HFSS的介质色散模型
录入:edatop.com 阅读:
各位大神:
在HFSS的材料库里面有一个“Djordjevic-Sarkar”模型,如下截图所示:

然后这个模型的数学公式描述是类似如下的一个公式(随便找了库里面的一个材料,然后里面有公式显示):
3.74076+0.0255671*ln((2.53303e+022+Freq*Freq)/(4.95658e+009+Freq*Freq))。
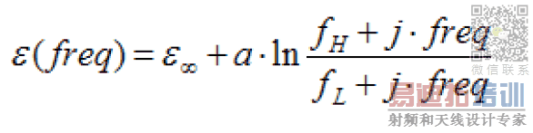
我对里面的“Freq*Freq”这个表达式不明白,频率的平方是啥意思啊?是不是应该是“j*Freq”(意思就是一个复数的虚部,其模值就是频率值)啊?如下公式所示的这种形式:

请指点一下,到底应该是什么样的公式?多谢了!
在一篇讲SIWAVE里面的关于信号完整性的文档里,这个色散模型是如下的公式:
各个公式都不一样,有点晕了。
1,个人观点:第一个式子里面的a就等于第二个式子里面的对数函数的系数,第二个式子里面最后加的计算DC部分可以忽略(见《Adcanced Signal Integrity》那本书的263页)。
2,又或者DC那部分已经计算完加上高频介电常数中去了。
3,第一个式子像ADS Help里面,没有说明系数a是什么,但可以推断就是第二个式子里面频域内单位介电常数。
取ln函数里面那个式子的实部,就是Freq平方的函数
申明:网友回复良莠不齐,仅供参考。如需专业解答,请学习本站推出的微波射频专业培训课程。
上一篇:关于ADS仿真求解算法准确度的问题
下一篇:請教capacitive coupling 和magnetic coupling差異

