- 易迪拓培训,专注于微波、射频、天线设计工程师的培养
一种用于线性稳压器的限流电路
1 引 言
目前伴随着便携移动设备的快速 发展, 电源芯片得到更广泛的应用, LDO 芯片即是一种重要的电源芯片。但在发生输出短路或负载电流过大的情况, LDO稳压器可能会损坏, 特别是在短路情况下,LDO存在过大的电流从调整管通过, 进而可能烧坏调整管致使芯片无法工作。因此需要设计一种用于LDO稳压器的限流电路 , 能在过载或短路情况下及时关闭电源系统。
2 电路结构
这种限流电路的主要结构包括: 电流采样电路、电流比较电路和基准源电路。如图1 所示, 它将从LDO输出电路得到的采样电流, 与基准电流(镜像于基准源) 作比较。根据实际需要, 设定当输出驱动电流大于100mA 时, 采样电流大于基准电流, 比较器翻转输出低电平, 经反相器整形后得到逻辑0,由此LDO 被关闭, 从而实现限流功能。
2. 1 电流采样电路
如图1 所示, 电流采样电路包括MP5、MP4、MP3、MN2和MN1。因为MP5 和MP6均工作在饱和区, 为了使MP5更好地等比例镜像LDO 的调整管( PMOS驱动管)MP6的电流, 特使用MN1、MN2、MP3 和MP4 组成自偏置的镜像阵列, 以保证VX= VY, Vds_p5= Vds_p6。所以根据饱和区电流公式得到, N1 I_p5= N1 Is= N1 Is1= I_p6。为使M3电流与Is更好的匹配, 根据经验值并考虑功耗因素, 特意将MN1、MN2和M3的过饱和电压提高到0. 3V。

图1 电流采样电路与电流比较电路
2. 2 电流比较电路
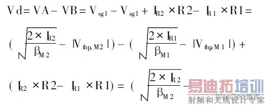
电流比较电路由电压比较器A 1, 若干电阻和MOS管构成。参考图2可知, 电流比较电路的左半部分将电流转化为电压, 而A1比较两者电压差给出判断电压Vc。

图2 比较器A1电路 [p]
因为M1, M2和M3均工作在饱和区, 有
Is= N2 × Is2= N2 × I1 = N2 × IR 1。
VA= VDD- V sg1- IR1 ×R1;
VB= VDD- V sg2- IR2 ×R2
由此可得:


为了简便计算, 设当Vd= 0时, 公式( 1)中前一个括号和后一个括号分别为零, 那么整理后得到
,代入输出电流Io和基准电流Ir后得到:

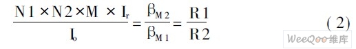
当Io= 100mA 时, V d= 0, 比较器A1翻转, LDO关闭。设定N1= 200, N2= 4, M = 4, Ir= 10uA, 得到M 1和M2的宽长比之比和R1与R2 的电阻之比。
那么利用PMOS 的饱和区电流公式可得M1 与M2的具体尺寸。为使此时电压比较器A1性能更佳,设定VB 为VDD的一半, 可求出R2阻值, 再根据公式( 2)得到的电阻比例, 便可得到R1阻值。
另外, 为使限流电路能应用在较复杂的电源条件下, 当电荷泵充当电源时, 该电路设计一方面提高A1的PSRR, 另一方面如上所述, 利用M1、M2 管和电阻R1、R2, 降低电源VDD 的抖动对A1 输入端的影响。
在输出端加入退耦电容Cde, 以防止高频干扰产生误判断。
为提高PSRR 参数, A1选择跨导放大电路, 并且增大PMOS的沟道长度。同时为抑制噪声干扰,在尾电流一定的条件下, 增大输入差分对的宽长比。
利用Hspice仿真得到比较器A 1的幅频曲线和PSRR, 如图3所示。

图3 比较器A1的幅频曲线和PSRR曲线 [p]
由此可知, 这种比较器低频增益为60db, PSRR约为160db, 当频率为1M时增益大于40db, 而PSRR大于80db, 所以比较器能够满足限流性能要求。
2. 3 基准源
基准源电路采用 倍乘基准自偏置电路。
图4中NMOS采用共源共栅结构, 用以降低电源波动对基准电流的影响。

图4 基准源电路。
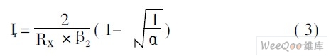
由图可推得基准电流:

因为沟道调制效应对长沟道器件影响比对短沟道器件影响小, 因而在设计基准源及其相关电流镜时, MOS管的沟道长度为最小尺寸的15倍。同时利用dummy管和差指MOS 管等版图技术, 来进一步保证镜像过程中的电流匹配。
3 性能参数和结果
将以上设计的限流电路嵌入某稳压芯片(内含电荷泵电路) 中, 实现流片量产( CMOS 工艺)。当VDD = 3V时, 通过测量量产芯片得到输出电流极限数据。统计如图5所示, 可知当输出电流处于100~120mA 范围内时, 限流电路开始工作, 关闭系统即保护LDO 安全。由此可见, 本设计电路结构简单,功能可靠, 可广泛应用于电源芯片中。

图5 统计图
射频工程师养成培训教程套装,助您快速成为一名优秀射频工程师...

