,资深专家授课,让天线设计不再难...
上一篇:达人DIY
零瓦调起的范围线性直流电源
下一篇:滤波器电路设计与方案

