- 易迪拓培训,专注于微波、射频、天线设计工程师的培养
有源滤波器中的相位关系
在使用滤波器的应用中,通常人们对幅值响应的兴趣要比对相位响应的兴趣更浓厚。但是,在某些应用中,滤波器的相位响应也很重要。一个实例是 滤波器用于过程控制环路中的情形。这里,人们关心的是总的相移量,因为它影响到环路的稳定性。用来搭建滤波器的拓扑结构是否会造成在某些频率点处符号出现 相反,是非常重要的。
将有源滤波器视为两个级联的滤波器是一个有用的方法。如图1所示,其中一个滤波器是理想的滤波器,用于体现传递函 数;另一个是构成滤波器的放大器。在闭环的负反馈环路中所采用的放大器可以被视为一个具有一阶响应的、简单的低通滤波器。当频率超过某一点后,增益将随着 频率的增长而出现滚降现象。此外,如果放大器使用反相放大结构的话,则所有频率点上还将出现附加的180°相移。![]()
图1. 以两个级联的传递函数的形式表示的滤波器
滤 波器设计过程可分为两步。首先选定滤波器的响应特性,接下来选出适当的电路结构来实现它。滤波器的响应是指衰减曲线的形状,这常常可以归为经典的响应特性 中的一种,如Butterworth、Bessel或者某种Chebyshev型。虽然这些响应特性的选择往往会影响幅值响应特性,但它们也会影响相位响 应特性的形状。在本文中,为了进行比较,忽略幅值响应,认为其几乎不变。
滤波器的复杂性往往通过滤波器的“阶数”来定义,该参数与储能元 件(电感和电容)的数量有关。滤波器传递函数分母的阶数定义了随着频率的上升而呈现的衰减速率。渐近线型的滤波器滚降速率为-6ndB/倍频程,或者 -20ndB/十倍频程,其中n是极点的数量。倍频程是指频率的二倍或者一半,十倍频程是频率的十倍增长或者缩减。因此,一个一阶(或者单极点)滤波器的 滚降速率为-6dB/倍频程或者-20dB/十倍频程。类似的,一个二阶(或者2极点)滤波器的滚降速率为-12dB/倍频程或者-40dB/十倍频程。 更高阶次的滤波器往往是由级联的一阶和二阶基本单元所构成的。自然,我们可以利用单个有源放大电路级来构建三阶、甚至四阶滤波器,但是对于元件值的敏感, 以及元件之间的相互作用对频率响应所造成影响的大幅度上升,会使这些选择不那么具有吸引力。
传递函数
首先,我们考察一下传递函数的相位响应。对于同样阶数的滤波器选项来说,它们的传递函数的相移特性都相同。
对于单极点、低通的情形,传递函数的相移为φ,由下式给出。
(1)
式中:ω = 频率(弧度/秒)
ω0 = 中心频率(弧度/秒)
以弧度/秒为单位的频率等于2π乘以以Hz为单位的频率,这是因为每个360°周期对应着2π弧度。由于上面的表达式是一个无量纲的比值,故f和ω都可以采用。
中 心频率还可以被称为截止频率(即该单极点、低通滤波器的幅值响应特性下降3dB——约30%——的频率点)。在相位关系方面,中心频率是相移量达到其最终 值-–90°(在这个例子中)的50%时的频率点。图2是一幅半对数图,描述了公式1所表述的相位响应关系,其频率范围是中心频率以下的两个十倍频程至中 心频率以上的两个十倍频程。中心频率(=1)处的相位移动为–45°。
图2. 一个单极点、低通滤波器在中心频率附近的相位响应(同相,左轴;反相响应,右轴) 图中:Normalized Frequency——归一化频率,Phase Angle(in-phase)——相角(同相),Phase Angle(inverted)——相角(反相)
类似的,一个单极点的高通滤波器可以由下式给出:
(2)
图3描绘了公式2所表示的、在中心频率以下两个十倍频程至中心频率以上两个十倍频程这一范围内的响应特性。其归一化的中心频率(=1)处的相移为+45°。
显然,高通和低通特性类似,只是相互间存在90°的相位差(π/2 radians)
图3. 一个单极点、低通滤波器在中心频率 1 附近的相位响应(同相,左轴;反相响应,右轴) 图中:Normalized Frequency——归一化频率,Phase Angle(in-phase)——相角(同相),Phase Angle(inverted)——相角(反相)
