- 易迪拓培训,专注于微波、射频、天线设计工程师的培养
解答电源研发的二十几个经典问题!!
问题一:我们小功率用到最多的反激电源,为什么我们常常选择65K或者100K(这些频率段附近)作为开关频率 有哪些原因制约了 或者哪些情况下我们可以增大开关频率 或者减小开关频率
开关电源为什么常常选择65K或者100K左右范围作为开关频率,有的人会说IC厂家都是生产这样的IC,当然这也有原因。每个电源的开关频率会决定什么
应该从这里去思考原因。还会有人说频率高了EMC不好过,一般来说是这样,但这不是必然,EMC与频率有关系,但不是必然。想象我们的电源开关频率提高了,直接带来的影响是什么 当然是MOS开关损耗增大,因为单位时间开关次数增多了。如果频率减小了会带来什么 开关损耗是减小了,但是我们的储能器件单周期提供的能量就要增多,势必需要的变压器磁性要更大,储能电感要更大了。选取在65K到100K左右就是一个比较合适的经验折中,电源就是在折中合理化折中进行。
假如在特殊情形下,输入电压比较低,开关损耗已经很小了,不在乎这点开关损耗吗,那我们就可以提高开关频率,起到减小磁性器件体积的目的。
本贴关键:如何选择合适IC的开关频率 主流IC的开关频率为什么是大概是这么一些范围 开关频率和什么有关,说的是普遍情况,不是想钻牛角尖好多IC还有什么不同的频率。更多的想发散大家思维去注意到这些问题!
我这里想说的普遍情况,主要想提的是开关频率和什么有关,如何去选择合适开关频率,为什么主流IC以及开关频率是这么多,注意不是一定,是普遍情况,让新手区理解一般行为,当然开关电源想怎么做都可以,要能合理使用。
1、你是如何知道一般选择65或者100KHZ,作为开关电源的开关频率的 (调研普遍的大厂家主流IC,这二个会比较多,当然也有一些在这附近,还有一些是可调的开关频率)
2、又是如何在工作中发现开关电源开关频率确实工作在65KHZ,或100KHZ的。(从设计角度考量,普遍电源使用这个范围)
3、有两张以上的测试65KHZ100KHZ频率的图片说明吗 (何止二张图片,毫无意义)
4、你是否知道开关电源可以工作在1.5HZ.(你觉得这样谈有必要,工作没有什么不可以,纯熟钻牛角尖,做技术切记钻牛角尖,那你能谈谈为什么普遍电源不工作在1.5HZ,说这个才有意义,你做出1.5HZ的电源纯属毫无意义的事情)
提醒:做技术人员切记钻牛角尖,咱们不是校园研究派,是需要将理论与实践现结合起来,做出来的产品才是有意义的产品!
问题二:LLC中为什么我们常在二区设计开关频率 一区和三区为什么不可以 有哪些因素制约呢 或者如果选取一区和三区作为开关频率会有什么后果呢
LLC的原理是利用感性负载随开关频率的增大而感抗增大,来进行调节输出电压的,也就是PFM调制。并且MOS管开通损耗ZVS比ZCS小,一区是容性负载区,自然不可取。那么三区,开关频率大于谐振频率,这个仍是感性负载区,按道理MOS实现ZVS没有问题,确实如此。但是我们不能忽略副边的输出二极管关断。也就是原边MOS管关断时,谐振电流并没有减小到和励磁电流相等,实现副边整流二极管软关断。这也是我们通常也不选择三区的原因。
我们不能只按前人的经验去设计,而要知道只所以这样设计是有其必然的道理的!
