- 易迪拓培训,专注于微波、射频、天线设计工程师的培养
射频陶瓷贴片电容测试
中心议题:
贴片电容模型
测试夹具
解决方案:
网络分析仪测量并结合一定的校准方法
目前广泛应用于各种射频电路中的贴片电容因其尺寸和电容量均较小,没有比较合适的射频段测试仪器。我们应用微波网络理论分析后,自行设计共面波导作为测试夹具,利用射频矢量网络分析仪在高频至射频波段(300M~3000MHz)对射频陶瓷贴片电容(尺寸约2.00mm×1.26mm×0.67mm,电容量0.5~7.5pF)进行了扫频测量。
贴片电容模型
射频陶瓷贴片电容的外形示意图如图1所示。

图1贴片电容的外形图
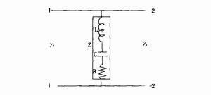
其等效模型如图2所示。
![]()
图2贴片电容等效模型
其中,C为电容,L为电极等效串联电感,R为电极和介质交流漏电阻的等效串联值,这样,一个射频电容的阻抗Z为:

测试夹具
本实验使用特性阻抗Zc为50Ω的共面波导作为测试夹具,将待测电容横跨接在共面波导的内外金属条带之间,其横截面图如图3所示。并接在共面波导上的被测电容构成的双端口网络如图4所示。

图3测试夹具

图4被测网络
计算与结果
网络分析仪测量并结合一定的校准方法(TRL)可算出电容的散射参数S21o由微波网络理论可知:

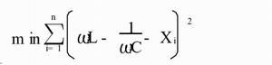
取Z的虚部(电抗)X,运用实验数据处理中的最小二乘法并由(1)式知,X的拟合模型为?L-1/?C。通过一系列频点?i的测试计算数据Xi(i=1,2,.,n),寻找最优的参数L和C使得:

现对5个标称值已知的片式电容在300M~3000MHz的频率范围内测量,所得数据与生产厂家给出的电容标称值进行比较,如表1所示。

由上表可见,片式电容的测量值均落在标称值的容许误差范围内。
其中5号电容的测量计算电抗值X与拟合模型?L-1/?C的曲线如图5所示。

图5 5号电容的电抗测量点与拟合曲线
从上图可以直观地看出,被测电容的电抗符合模型所描述的规律。
采用扫频法测量阻抗值并用最小二乘法拟合计算,不仅可以得出电容值,还可以得出等效串联电感和电阻(由于生产厂家没有给出相应的标称值进行比较,这里不再列出)。应注意扫频带宽不宜过大,否则会因电容器内电介质的色散而使电容值有一定的变化,通常可在3G的频宽内测量。
如何成为一名优秀的射频工程师,敬请关注: 射频工程师养成培训
上一篇:内嵌RF灯泡市场预计在2013年起飞
下一篇:华为关闭爱尔兰RFIC设计中心

