串馈式功分器HFSS仿真
录入:edatop.com 阅读:
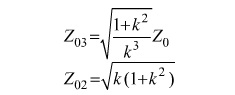
最近在做1.98Ghz到2.2Ghz的串馈式功分器仿真,要求在直径为20mm的圆柱形PCB板上做。不知道每段的特性阻抗怎么计算,有了阻抗我就应该可以用Txline软件计算出线宽。图片里是我自己找的资料,还有一张标明了尺寸的图片是我自己找的一种功分器,但由于是英文的我无法确定它是不是我要的串馈式功分器。如果有大佬有串馈式功分器HFSS的模型给我也是很好的!
![]()
![]()
![]()
![]()
图片:图片1.jpg
图片:图片3.jpg
图片:图片2.jpg
图片:微信图片_20170703185810.jpg
描述:我自己的理解,但被否定了
图片:微信图片_20170704214615.jpg
上一篇:天线幅度相位一致性
下一篇:HFSS仿真SIW腔的问题