问题三:当我们反激的占空比大于50%会带来什么 好的方面有哪些 不好的方面有哪些
反激的占空比大于50%意味着什么,占空比影响哪些因素 第一:占空比设计过大,首先带来的是匝比增大,主MOS管的应力必然提高。一般反激选取600V或650V以下的MOS管,成本考虑。占空比过大势必承受不起。
第二点:很重要的是很多人知道,需要斜坡补偿,否则环路震荡。不过这也是有条件的,右平面零点的产生需要工作在CCM模式下,如果设计在DCM模式下也就不存在这一问题了。这也是小功率为什么设计在DCM模式下的其中一个原因。当然我们设计足够好的环路补偿也能克服这一问题。
当然在特殊情形下也需要将占空比设计在大于50%,单位周期内传递的能量增加,可以减小开关频率,达到提升效率的目的,如果反激为了效率做高,可以考虑这一方法。
问题四:反激电源如果要做到一定的效率,需要从哪些方面着手 准谐振 同步整流
反激的一大劣势就是效率问题,改善效率有哪些途径可以思考的呢 减小损耗是必然的,损耗的点有开关管,变压器,输出整流管,这是主要的三个部分。
开关管我们知道反激主要是PWM调制的硬开关居多,开关损耗是我们的一大难点,好在软开关的出现看到了希望。反激无法向LLC那样做到全谐振,那只能朝准谐振去发展(部分时间段谐振),这样的IC也有很多问世,我司用的较多是NCP1207,通过在MOS管关断后,下一次开通前1脚检测VCC电压过零后,然后在一个设定时间后开通下一周期。
变压器的损耗如何做到最小,完美使用的变压器后面问题会涉及到。
同步整流一般在输出大电流情况下,副边整流流二极管,哪怕用肖特基损耗依然会很大,这时候采用同步整流MOS替代肖特基二极管。有些人会说这样成本高不如用LLC,或者正激呢,当然没有最好的,只有更合适的。
问题五:电源的传导是怎么形成的 传导的途径有哪些 常用的手段 电源的辐射受哪些东西影响 怎么做大功率的EMC。
电源传导测量方式是通过接收输入端口L,N,PE来自电源内部的高频干扰(一般150K到30M)。
解决传导必须弄清楚通过哪些途径减弱端口接收到的干扰。

如图:一般有二种模式:L,N差模成分,以及通过PE地回路的共模成分。有些频率是差共模均有。
通过滤波的方式:一般采用二级共模搭配Y电容来滤去,选择的方式技巧也很重要,布板影响也很大。一般靠近端口放置低U电感,最好是镍锌材质,专门针对高频,绕线方式采用双线并绕,减少差模成分。后级一般放置感量较大,在4MH到10MH附近,只是经验值,具体需要与Y电容搭配。X电容滤差模也需要靠近端口,一般放在二级共模中间。放置Y电容,电容布板时走线需要加粗,不可外挂,否则效果很差。(这些只是输入滤波网络上做文章)
当然也可以从源头上下手,传导是辐射耦合到线路中的结果,减弱了开关辐射也能对传导带来好处。影响辐射的几处一般有MOS管开通速度,整流管导通关断,变压器,以及PFC电感等等。这些电路上的设计需要与其他方面折中不做详述。
一些经验技巧:针对大功率的EMC一般需要增加屏蔽,立竿见影,屏蔽的部位一般有几处选择:
第一:输入EMI电路与开关管间屏蔽,这对EMC有很大的作用,很多靠滤波器无效的采用该方法一般很有效果。
第二:变压器初次级屏蔽,一般设计变压器若有空间最好加上屏蔽。
第三:散热器的位置能很好充当屏蔽,合理布板利用,散热器接地选择也很重要。
第四:判断辐射源头位置,一般有几个简单的方法,不一定完全准确,可以参考,输入线套磁环若对EMC有好处,一般是原边MOS管,输出线套磁环若对EMC有效果,一般是副边输出整流管,尤其是大于100M的高频。可以考虑在输出加电容或者共模电感。
当然还有很多其他的细节技巧,尤其是布板环路方面的,后面对LAYOUT会单独讲解。
问题六: 我们选择拓扑时需要考虑哪些方面的因素 各种拓扑使用环境及优缺点
设计电源的第一步不知道大家会想到什么呢 我是这么想,细致研究客户的技术指标要求,转换为电源的规格书,与客户沟通指标,不同的指标意味着设计难度和成本,也是对我提出的问题有很大的影响,选择拓扑时根据我们的电源指标结合成本来考虑的,哪常用的几种拓扑特点在哪呢
这里主要谈隔离式,非隔离式应用有限,当然也是成本最低的。
