- 易迪拓培训,专注于微波、射频、天线设计工程师的培养
非线性放大引发无线电干扰的原理及评测
引言
放大器件在无线电通信及监测等领域的应用十分之广泛。我们对信号监测分析时,通常要选用合适的接收机将微弱信号放大到满足有效观察的程度。
信号放大对弱信号而言是必须的,但对信号的放大并不是增益越高越好,因为放大器件对大信号放大会产生失真效应。如在无线电监测中,经常会碰到由于接收机的非线性放大导致的干扰情况——谐波、互调等。本文详细介绍了非线性放大导致干扰的数学原理以及对放大器件的线性度评价标准。
非线性放大干扰产生的基本原理
1.1 非线性放大与线性放大的数学模型区别
放大器件对信号放大时一般要求输入和输出呈线性关系。但实际上,任何信号的放大都是非线性的,因为放大器件内很多基本组件,例如三极管,是不能做到对任意幅值的信号输入都有线性化的放大输出的。不过对于弱信号,非线性产物微弱到低于噪声,可近似采用线性电路分析,线性放大效果通常比较好。但强信号的非线性放大产物就显得较为明显。
我们建立一个非记忆性的放大器模型(输出仅与当前时刻输入有关),通过放大器的数学模型运算,来获取更清晰的概念。
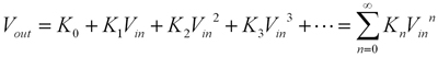
Vout = KVin (1)
Vin是输入信号,即时域上的电压波形;K是放大器件的对电压的增益效果,即放大系数。理想的线性放大器下,K对于任意大小Vin都是个常数;实际的放大器中,K并不是定值常数,会在输出项里引入非线性乘积项。
在Vin=0处,式(1)用泰勒展开式展开,得:
(2)
式(2)中:K0为引入直流项,K0+K1Vin为线性增大项;K2 、K3等高次幂项系数非零时,输出信号就会伴随出现非线性增大失真部分,即我们在监测中常见的谐波和互调干扰现象。
1.2 由非线性引起的谐波
在讨论了放大器件的放大作用除产生线性增大部分还有高次幂项的非线性增大部分之后,接着介绍非线性效应的影响之一——谐波。
通常认为的谐波,即:单频信号输入经接收机等处理后,输出信号常常会伴随有N倍频率的信号,这就是所谓的N次谐波(N=2、3、4……)。
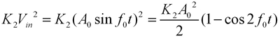
现假设输入一个标准正弦信号:
Vin=A0sinf0t (3)
代入泰勒展开式(2)后,展开式右边的2次幂项为:
(4)
式(4)中,经三角函数变换的数学运算后引出2倍频信号,即我们通常见到的2次谐波干扰信号。
同样,泰勒展开式(2)展开后的3次幂项: K3Vin3=K3(A0sinf0t)3。按数学转换后,可得到A3cos(3f0t+φ3)一项,即引入3倍频(3次谐波)干扰信号。
1.3 非线性引起的互调
1.3.1 二阶互调的产生
上面讨论的谐波是由单频信号输入引发的,如果输入的是两个不同频信号,那么产生的失真除了谐波外,还有互调。
现假设输入信号为两个标准正弦信号的叠加:
Vin=A0sinf0t+A1sinf1t (5)
泰勒展式(2)展开后的2次幂项变为:
K2Vin2=K2(A0sinf0t+A1sinf1t)2
K2=A02sin2f0t+2A0A1sinf0tsinf1t+A12sin2f1t)(6)
式(6)中,A02sin2f0t和A12sin2f1t数学转换后得到的是2次谐波项;而2A0A1sinf0tsinf1t经三角函数转换后得:
2A0A1sinf0tsinf1t=A0A1[cos(f0-f1)t-cos(f0+f1)t] (7)
式(7)展开后的两项就是我们认为的2阶互调项,信号频率分别是:f0-f1和f0+f1。
1.3.2 三阶互调的产生
两个标准正弦信号式(5)代入泰勒展式(2)展开后3次幂项为:
K3Vin3=(A0sinf0t+A1sinf1t)3=K3(A03sin3f0t+3A02A1sin2f0tsinf1t+3A0A12sinf0tsin2f1t+A13sinf0f13f1t) (8)
式(8)中,A03sin3f0t和A13sin3f1t数学转换后引起的是3次谐波项;而3A02A1sin2f0tsinf1t展开后为:
(9)
式(9)中可以看到频率为2f0+f1和2f0-f1的信号产生,这就是我们常见的3阶互调项。
1.3.3 信号的频谱
以上分析主要从数学运算上列举了二次、三次谐波及互调产物产生的过程,在整个频谱图上总输出显示为所需信号和各次失真项信号(如图1所示)。

