- 易迪拓培训,专注于微波、射频、天线设计工程师的培养
微波鉴频器的设计
一、引言
根据一种雷达微波锁相本振的需要,本文作者研制了一个X波段的微波鉴频器。这个鉴频器的研制早在1989年就已完成,于1991年投入小批量生产。它的鉴频特性好,性能稳定可靠,在生产过程中已经表现出良好的社会效益和经济效益。
二、鉴频器的工作原理
鉴频器电路的工作是基于将信号频率变化转换成幅度变化的原理。它可以用图1的示意图来表示。

图1 鉴频器的原理示意图
图1 鉴频器的原理示意图

从原理图1的信号关系可以得出:
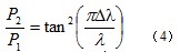
在第二个3dB耦合器的两个输出端口的输出功率分别为P1和P2,其输出功率的比为
式中,φ是由于引入延迟线Δλ后比另一条基准路径附加的相位移。
因为
,(3)式可改写成
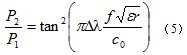
将线内波长代入(4)式,可以得到
式中,
——自由空间中电磁波的传播速度;
——输入射频信号的频率。
ξr——介质基片的相对介电常数;
由(5)式可以看出,输出功率的比是输入射频信号的频率和延迟线长度的函数,即输出信号的幅度随输入信号的频率而变化。延迟线鉴频器就是利用这种变化关系来构成的。
鉴 频器的射频信号经过两条路径的电长度相差延迟线Δλ。经过两检波器检波得到的视频信号同时送到视频放大器中相迭加。其输出的视频输出信号就是我们所要求的 鉴频器输出信号。随着射频输入信号的频率的变化,这个鉴频器的输出信号的幅度应该是线性变化的,即对应于输出信号的某一幅度值只能有一个频率,它是单值 的。如果将鉴频器的输出信号幅度在示波器屏上显示出来,它就应该是一条直线,确切一点说,应是一条很接近直线的轨迹。
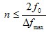
延迟线Δλ的值由下式确定,
而
式中,
——工作频带的中心工作频率;
——要求的最大带宽。
式 中的n的值可以适当选取,它可为1、3、5、7、9等等。但是n值的大小会影响可使用频带的宽度。n值选得大了,鉴频器输出视频信号随频率变化就呈现多个 周期,n值选得越大,周期就越多,能够作为鉴频器特性使用的线性范围就越小。相反地,n值选得小,这个频率范围就大些。当然,这个频率范围大了又很难匹配 好,鉴频器的鉴频曲线的线性就会变差。所以要根据使用要求适当的选取n的值。既要满足线性要求,又要能达到要求的频率范围。
三、鉴频器的设计和制作
实际制作的鉴频器电路由两个3dB90°耦合器、一条延迟线段和两个检波器组成,鉴频器的微波部分示于图2中。

图2 鉴频器的微波电路片
在鉴频器的设计过程中,我们注意到影响鉴频器的鉴频特性的关键部件是检波器,对它的匹配要求很高。两个检波器的输入电压驻波比,以及检波的幅度特性在同频率点都要很接近。就是说其一致性要很好。检波器前面的两个3dB90°耦合器要求具有较好的隔离。尤其是处在射频信号输入端的那一个定向耦合器更需要具有好的隔离。
这里所介绍的鉴频器中,除了上述的两个3dB90°耦合器外,两个检波器中也各有一个这种耦合器,也就是说总共有四个耦合器。为了方便和制作工艺的简单易于实现,采用了四个相同的耦合器。
本文作者曾经在《微波》上发表的文章《三公分带线宽带镜象抑制平衡混频器》中所描述的三分支线定向耦合器正好也适合我们的上述要求。在我所设计制作的X波段雷达微波锁相本振用的微波鉴频器要求的频率范围内,这种三分支线定向耦合器可以做到20dB以上的隔离和1.2的电压驻波比。因此,我们将这种3dB90°三分支线定向耦合器用在当前要设计的鉴频器中了。
对于检波器要求输入电压驻波比较好,要力求避免射频信号及其电路中产生的谐波的多重反射。这种多重反射会严重地影响检波器的驻波特性及其输出频率响应的平坦性。由三分支线定向耦合器、两个肖特基势垒检波二极管及其后面的低通滤波器构成的检波器是一种性能较好的平衡检波器。肖特基势垒检波二极管后面的低通滤波器在这里是设计来足以将射频信号及其谐波旁路掉,不让其反射回去形成多重反射,使检波器的检波特性得以保证。
鉴频器的鉴频频率范围由延迟线Δλ的长度来确定。这个延迟线是50欧姆阻抗线,它只是比另一路径长了这么一个长度而已。
整个鉴频器电路是印制在一块RT/Duroid 5880 基片材料上。印制电路的重复性很好,鉴频特性比较一致。一对特性较一致的肖特基势垒检波二极管锡焊在三分支线定向耦合器与低通滤波器之间的间隙处,鉴频特性基本上都能保证。只是在焊接时要尽可能将检波二极管所处的位置焊接在比较一致的地方。
由于采用的电路结构是对称印制带线的,检波二极管是埋在RT/Duroid 5880基片的孔内,所以电路结构相当稳定可靠。第一个三分支线定向耦合器和两个检波器的定向耦合器的隔离端口都是采用的固定的外接50欧姆负载。这三个50欧姆负载的驻波特性都在1.1左右,可以单独用网络分析仪检测。
鉴频器由于使用的肖特基势垒检波二极管的特性有些差别,鉴频器的鉴频特性曲线的斜率稍有不同。这可以通过调整后面所接视频放大器的增益来得到调整。批生产的鉴频器典型的测试鉴频特性曲线见图3。如图所示,该曲线呈现的最大鉴频频率误差小于±5MHz,在-55℃至+70℃的温度范围内鉴频特性基本保持不变。

图3 鉴频器的测试鉴频特性曲线
四、结论
鉴频器经过小批量生产,已被证明其鉴频特性稳定可靠。全部电路印制在同一块基片上,保证了性能的复现性,使生产变得更容易了。
鉴频器的良好线性是基于微波集成技术的发展。全部电路印制在同一块基片上,保证了电路印制线的长度被严格的控制。除了我们所要求的延迟线Δλ外,没有其它多余的不便控制的线长度产生,消除了影响电压驻波比的不连续性。巧妙而适用的电路设计较好地控制了检波二极管产生的谐波反射,改善了检波器的驻波特性。采用了隔离足够好的三分支线定向耦合器,使全部电路处在同一平面上,大大简化了制作工艺。采用外接50欧姆负载,避开了内负载制作时不易准确控制的情况,这是为了得到较好的驻波特性。所有这些工作,使鉴频器的高性能得以实现。