反激特点:适用在小于150W,理论这么说,实际大于75W就很少用,不谈很特殊的情况。反激的有点成本低,调试容易(相对于半桥,全桥),主要是磁芯单向励磁,功率由局限性,效率也不高,主要是硬开关,漏感大等等原因。全电压范围(85V-264V)效率一般在80%以下,单电压达到80%很容易。
正激特点:功率适中,可做中小功率,功率一般在200W以下,当然可以做很大功率,只是不常常这么做,原因是正激和反激一样单向励磁,做大功率磁芯体积要求大,当然采用2个变压器串并联的也有,注意只谈一般情形,不误导新人。正激有点,成本适中,当然比反激高,优点效率比反激高,尤其采用有源箝位做原边吸收,将漏感能量重新利用。
半桥:目前比较火的是LLC谐振半桥,中小功率,大功率通吃型。(一般大于100W小于3KW)。特点成本比反激正激高,因为多用了1个MOS管(双向励磁)和1个整流管,控制IC也贵,环路设计业复杂(一般采用运放,尤其还要做电流环)。优点:采用软开关,EMC好,效率极高,比正激高,我做过960W LLC,效率可达96%以上(全电压)(当然PFC是采用无桥方式)。其它半桥我不推荐,至少我不会去用,比较老的不对称桥,很难做到软开关,LLC成熟以前用的多,现在很少用,至少艾默生等大公司都倾向于LLC,跟着主流走一般都不会错。
全桥:一般用在大于2KW以上,首推移相全桥,特点,双向励磁,MOS管应力小,比LLC应力小一半,大功率尤其输入电压较高时,一般用移相全桥,输入电压低用LLC。成本特别高,比LLC还多用2个MOS。这还不是首要的,主要是驱动复杂,一般的IC驱动能力都达不到,要将驱动放大,采用隔离变压器驱动,这里才是成本高的另一方面。
推挽:应用在大功率,尤其是输入电压低的大功率场合,特点电压应力高,当然电流应力小,大功率用全桥还是推挽一般看输入电压。变压器多一个绕组,管子应力要求高,当然常提到的磁偏磁也需要克服。这个我真没用过,没涉及电力电源,很难用到它的时候。
问题七:考虑电源成本时,我们要从哪里下手呢
设计电源,成本评估必不可少,目前客户将电源的成本压得很低,各大竞争对手无不都在打价格战,大家都能做出电源来,就看谁做得更便宜,才能赢得订单,从哪些方面入手有利于我们陈本呢:
第一:技术指标。电源技术指标越高,成本越高,如果你的电源成本高了,那你可以打你的性能指标卖点,多了性能要求,电路增多了成本自然高。也是和客户谈话的资本。
第二:物料采购成本,为什么大公司电源利润高 无非是他们有着优越的采购平台,采购量大,物料成本低,当然成本更低。如果不考虑采购,作为工程师必须弄清楚不同物料对应的成本,比如能用贴片,少用插件,(比如插件电阻比贴片成本高),能用国产,不用台资,能用台资不用日系,这里的价格差异不菲。(比如日系电容比国产电容价格高几倍不止!!!当然质量也有差异;)
第三:影响成本的重要器件:变压器,电感,MOS管,电容,光耦,二极管及其他半导体器件,IC等。 不同的变压器厂家绕出来的变压器价格差异很大,MOS管应力,热阻选择够用就行,IC方案的成本等等
其它方面导致成本问题:器件散热器,大小合适,多了就是浪费钱。PCB布板,能用单面板用成双面板就是浪费钱,PCB布板工艺,选择合理的工艺加工成本低,生产效率高。
问题八:电源的环路设计,电源哪些部分影响电源的环路 好的环路有哪些指标决定
电源的环路设计一直是一个难点,为什么这么说,因为主要影响的因素太多,理论计算很难做到准确,仿真也是基于理想化模型,在这里只谈关于环路设计的一些影响因素,从定性的角度去理解环路以及怎么去做环路补偿。
环路是基于输入输出波动时,需要通过反馈,环路相应告知控制IC去调节,维持输出的稳定。电源环路一般都是串联负反馈,有的是电压串联负反馈(CC模式下),有的是电流串联负反馈(CV模式下)。
那有哪些地方会影响环路呢 电路中的零点以及极点。零点一般会导致增益上升,引起90度相移(右半平面零点会引起-90度相移)。极点一般会导致增益下降,引起-90度相移,左半平面极点会引起系统震荡。所以我们需要借助零点极点补偿手段去合理调控我们的环路。对于低频部分,为了满足足够增益一般引入零点补偿,对于高频干扰一般引入极点补偿去抵消,减少高频干扰。
环路稳定的原则是:1.在穿越频率处(即增益为零dB时的频率),系统的相位余量大于45度。
2.在相位达到-180度时增益的余量大于-12dB.3.避免过快的进入穿越频率,在进入穿越频率附近的曲线斜率为-1.
