HFSS查看圆极化天线相位差
录入:edatop.com 阅读:
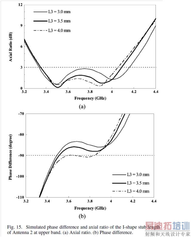
各位好,本人有如下问题请教,采用HFSS软件仿真,为了实现圆极化,必须要求远场的Ex分量和Ey分量大小相等,相位差为90度,那么如何用HFSS查看相位差呢?我是采用单馈电的,没有用额外的功分器或者电桥,也就是如何查看相位差随频率变化曲线,如下图所示:


各位大侠求助啊!
sweep扫频不就可以看到了?
同问,楼主,已经解决了吗?
申明:网友回复良莠不齐,仅供参考。如需专业解答,请学习本站推出的微波射频专业培训课程。
上一篇:CGHV1F006S大信号模型
下一篇:ADS 报错“The aglmconfig program failed to run”

