- 易迪拓培训,专注于微波、射频、天线设计工程师的培养
EMC整改的一些小建议
录入:edatop.com 点击:
一、电容的滤波作用
即频率f越大,电容的阻抗Z越小。
当低频时,电容C由于阻抗Z比较大,有用信号可以顺利通过;
当高频时,电容C由于阻抗Z已经很小了,相当于把高频噪声短路到GND
上去了。
二、电容滤波在何时会失效
整改中常常会使用电容这种元器件进行滤波,往往有“大电容滤低频,小电容滤高频”的说法。
以常见的表贴式MLCC陶瓷电容为例,进行等效模型如下:
容值10nF,封装0603的X7R陶瓷的模型参数如下:
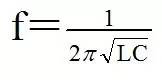
由于等效模型中既有电容C,也有电感L,组成了二阶系统,就存在不稳定性。对电路回路来说,就是会发生谐振,谐振点在如下频率处:
下图是谐振曲线的示例:
即常说的在谐振点前是电容,谐振点之后就不再是电容了。
三、LC滤波何时使用
如果串联电感L,再并联组成C,就形成了LC滤波:
单独一个电容C是一阶系统,单独一个电感L也是一阶系统,在幅值衰减斜率是-20dB。但LC组成的二阶系统,幅值衰减斜率是-40dB,更靠近理想的“立陡”的截止频率的效果,即滤波效果更好。
四、PWM频率到底是多少
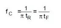
往往提到PWM,比如会说用20kHz PWM驱动电机等。但实际上,这个20kHz仅代表
PWM的脉冲周期是50us:
那么所谓的20kHz PWM在频域上的频率点落在哪里呢,如下公式:
对于阶跃信号来说,由于上升时间tr无穷小,则频率f无穷大。当频率高了之后,寄生参数则不能在忽略,会引发很多谐振的问题。
从信号上来看,就是很陡峭的阶跃信号会有过冲和振荡的问题。简单来说就是频率f越大,则噪声所占的频率就会越宽泛,即EMC特性就会越差。
五、如何将原理图和PCB对应起来
由于细分工种的问题,原理图和PCB被割裂开来,由两组人进行分工作业:
例如在原理图上有如下的电路:
其隐含一个问题就是在PCB上其实V1的负极和C1的负极是有一条线(PCB layout工
具软件中用的词比较准确,Trace,踪迹/轨迹)。
往往在设计阶段A->B->C是都会关注的。如果EMC出现问题,除了要在原理图上查找电路参数的问题,还需要特别关注C->D,即回流路径。
如果回流路径不顺畅,会造成信号的畸变:
比如在EMC试验时,MCU的ADC采集到的信号被干扰到了,则除了在原理图上分析外,在PCB上讲该信号高亮出来,然后再耐心寻找该信号的回流路径是否有不顺畅的地方:
对着信号线头脑中想象回流路径,有点意识流的感觉。
六、总结


当低频时,电容C由于阻抗Z比较大,有用信号可以顺利通过;
当高频时,电容C由于阻抗Z已经很小了,相当于把高频噪声短路到GND
上去了。
二、电容滤波在何时会失效
整改中常常会使用电容这种元器件进行滤波,往往有“大电容滤低频,小电容滤高频”的说法。
以常见的表贴式MLCC陶瓷电容为例,进行等效模型如下:




三、LC滤波何时使用
如果串联电感L,再并联组成C,就形成了LC滤波:


往往提到PWM,比如会说用20kHz PWM驱动电机等。但实际上,这个20kHz仅代表
PWM的脉冲周期是50us:
那么所谓的20kHz PWM在频域上的频率点落在哪里呢,如下公式:

从信号上来看,就是很陡峭的阶跃信号会有过冲和振荡的问题。简单来说就是频率f越大,则噪声所占的频率就会越宽泛,即EMC特性就会越差。
五、如何将原理图和PCB对应起来
由于细分工种的问题,原理图和PCB被割裂开来,由两组人进行分工作业:


具软件中用的词比较准确,Trace,踪迹/轨迹)。
往往在设计阶段A->B->C是都会关注的。如果EMC出现问题,除了要在原理图上查找电路参数的问题,还需要特别关注C->D,即回流路径。


对着信号线头脑中想象回流路径,有点意识流的感觉。
六、总结

如何成为一名优秀的射频工程师,敬请关注: 射频工程师养成培训
上一篇:LTE Cat0、Cat M1、Cat NB1,蜂窝物联网的进化史
下一篇:通信新技术汇总,再不了解你就OUT了!

