天线计算的问题求教
录入:edatop.com 阅读:

小弟也是刚开始学习设计仿真天线,现有以下俩问题求教,望各位大神不吝赐教



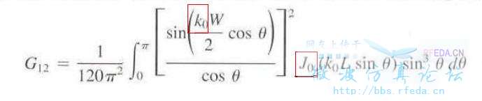
如图片所示两个公式,我想问的是①图1中的XSi(X)是什么意思?②图2中的K0是波尔兹曼常数么?后面的J0又是什么东西!(希望大家不要见笑)
三个问题一个一个回答:
1:Si(x)这个是正弦积分函数,相应的还有Ci(x)余弦积分函数,这两个函数的产生主要是因为对电流公式的推导过程中会出现有引些积分积不出来,详见《天线》第三版,约翰 克劳斯著,章文勋译,电子工业出版社;
2:k0这个就是波常数呀,为2*pi/波长呀;
3、J0是0阶贝塞尔函数,J1就是一阶贝塞尔函数,详见数学手册。
谢谢啊,你对这些是不是很熟悉啊,我想让你帮忙给我解析一个例子,不知道你有时间没
对了还有一个问题,那个波尔兹曼常数是1.38*10E-23,他和2*pi/波长有什么关系
申明:网友回复良莠不齐,仅供参考。如需专业解答,请学习本站推出的微波射频专业培训课程。

