用谐振法测量微带基片的介电常数
录入:edatop.com 阅读:
看到一种方法,把一段带线用阻抗不连续分成几段形成串联谐振结构,此时,传输测量电路用小间隙分段而形成的串联谐振结构就可完成,用网络分析仪扫频就很容易测出其谐振特性:特性阻抗、品质因数、谐振频率。
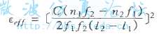
可以通过测量两对串联谐振结构的谐振频率来得到有效介电常数,表达式和原理图如下:


我没弄清楚的是:这个串联谐振结构的等效模型是什么样的?谐振频率f0是不是取决于微带线长度L0?缝隙宽度对测量结果有误影响?
谢谢
可以通过测量两对串联谐振结构的谐振频率来得到有效介电常数,表达式和原理图如下:


我没弄清楚的是:这个串联谐振结构的等效模型是什么样的?谐振频率f0是不是取决于微带线长度L0?缝隙宽度对测量结果有误影响?
谢谢
申明:网友回复良莠不齐,仅供参考。如需专业解答,请学习本站推出的微波射频专业培训课程。
上一篇:请推荐一个可变数分频器
下一篇:晶体管烧管的原因