针对一般反激电路:1.产生零点的有输出滤波电容 :可以使环路增益上升。(一般在中频4K左右,对增益有好处,无需补偿)
2.若工作在CCM模式下还会产生右半平面零点。在高频段,可采用极点补偿。这个一般很难补偿,尽量避免,让穿越频率小于右半平面零点频率(15K左右,随负载变化会变化),选取3.负载会产生低频极点。采用低频零点去补偿。4.LC滤波器会产生低频极点,需要采用零点补偿。在心中要清楚哪些零极点是利是弊,针对性补偿。
补偿的电路,针对电源环路来说比较简单,一般采用对运放采用2型补偿,也有的会采用3型补偿很少用。
问题九:对各种拓扑的软开关形式有哪些 软开关是如何实现的
软开关目前使用很频繁,一来可以提升次效率,二来可以利于EMC。很多拓扑都开始利用软开关了,就连反激如果为了做高效率也引入了准谐振来实现软开关,这个在前面问题已讲过。LLC的软开关在前面问题也提过实现条件,具体实现过程没有细讲。这里就分享下我对软开关的理解。
实现条件及过程:利用软开关需要二个元素,一个是C一个是L来实现谐振(当然也可以多谐振形式),谐振会产生正弦波,正弦波就能实现过零。如果是串联谐振属于电压谐振,并联谐振属于电流谐振。
其次软开关和硬开关的差异是:硬开关过程中电压电流有重叠,软开关要么电流为零(ZCS)要么电压为零(ZVS)。MOS管的软开关可以利用结电容或者并电容,然后串电感实现串联ZVS,例如准谐振反激,有源箝位吸收电路,移向全桥的软开关。也有LC并联ZCS,不过用的很少,因为MOS管ZVS的损耗小于ZCS。LLC属于串并联式,不过我们利用的是ZVS区。(在死区的时候谐振电流过零,上管软开通前,先给下管结电容充电,上管实现软开通)
问题十:什么样的变压器才算是最完美适用的 变压器决定了什么,影响了什么
设计变压器是各种拓扑的核心点之一,变压器设计的好坏,影响电源的方方面面,有的无法工作,有的效率不高,有的EMC难做,有的温升高,有的极限情况会饱和,有的安规过不了,需要综合各方面的因素来设计变压器。
设计变压器从哪里入手呢 一般来说根据功率来选择磁芯大小,有经验的可参考自己设计过的,没经验的只能按照AP算法去算,当然还要留有一定的余量,最后实验去检验设计的好坏。
一般小功率反激推荐的用的比较多EE型,EF型,EI型,ER型,中大功率PQ的用的比较多,这里面也有每个人的习惯以及不同公司的平台差异,功率很大的,没有适合的磁芯,可以二个变压器原边串副边并的方式来做。
不同拓扑对变压器的要求也不一样,比如反激,需要考虑的是需要工作在什么模式下,感量如何调节适中。尤其是多路输出一定要注意负载调整率满足需求,耦合的效果要好,比如采用并绕,均匀绕制,以及副边匝数尽可能增多。MOS管耐压决定匝比,怎么选取合适的占空比,选取多大的Bmax(一般小于0.35,当然0.3更好,即时短路也不会饱和太严重)有的还需要增加屏蔽来整改EMC,原副边屏蔽一般加2层,外屏蔽1层就好。
大功率变压器一般更多的是关注损耗,需要铜损和磁损达到平衡,还要考虑到风冷自然冷,电流密度多大合适,功率稍大(大于150W)的一般电流密度相对取小些(3.5-4.5),功率小的(5.0-7.0)。
还要清楚电源过的什么安规,挡墙是不是足够,层间胶带是否设置合理也是不可以忽视的,一旦要做认证去改变压器也是影响进度的。
问题十一:我们真的需要到迷恋设计工具,依赖仿真的地步吗
电源的设计工具主要用在以下几个方面:1.选择磁芯及设计变压器 2.环路仿真设计 3.主功率拓扑仿真4.模拟电路仿真 5.热仿真(针对大功率)6.计算工具(计算书) 等等。
对于新人来说,我给的建议少用工具,多计算,自己把握设计的过程,因为工具是人做的,不同人的设计习惯差异,不能用一个固定的设计模式来设计不同的电源。
有些仿真可以与设计相结合:比如环路设计好后是很难直接满足设计需求的,仿真可以在试验前很好验证,但仿真也不是完全和试验一样,至少不会差太远。
熟练运用Mathcad和Saber也是必要的,只是很多我们需要弄清原理的层面,把工具只需要当做计算器来使用,更快速方便更高效来满足我们设计就好,想纯依赖工具来设计电源,无疑是走入极大误区。
