- 易迪拓培训,专注于微波、射频、天线设计工程师的培养
基于噪声消除技术的CMOS超宽带LNA设计
2002年2月,美国联邦通信委员会( FCC)为超宽带无线通信系统规划了3.1 - 10.6GHz的频谱资源,引起了全球性的研究热潮。超宽带技术具有低功耗、高数据传输速率、抗干扰性强等优点。
超 宽带低噪声放大器是超宽带无线接收前端系统中的第一个模块。它影响着整个系统的带宽、噪声、功耗等性能。本文设计的CMOS低噪声放大器适用于工作频段为 3~5GHz的超宽带系统。文章从LNA结构的选取开始,然后进行电路分析与设计及仿真,最后对仿真结果进行分析和总结。
1 超宽带LNA结构选取
传统的宽带LNA的设计中,常采用分布式和平衡放大器技术。此两者为了获得较好的宽频特性和输入匹配,需要消耗较大的直流功耗。因此,不适合应用于UWB系统。
目前,在超宽带LNA设计中应用较多的是带通滤波器输入匹配结构和并联电阻负反馈结构。
前者拥有较大的带宽、平坦的增益和良好的噪声性能。但需要在输入端加入阶数较高的带通滤波器以展宽频带。后者通过引入电阻反馈回路,降低输入端品质因子,从而扩展频带。本文以后者为基础,采用噪声消除技术优化噪声系数。图1给出了所采用电路结构的示意图。
图 1中,电路的主放大部分是并联负反馈Cas2code结构。C1、C2 和C3 为片内隔直电容, Rf 为反馈电阻, Cf 为反馈回路上的隔直电容。Lg 和L1 为窄带LNA的输入匹配网络。M1 是共源结构,为主放大管,电路的噪声系数和输入匹配取决于该管。M2为共栅结构,主要作用是提供较大的反向隔离度和抑制M1 的密勒效应。L2、Rd 和Cd 采用并联结构形成低Q值负载扩展输出带宽。M3 和M4 构成源极跟随器,形成输出级。M1、M2、M3、M4 共同构成前馈噪声消除结构。图1 中省略了偏置电路, Vbias_1、Vbias_2为偏置电压。
图1 低噪放电路结构示意图
2 电路分析与设计
2. 1 宽带输入匹配分析
在 图1中,除去输出缓冲器M3 管。由于M1、M2 和L1 形成的电感退化结构将输入电压转化为输出电流,故可等效成跨导为Gm 的跨导级。由此可得主放大电路的小信号等效电路,如图2所示。Gm级的等效可参见文献[ 5 ]。这里将M2 看作理想电流传输器,忽略其二级效应, 以得到有意义的结论。
图2中, Cgs1为M1 的栅源电容, Z4 ( s)为M4 前馈回路的输入阻抗, L2、Rd 和Cd 组成负载阻抗。Gm1为M1 的跨导。对图2中X 点的对地阻抗分析可知:
其中:
M4 前馈回路的输入阻抗可表示为:
因此LNA的输入阻抗表达式为:
由 于式(9)过于复杂,故用Matlab数值分析代替表达式分析。在仿真工艺和可行的电路参数的条件下,得到图3的计算结果。可见在3~5 GHz范围内, Zin的实部非常接近50&Omega,同时其虚部在4. 2 GHz附近等于0,而且Zin的幅值距离50Ω亦不远。这说明电路完成了宽带输入匹配。窄带LNA的设计可参见文献[5 ],这里仅给出晶体管尺寸和Lg、L1 的取值:M1 =M2 =320μm /0. 18μm, Lg =2. 6 nH, L1 =0. 32 nH。
图2 核心电路小信号等效电路图
图3 Zin的Matlab仿真结果
2. 2 增益分析
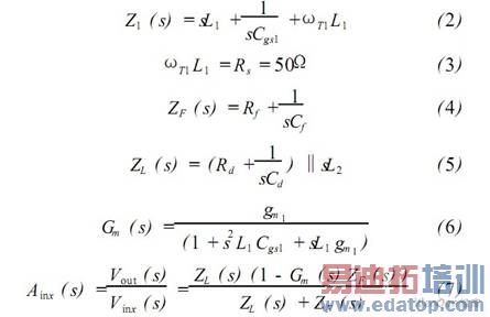
对图2进行分析和推导,可得到主放大电路的增益Amain ( s)的表达式:
式中, Zinx ( s)是X 处的对地阻抗。为加大电路增益可采取增大等效跨导Gm ,加大负载阻抗ZL 等办法。但Gm , ZL 等参数均与频率有关,这些参数的变化会影响增益平坦度,所以设计时需折衷考虑。
为了进一步提高主放大电路的增益,在输出缓冲器M3 的栅极前串联电感L3, 其增益提升原理可用图4 ( a)所示的放大器等效模型加以解释。CLoad可以看作是M3 的输入电容。图4 ( b)为模型的小信号等效电路。分析小信号等效电路的增益有:
由式(12)和式( 13)可知, 电感L3 的引入达到了提高增益的目的。当L 与CLoad在ω2 处谐振时有:

图4
宽带LNA中的输出负载需要采用低Q 值电路。
图4 (c)为输出负载,图4 ( d)为输出负载的等效电路,Cout为放大电路的输出电容。负载Q值可表示为ωRp(Cp +Cout )。使L2 与(Cp +Cout )谐振在所需要的频点(ω1 ) ,再选择合理的Rp 值,使Q值满足带宽要求即可。
由式(14)和对输出负载的分析知,电路增益将出现两个峰值频点即ω1 和ω2。因此合理选择Cd 和L3 的值,可以获得良好的增益平坦度。通过仿真, 选取L2 =4. 6 nH, Rd =575&Omega, Cd =5. 4 pF, L3 =715 nH。
2. 3 噪声抵消分析
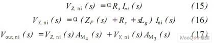
分 析图5 可知, Cascode结构的噪声电流Ini流过反馈阻抗ZF ( s) 、电感Lg 和Rs ,在M1 的栅极和M2 的漏极分别产生两个相位相近但幅度不同的噪声电压VZ, ni和VY, ni。如果通过反相放大器M4 将VZ, ni放大,通过同相放大器M3 将VY, ni放大后在输出端叠加,就可以将Ini在输出端产生的噪声电压Vout, ni减小,而输入信号将被分别放大后叠加 。VZ, ni、VY, ni和Vout, ni由式(15) (16) (17)表示:
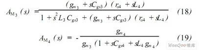
其中M3、M4 的增益为:
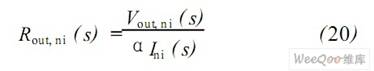
定义等效噪声阻抗:

图5 噪声消除技术原理图
由 于式(20)过于复杂,故用Matlab数值分析代替表达式分析。在仿真工艺和可行的电路参数的条件下,得到图6的计算结果。如图6所示, Rout, ni在高频段的幅值较低,而且随着L4 的增加Rout, ni的幅值逐渐减小。因此增加L4 可以改善LNA的高频噪声性能。兼顾噪声抵消和输出匹配的要求,通过仿真,选取L4 =616 nH, Rf = 1 k&Omega, Cf = 0. 9 pF,M3 = 45μm /0. 18μm,M4 =90μm /0. 18μm。
图6 Rout, ni的Matlab仿真结果
3 仿真结果
对 于本文设计的3 - 5 GHz超宽带低噪声放大器,采用SM IC 0. 18 - μm RF CMOS 工艺, 使用ADS2008进行仿真,电源电压为1. 8 V,核心电路和输出缓冲级分别消耗电流9 mA和2. 4 mA,电路总功耗约为20. 5 mW。如图8所示,电路输入输出匹配良好,反向隔离度合格。图7 中,“方格”标识的曲线为L3 = 0时的S21 ,“圆圈”标识的曲线为L4 =115 nH时的噪声系数。可见, L3 有效地增加了工作频段内的增益,同时补偿了高频增益损失,使最大增益从15 dB提升至18 dB,这与本文式(12) 、式(13)和式(14)的分析是一致的。对比两条噪声系数曲线知,在3. 5 - 5 GHz频段内,噪声消除技术均提供了不同程度的噪声优化,最大噪声系数从大于3 dB下降至2. 84 dB,这与本文对图6的分析是一致的。
如图9所示,电路在4. 5 GHz取得- 12. 9 dBm 的IIP3。表1是超宽带LNA性能参数汇总及对比。
表1 性能参数汇总及对比

图7 S21和噪声系数仿真结果

图8 S参数仿真结果
图9 输入三阶截断点仿真结果
4 结论
本文基于SM IC 0. 18μm RF CMOS工艺,设计了可以工作于3~5 GHz频段的超宽带低噪声放大器。对电路的输入匹配和增益进行了分析,对噪声消除技术进行了推导。仿真结果表明,该放大器在工作频带内的各项指标满足超宽带系统应用。