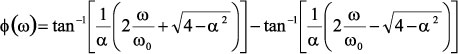
对于二阶、低通的情形,传递函数的相移可以由下式近似表示为
(3)
式 中α是滤波器的阻尼比。它将决定幅值响应曲线上的峰值以及相位曲线过渡段的陡峭程度。它是电路的Q值的倒数,这也决定了幅值滚降或相位偏移的陡峭程度。 Butterworth响应的α为1.414(Q=0.707),可以产生最大平坦度响应特性。更低的α会使幅值响应特性曲线上出现尖峰。
图4. 一个双极点、低通滤波器的中心频率 1 附近的相位响应(同相,左轴;反相响应,右轴) 图中:Normalized Frequency——归一化频率,Phase Angle(in-phase)——相角(同相),Phase Angle(inverted)——相角(反相)
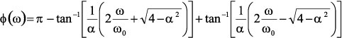
图4描绘了该式所表示的(α=1.414)、在中心频率以下两个十倍频程至中心频率以上两个十倍频程这一范围内的响应特性。这里,中心频率(=1)处出现的相位偏移为–90°。一个2极点、高通滤波器的相位特性响应可以由下式近似表示
(4)
图5描绘了该式所表示的响应特性(同样有α=1.414),其范围是中心频率(=1)以下两个十倍频程至中心频率以上两个十倍频程,相应的相移为
图5. 一个双极点、高通滤波器的中心频率 1 附近的相位响应(同相,左轴;反相响应,右轴) 图中:Normalized Frequency——归一化频率,Phase Angle(in-phase)——相角(同相),Phase Angle(inverted)——相角(反相)
同样的,显然高通和低通相位响应是类似的,仅仅存在180°的相位偏移(π弧度)。在更 高阶数的滤波器中, 每个附加段的相位响应都累加到总的相移量之上。这一特性将在下面进一步予以讨论。为了与通常的实践保持一致,所示出的相移被限制为±180°的范围之内。 例如,–181° 事实上等价于 +179°,360°等价于0°,依此类推。
一阶滤波器段
一阶滤波器段可以以多种方式来构建。 图6示出最简单的一种结构,即使用无源的R-C架构。该滤波器的中心频率为1/(2πRC)。它之后往往接一个同相的缓冲放大器,以防止滤波器之后的电路 对其产生负载效应,负载会改变滤波器的响应特性。此外,缓冲器还可以提供一定的驱动能力。相位响应如图2所示,即在中心频率点处产生45°的相移,正如传 递函数所预测的那样,这是因为没有另外的元件改变相移特性。这种响应特性将被称为同相、一阶、低通响应特性。只要缓冲器的带宽显著高于滤波器,那么缓冲器 就不会带来相移。
图6. 无源低通滤波器
请记住,这些图中的频率值是归一化的,即相对于中心频率的比值。例如,若中心频率是5kHz,则这些图将展示50Hz到500kHz范围内的相位响应特性。
图 7示出另外一种结构。该电路增加了一个并联电阻,对积分电容进行连续放电,从根本上来说它是一个有损耗的积分器。其中心频率同样是1/(2πRC)。因为 该放大器是以反相模式工作的,故反相模式将在相移特性上引入附加的180°相位。图2示出了输入-输出的相位差随频率的变化,其中包括了放大器引入的反相 (右轴)。该响应特性将被称为反相的、一阶、低通响应。
图7. 利用工作在反相模式的运放搭建的有源、单极点、低通滤波器
上面所示的电路可以衰减高频分量而通过低频分量,均属于低通滤波器。可以通过高频分量的电路则与之类似。图8示出一个无源的一阶、高通滤波器电路结构,其相位随着归一化频率的变化特性则示于图3中(同相响应)。
图8. 无源高通滤波器
图3(左轴)的曲线被称为同相、一阶、高通响应特性。该高通滤波器的有源电路示于图9中。其相位随频率的变化示于图3中(右轴)。这将被称为反相、一阶、高通响应。
图9. 有源、单极点、高通滤波器
二阶滤波器段
二阶滤波器有各式各样的电路结构。这里要讨论的是Sallen-Key、多路反馈、状态变量结构,及其类似的双二阶滤波结构。它们是最常见的结构,而且与本文的内容相关。关于各种不同结构的更为完整的信息可参见文后的参考文献。
Sallen-Key低通滤波器