互调产物对接收机的影响过程
监测监听用的接收机大多为扫频式的。信号接收下来通常首先经带宽较大的预选放大器放大,然后用中频滤波器进行频段选择并且显示出来(如图2示)。

大多数情况下,直流项和大多数项的谐波、互调等离接收机工作时的选择频段(在f0、f1附近)比较远,会被滤掉,而2f0-f1项、2f1-f0项与f0和f1相对接近。当此互调产物和接收机的调谐频率相近时,如图2,第一中频滤波器由于选择带宽比较大,就会将有用信号和互调产物全部显示出来;第二中频滤波器在第一中频滤波器选择带宽内去扫描,会把此三阶互调产物显示出来。从而,接收机的中频滤波器就会接收到无用的干扰信号。
在实际工作中,我们在寻呼业务监测时经常会碰到由互调引发的干扰现象,频谱出现四个峰(如图2示),占用带宽约小于为50 kHz(正常的寻呼信号带宽为25 kHz)。
非线性的评价指标及测量方法
3.1 评价标准
有用信号和某些互调信号可能会同时被接收机接收,使接收机上出现了假信号。从而在考虑互调乘积输出项对理想输出项的影响时,主要是依据这两项幅度的相对值,来计算得到符合要求的接收机等器件的输入输出幅度范围。
现假设两个同幅不同频信号输入,理想输出项幅度为K1A,3阶互调项的幅度为
。
理想输出和互调失真输出的比值为:
(10)
我们定义三阶输入截断点为IP3,当式(10)的比值D为1时,输入电平值的大小就是输入截断点大小。同理定义IP2、IP4……。也即,输入值增大到截断点时,理想输出项和N阶谐波、互调项的输出幅度应该相等。输入值超过截断点时,N阶谐波、互调项将大于理想输出项。但实际上,输人信号的幅度往往有一定限制,不能增大到截断点。因为截断点通常比较大,远远超出了可以接受的接收机线性工作范围,同时还可能超出接收机最大输入功率。所以IP2、IP3……等都是理论值,需要通过计算得到。

在理论计算时,截断点就是理想输出曲线和互调失真曲线的线性部分外推相交后的虚点,我们可以引入截断点作为一个衡量值(如图3所示)。这主要是因为各阶截断点数值对于某一放大器件是唯一固定的,不受输入信号大小的影响,故这种衡量方法对器件来说确定性较高。
为使电路产生的干扰失真信号保持在一个可接受的范围内,我们可以对器件设置一个合适的“输入—输出”幅度范围,例如现大多接收机要求正常工作在1 dB压缩点以下。
3.2 IP值的计算
3.2.1 IP2的计算
由于截断点是理论值,如果在满足其定义的条件下实测具体数值,那么过大的输入功率会损坏机器,因此实际中通过数学计算可以得到另一套简化的测量方法。
现在一些设备生产厂家、设备验收单位在实验室内采用闭路实验测量的方法来获得仪器的IP值。测试链路如图4所示。

信号发生器输入两个同幅频率相近的信号,先用合路器(无源器件)合成一路,输入到被测仪器(天线共用器、接收机)等,然后用频谱仪等仪器测量频谱信号中各分量的电平值。
频谱仪调谐到输入频点f0或f1,测得放大输出后电平应该一样,即V0=V1=V1/0。然后再调谐到互调产物的频点f0+f1或f0-f1(f1-f0),从而测得互调信号的电平(见图5)。

被测仪器的输出信号(频谱仪的输入信号)中所需信号和失真信号的电平差值(互调抑制比)为:ΔV=V1/0-V二阶失真,由IP2=V1/0+ΔV可得到IP2值。
3.2.2 IP3的测量
接收机调谐到输入频点f0或f1,测得V1/0。然后接收机再调谐到互调产物的频点2f1-f0或2f0-f1,测得互调信号的电平(见图6)。

这样可以得到差值:ΔV=V1/0-V三阶失真,然后用IP3=V1/0+ΔV可得到IP3值。
为了清楚易懂,特举一简例说明: 被测仪器为天线共用器,设用频谱仪测得V1/0=-10 dBm,互调产物V三阶失真=-70 dBm,计算得到IP3=20 dBm。而对于一般监测用的接收机大多能做到保证值IP3>10 dBm,IP2>40 dBm。
另外值得注意的是,对于不同的频段,IP值会有差别。因此测量时需要选择多个不同频段的频点以获得更全面的评价。
如何成为一名优秀的射频工程师,敬请关注: 射频工程师养成培训
上一篇:射频器件商第二季度大幅盈利
下一篇:CMOS RF进驻手机,机遇与挑战并存