问题十二:评判一块电源板LAYOUT好坏有哪些地方能一阵见血发现
什么样的PCB是一块好的PCB,至少要满足以下一个方面:1.电性能方面干扰小,关键信号线及底线走的合理,各方面性能稳定(前提是电路无缺陷)。2.利于EMC,辐射低,环路走的合理。3.满足安规,安规距离满足要求。4.满足工艺,量产可生产性,以及减小生产成本。5.美观,布局规则有序(器件不东倒西歪),走线漂亮美观,不七弯八绕的。
如何才能做到以上几点,分享我的布板经验:
1.布局前,了解清楚电源的规格书,电源的规格,有无特殊要求,以及要过的安规标准。
结构输入条件是不是准确,以及风道的确认,输入输出端口的确认,以及主功率流向。
工艺路线选取,根据器件的密度,以及有无特殊器件,选择相对应工艺路线。
2.布局中,注意合理的布局,保证四大环路尽可能小,提前预判后续走线是否好走。变压器的摆放基本决定了整体的布局,一定要慎重,放到最佳位置。EMI部分的布局流向清晰,与其它主功率部分有清晰的隔离带。减少受到主功率开关器件的干扰。各吸收回路的面积尽可能小,散热器的长度以及位置要合理,不挡风道。
3.走线部分,输入EMI电路的走线是否满足安规,原副边距离,输入输出对大地的距离都要满足安规。走线的粗细是否满足足够的电流大小,关键信号(例如驱动信号,采样信号,地线是否合理),驱动信号不要干扰敏感信号(高频信号);采样信号是否采样准确,是否会受到干扰;地线是否拉得合理(有时需要单点接地,有时需要多点接地跟实际需要有关),主功率地和信号地严格区分开,原边芯片地从采样电阻取,不要从大电解取(尤其是采样电阻和大电解地距离远时),VCC的地前级地回大电解,二级电容地接芯片,反馈信号也单点接IC,地单点接IC。散热器的地必须接主功率地,不能接信号地等等很多的细节要求。
问题十三:电源的元器件你懂多少 MOS管结电容多大,对哪些有影响 RDS跟温度是什么关系 肖特基反向恢复电流影响什么 电容的ESR会带来哪些影响
电源中的设计的器件类型很多,主要有半导体器件如:MOS管,三极管,IC,运放,二极管,光耦等;磁性器件:电感,变压器,磁珠等;电容:Y电容,X电容,瓷片电容,电解电容,贴片电容等;每种器件都有其规格,极限参数。
常规的参数在我们选型很容易把握,例如选取MOS管,耐压参数肯定会考虑,额定电流也会考虑,导通电阻我们会考虑,但还有一些寄生参数以及一些随温度变化特性的参数却很少去注意,或者只有在发现问题的时候才会去找。导通电阻Rds(on)随温度升高其阻值是变大的,设计MOS管损耗时要考虑到其工作的环境温度。结电容影响到我们的开通损耗,也会影响到EMC。
肖特基二极管耐压,额定电流一般很好注意,有些参数例如导通压降在温度升高时会减小,反向恢复时间短,不过漏电流大(尤其是考虑到高温时漏电流影响就更大了),寄生电感会引起关断尖峰很高。
电容一个重要参数ESR,在计算纹波时通常会考虑,ESR一般与C的关联是很大的,不过不同厂家的品质因素影响也是很巨大,一定要具体分清楚。
一般估算公司可参考:ESR=10/(C的0.73次方),电容在高温时寿命会缩短,低温时容量会减小,漏电流也会增加等等;
当然器件在特殊情形表现出来的特性差异是值得我们思考的问题,请大家多多思量,对于我们解决特殊情况下的问题非常有帮助。
问题十四:你对磁性材料了解多少,磁环和磁芯有哪些差异 低磁环和高磁环用在什么情况
磁性器件对开关电源的重要性不言而喻,可以说是电源的心脏部位。 磁性材料的种类也繁多,常用来做变压器的一般是铁氧体材料,主要是价格便宜,开关频率最大 能做到1000K,够一般情况下使用了。铁氧体磁芯既可以做主变压器也可以做电感,如PFC电感(一般铁硅铝材质居多,性价比高),储能电感也可以。当然在要求高的情况下,尤其是大功率一般用磁环,主要是感量可以做大,不易饱和,相对铁氧体磁芯来说,不过缺点是价格贵,尤其是大电流,绕制工艺较困难。磁环也分高U值和低U值,主要也是磁环的材料不同照成,高U环磁环外观是绿色,一般EMI电路的共模电感选用,感量会相对较大滤低频,颜色偏灰的是低U环,感量很低,滤高频。一般为了EMC都是搭配使用效果一般都比较好!