广 泛使用的Sallen-Key结构也被称为电压控制电压源(VCVS)型,是MIT的林肯实验室(参见文献3)的R.P. Sallen和 E.L. Key于1955年提出的结构。图10示出了一个Sallen-Key二阶低通滤波器的电路原理图。这一结构受到广泛欢迎的一个原因是它的性能基本与运放 的性能无关,因为放大器主要作为一个缓冲器来使用。由于在基本的Sallen-Key电路中,连接成跟随器的运放并不用于产生电压增益,故对它的增益-带 宽要求并不重要。这意味着,对于给定的运放带宽而言,与运放的动态特性受到可变反馈环路特性影响的那些电路结构相比,利用这一固定的(单位)增益可以设计 出频率更高的滤波器。通过滤波器后,信号的相位保持不变(同相结构)。图4示出一个Q=0.707(或者,阻尼比α=1/Q=1.414—— Butterworth响应特性)的Sallen-Key低通滤波器的相移-频率关系图。为了简化比较,这将作为下面所考虑的二阶滤波器段的性能标准。
图10. 2极点、Sallen-Key低通滤波器
Sallen-Key高通滤波器
通过互换决定频率网络上的电容和电阻的位置,可将Sallan-Key低通电路变换为高通结构,正如图11所示的那样,而且同样采用单位增益的缓冲器。其相移-频率关系示于图5中(左轴)。这是同相、二阶、高通响应。
图11. 2极点、Sallen-Key高通滤波器
Sallen-Key滤波器的放大器增益可以通过在运放反相输入上连接一个电阻衰减器组成的反馈网络来提高。不过,改变增益将影响到决定频率网络的表达式,而且需要重新计算元件的值。该放大器的动态特性也需要更严格的考察,因为它们在环路中引入了增益。
多路反馈(Multiple-Feedback,MFB)低通滤波器
多 路反馈滤波器是一种单放大器电路结构,反馈环路是基于运放的积分器(反相配置),如图12所示。因此,运放参数对传递函数之间的影响要大于 Sallen-Key的实现方案。要产生一个高Q、高频电路是很困难的,因为运放在高频段的开环增益有限。一条指导方针是,运放的开环增益应该至少比谐振 (或者截止)频率处的幅值响应高出20dB(即10倍于之),包括滤波器的Q值造成的峰值。由于Q值而造成的尖峰将具有如下的幅值
(5)
式中:H是电路的增益。
图12. 2极点、多路反馈(MFB)、低通滤波器
该 多路反馈滤波器会使信号反相。这等价于让滤波器自身的相移增加了180°。图4示出了相位-频率变化关系(右轴)。这将被称为反相、二阶、低通响应。值得 注意的是,在得到给定响应特性的条件下,多路反馈结构中的最大和最小元件值之间的差异要大于Sallen-Key实现方案中的。
多路反馈(MFB)、高通滤波器
上面关于多路反馈、低通滤波器的评述也适用于高通的情形。图13示出一个多路反馈、高通滤波器的原理图,其理想的相移-滤波特性则示于图5中(右轴)。这被称为反相、二阶、高通响应特性。
图13. 2极点、多路反馈(MFB)高通滤波器
要保证这种滤波器的具体电路实现在高频情况下的稳定性是十分困难的,因为它是在一个微分器的基础上构建的,与所有的微分器电路所类似的是,它在更高的频率上闭环增益更大,因此会对噪声产生放大作用。
状态变量型滤波器
图14示出了一种状态变量实现方案。该结构是最灵活和最精确的实现方案,付出的代价是电路元件的数量大大增加,其中包括了3个运放。所有3个主要的参数(增益、Q和ω0)都可以独立调节,而且可以同时提供低通、高通和带通输出。该滤波器的增益也是独立的变量。
由于状态变量滤波器的所有参数都可以独立调节,故其元件值的散布变得很小。而且由于温度和元件公差所带来的失配也可以最小化。与上面的多路反馈电路类似的是,积分器部分所使用的运放的增益带宽积也成为电路的限制条件。
图14. 2极点、状态变量滤波器
其中低通滤波段的相移-频率特性属于一个反相的二阶型响应(参见图4,右轴),高通段电路将具有反相高通响应(参见图5,右轴)。
双二阶(biquad)
