介电常数变化对电场的影响,求解释
录入:edatop.com 阅读:
先引用一段话:The permittivity of a medium describes how much electric field (more correctly, flux) is 'generated' per unit charge in that medium.
More electric flux exists in a medium with a low permittivity (per unit charge) because of polarization effects.
我的问题是:介电常数怎么影响电场强度,电场场通量密度,电场通量。
假设只存在一点电荷,介电常数变化时,1 电场通量密度是不变吗?

2.电场通量和电场强度会随介电常数变化,更大的介电常数导致极化电荷 更多,减小了电场强度和电场通量。
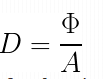
3.如果电场通量随介电常数变大减小了,下面公式应该得出通量密度也变小了,与1得出的结论矛盾了,求解答。谢谢。
More electric flux exists in a medium with a low permittivity (per unit charge) because of polarization effects.
我的问题是:介电常数怎么影响电场强度,电场场通量密度,电场通量。
假设只存在一点电荷,介电常数变化时,1 电场通量密度是不变吗?

2.电场通量和电场强度会随介电常数变化,更大的介电常数导致极化电荷 更多,减小了电场强度和电场通量。
3.如果电场通量随介电常数变大减小了,下面公式应该得出通量密度也变小了,与1得出的结论矛盾了,求解答。谢谢。
假定球形场分布,对于D没有影响,对于E有影响,因为有感应电场产生。
申明:网友回复良莠不齐,仅供参考。如需专业解答,请学习本站推出的微波射频专业培训课程。