问题十五:电源损耗是怎么分布的 MOS管损耗 变压器损耗 变压器除了直流损耗,还有交流损耗怎么算的
电源损耗一般集中在以下一些方面:1.MOS管的开通损耗及导通损耗。2.变压器的铜损和铁损;3.副边整流管的损耗;4.桥式整流的损耗。5.采样电阻损耗;6.吸收电路的损耗;7.其它损耗:PFC电感损耗,LLC的谐振电感损耗,同步整流的MOS管损耗。等等。。。
针对这些损耗,适当的减小可以提升效率。1.针对MOS管可选用开关速度快的,导通电阻低的,电路上课采用软开关。2.针对变压器:选择合适大小的磁芯,磁芯太小损耗会大,很难做到铜损和铁损平衡。尤其是铜损不仅有直流损耗还有交流损耗,交流损耗一般比直流损耗还大2倍,因为铜线在高频下的交流阻抗比直流阻抗大的多,计算时一定要充分估算进去。
问题十六:电源中的热设计,散热器是怎么选择的 散热器设计需要考虑什么
散热器的设计是开关电源的一个重点,散热器主要是针对我们的发热器件温升过高,需要采用散热器来降低热阻来达到降低温升的作用!
主要发热器件:整流桥,MOS管,整流二极管,变压器,电感等等。
散热器的大小选择一般根据损耗的功率,需要的温升来计算热阻,根据热阻来选择相应面积的散热器 。

当然也需要一些辅助的方式,比如在器件和散热片间涂散热膏,有会有些效果。比较小的空间可采用型材散热,体积小,散热面积大。

特殊器件有特殊的处理:如变压器可将变压器底下的PCB板挖空散热,也可以在变压器上用导热泥贴散热片的方式。电感也可以加铜环散热等等。。。
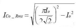
问题十七:LLC的输出滤波电容怎么决定的 受哪些因素影响
输出滤波电容对输出纹波至关重要,选择合适的滤波电容需要从成本及纹波需求考虑,当然对每种拓扑滤波电容的选取都是按照输出纹波需求,纹波电流所对应的ESR值来选取对应的电容,当然电容的容量与ESR的关系跟电容的品质也有着很重要的关系,之前已经讨论过其关系式。纹波电压时我们的需求,一般按照50mv的需求的话,设计留有余量一般选择10mv。(考虑到PCB板滤波效果,电容低温容值降低),纹波电流计算式如下:

问题十八:移相全桥的驱动是什么实现的 何为移相 移相带来什么
移相全桥目前在中大功率使用中,也是用的很火,受欢迎程度仅次于LLC谐振半桥。之前已经比较过不同拓扑的使用情况,这里就专门介绍下移相全桥的特点。
移相全桥特点一:驱动比较复杂,导致控制电路复杂,成本很高,原因是移相全桥一般有4个MOS,对驱动能力要求很高,一般IC很难做到,需要对驱动能力通过外置MOS管放大使用,又为了加强可靠性一般采用隔离变压器来驱动MOS管。
移相全桥特点二:移相,为什么要移相,移相带来什么,跟普通全桥有什么区别。移相针对的是同一组的MOS管,让2个MOS管依次导通,可以降低开关损耗。超前臂桥实现ZVS同时,副边处于续流,原边电流被二极管分担,MOS管电流也很小,近似零电流导通,滞后臂桥可以零电压导通。
移相全桥特点三:工作过程复杂,二个输出功率状态(靠原边提供能量),二个续流状态(靠副边电感及电容提供供能量),四个死区(来分别实现每个MOS管软开通I)
只是为了给新手了解移相全桥,作为开关电源比较重要的拓扑一部分,它的重点和难点在哪里。
问题十九:大功率若追求效率,无桥PFC是怎么实现的 原理是什么