状 态变量滤波器的一个近亲是双二阶型(参见图15)。该电路的名称最早是由J. Tow于1968年使用的(见参考文献6),后来由L.C. Thomas 于1971年使用(见文献5),其工作是基于如下的事实:传递函数是两个二阶项之比。该电路与状态变量电路之间存在轻微的区别。在这一结构中,不能提供单 独的高通输出。不过它具有两路低通输出,其中一路是同相的(LOWPASS1),另一路是反相的(LOWPASS2)。
图15. 标准的双二阶2极点电路
由于添加了第四个放大器电路,故可以实现高通、陷波(低通、标准和高通)以及全通型滤波器。图16示出一个带有高通电路的双二阶电路的原理图。
图16. 2极点双二阶滤波器(带有高通段)
其中LOWPASS1段的相移-频率特性属于同相、二阶、低通型响应(参见图4的左轴)。LOWPASS2段将具有反相的二阶型响应(参见图4,右轴)。HIGHPASS段的相移特性属于反相特性(参见图5,右轴)。
结论
我们已经看到用于构建一个滤波器的拓扑将影响其实际的相位响应。这会是确定所用的拓扑时需要考虑的一个因素。表1对本文中讨论的各种低通滤波器结构的相移范围进行了比较。

相移特性随Q的变化特性
上述的2阶响应的Q值都是0.707。图17示出了Q的变化对低通滤波器的相位响应的影响(对高通滤波器的影响也 类似)。图中绘出了Q = 0.1,0.5,0.707,1,2,5,10和20时的相位响应曲线。值得注意的是,Q值较低的情况下,在远低于截止频率的频率上相位就开始发生变化。
图17. 相移随Q值的变化特性
虽然幅值响应随Q值的变化并非本文的主题,但也是一个令人感兴趣的问题。图18示出了Q值在上述范围内变化时一个2阶滤波器的幅值响应特性。
当 高Q电路应用于多级滤波器时,高Q电路的响应特性的尖峰现象也是令人感兴趣的问题。虽然在理论上这些电路段以何种顺序来级联并无差异,而在实践中,把Q值 较低的电路段置于高Q电路段之前将更为有利,这是为了让尖峰现象不致于超出滤波器的动态范围。虽然该图是针对低通段的,但高通响应也存在类似的尖峰。
图18. 随着Q值的变化,2极点滤波器的幅值尖峰特性的变化
高阶次滤波器
传 递函数可以级联起来,构成更高阶次的响应特性。当滤波器响应串连起来后,其在任意频率上的dB增益(以及衰减)和相角都相加起来。正如我们在前面指出的那 样,多极点滤波器一般是利用级联的二阶电路段搭建的,对于奇次阶滤波器,可以另外添加一段一阶电路。两个级联的一阶电路段并不能像单个二阶滤波段那样提供 很宽的Q值变化范围。
图19示出一个通过传递函数级联所构成的4阶滤波器。这里,我们可以看到,滤波器是由两个二阶段所构成的。![]()
图19. 传递函数的级联所构成的4极点滤波器
图 20示出了构建一个4阶滤波器的3种方式对相位响应的影响。第一种结构是利用两个Sallen-Key(SK)Butterworth段搭建的。第二种是 利用两个多路反馈(MFB) Butterworth段搭建的。第三种是利用一个SK段和一个MFB段搭建的。但是,正如两个级联的一阶电路段并不能构成一个二阶电路段一样,2个级联 的2阶Butterworth段并不能等效于一个4阶Butterworth段。第一段Butterworth滤波器的f0为1,Q值为0.5412(α=1.8477)。第二段的f0为1,Q值为1.3065(α=0.7654)。
正 如前面所提到过的那样,SK段是同相型的,而MFB是反相型的。图20对这3种4阶电路的相移特性进行了比较。其中SK和MFB滤波器具有相同的相位响应 特性,因为两个反相段产生了同相响应(-1×-1=+1)。利用混合拓扑结构(SK和MFB)构建的滤波器的响应特性将偏移180° (+1 × –1 = –1)。
图20. 不同结构的4阶电路的相位响应
请注意,正如可以预料到的那样,总的相移特性是一个2阶电路段的两倍360° vs. 180°。高通滤波器将拥有类似的相位响应,但偏移相差180°。
该级联的思想可以用来搭建更高阶次的滤波器,但是,在实践中,超过8阶的滤波器很难实现。将来的文章将对带通、陷波(带阻)和全通滤波器的相位关系进行考察。
如何成为一名优秀的射频工程师,敬请关注: 射频工程师养成培训
上一篇:盘点2011年全球AP厂家:博通将是最大黑马
下一篇:宽频轻质吸波涂料研究与应用