很多人都听说过无桥PFC,不过真正使用起来并不很常见,原因是无桥PFC相比普通有桥PFC效率上固然有提升,一般也就在1-2%,若不是追求高效,一般都不会使用,成本太高。根据无桥PFC的特点,其实整流桥并没有真正省去不用,只是当做交流输入正负半轴的隔离使用,简单来说相当于普通二个PFC,交流正负半轴各一个,相应的PFC电感也会增加一个,MOS管也会增加一个,驱动IC也会复杂一些,对于大功率为了做高效,检测电阻用变压器绕组来做,可以减小损耗。之前接触过一个960W用无桥PFC+LLC效率达到96.5%,不过最终因为客户要求输入电压交流和直流都能满足,这时候无桥PFC就不能在直流下发挥很好的作用就否决了。
问题二十:电力电源中为什么用到三相电 三相三电平是怎么实现,三电平带来了什么
三相电在电力电源中使用比较多,一般在大功率1KW以上或者上万W的场合。三相电一般采用三相四线,其中一根是零线,四根线相当于能够传输普通二相电三倍的功率,传输功率更大是其最大优势;其次三相电易于产生,目前最常见的三相异步电机,能简单方便产生。
三相三电平是怎么回事呢,因为三相电不能直接给某些用电设备供电,需要转变成普通的二相电。一般过程,采用三相PFC转换为直流电,直流电然后逆变成二相交流电。这里面就牵涉到三电平技术,三相电PFC整流出来不是普通正负DC,而是三电平,也就是正DC,零,负DC。从这里也可以看出来采用三电平器件的应力降低,谐波含量低,开关管损耗也低,这样在高压大功率场合优势就非常突出了。
问题二十一:电源中有很多保护电路,你最多能说几种保护 怎么去实现
电源的可靠性离不开保护电路,通常有哪些保护电路呢
1.输入欠压过压很常用,对交流信号采样。
2.输出过压保护,一旦电源开关能锁机对电源可靠性也有帮助。
3.过流保护,有的是采用恒流做过流,有的采用限功率来做过流,当然也可以锁机来做,目的一个可靠性,方法很多种。最可靠的保护一定是锁死而不是打嗝!
4.过温保护,采用热敏对变压器或者是环境温度等方式检测,来反馈给到IC锁机或者打嗝。
5.短路保护,短路可以打嗝,同样也可以锁机。
这些是一般电源常用的,有的可以说是必备的保护电路。所以看好规格书选择合适的IC来做保护功能更方便的保护电路。我用过一款LD7522做反激,这些功能就能很好,可以简单全部的做出来。
问题二十二:搞电源不懂市场 你搞的电源何去何从 开发出了没用 替老板赚到钱才有用。
终于到了最后一个问题,电源市场问题一般工程师可能关注的少,注重研发是错误。项目成功不是做出来,而是赚到少的钱。
举个例子:你一年做了三个项目累死累活,赚了100万,另一个人一年就做了一个项目,比做三个项目轻松多了,一年赚了1000万,老板喜欢哪个
有的人说项目又不是我们选择,怎么知道赚不赚钱,但是赚钱项目的特点我们要熟悉啊,什么样的电源市场上比较火啊,你清楚吗 按照自己公司现有的模式来开发,有没有和大公司的设计差距啊。不是说项目能不能做出来,而是能不能最优的做出来,其实站在研发角度也就是如何选择最优拓扑,做省方案。
射频工程师养成培训教程套装,助您快速成为一名优秀射频工程师...
天线设计工程师培训课程套装,资深专家授课,让天线设计不再难...
上一篇:有关还是无关?EMI和漏感的那些事
下一篇:如何通过元件摆放来改善电路板的EMI?

