一般的相位反馈系统中使用锁相环通过分频器的比例关系,可以输出一个频率是输入参考信号N倍的时钟。由于传统结构的分频比只能是整数限制,使得频率分辨率直接取决于输入信号频率。△-∑分数锁相环通过采用数字调制,实现了分数分频比,从而可以提供更高精度的频率分辨率,这为时钟信号的产生和频率规划带来更大的灵活性。然而,△-∑调制器的使用也引入了量化噪声,在低过采样率的环路中限制了带外相位噪声性能,需要加以解决。现有的量化噪声抑制技术仍然需要较大的硬件代价,并设法减小失配等非理想因素才能得到比较好的性能。由此可见,数字FIR噪声滤除技术具有结构简单,可靠性高的优点,但存在噪声增益问题。目前针对这一问题还投有很好的解决办法,本文结合模拟和数字实现各自的优点,设计出一种混合型FIR噪声滤波技术,该技术能有效地解决上述问题。
1 电路设计原理
混合型FIR噪声滤除电路的结构设计如图1所示。在△-∑锁相环或△-∑延时锁定环中,鉴相器输入端的2个信号之间存在受调制器控制的瞬时相位误差,电荷泵将这个数字控制的相位误差转换为模拟域电荷。为了实现对量化噪声的FIR滤波功能,结构中采用了多个鉴相器并联的形式。△-∑调制器的输出并不像传统结构中直接去控制分频器或相位选择器实现量化操作,而是经过一个寄存器链实现一个或数个时钟周期的延时,并从中选出若干抽头分别去控制对应的分频器或相位选择器,量化所产生的瞬时相位误差经过各支路鉴相器后在一个多输入电荷泵中合成为模拟域误差电荷。


该结构对应的S域和Z域混合模型如图2所示。经过推导可以得到电荷泵的输出为:
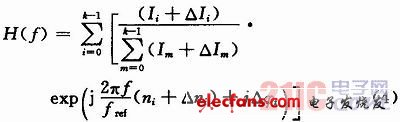
式中:θref为参考信号相位;θsig为环路返回信号相位;θqn为相位域的量化噪声;ni为调制器输出的延时深度,Ii为多输入电荷泵的各支路电流;fref为鉴相器工作频率;H(z)为针对量化噪声的等效FIR滤波的传递函数:

电荷泵电流在该结构中扮演了双重角色。从式(1)可以看出,同常规结构一样,总电流影响了环路动态特性;另一方面,式(2)表明各支路电流决定了所实现FIR滤波器传递函数的各项系数。只要根据所要实现的传递函数设置调制器输出的延时深度以及电荷泵各支路电流的分配比例,就可以实现全定制的噪声整形。此外,式(2)中当f=0时,将有H(z)≡1。这表明无论设计参数如何选取,该结构所实现的FIR滤波器恒有单位直流增益,因此从根本上解决了现有数字FIR噪声滤除技术中的噪声增益问题。
现以8抽头混合型FIR滤波器为例,分析该结构所实现的全定制噪声整形。通过采用并行8支路鉴相器和1个8输入的电荷泵,并给电荷泵各支路分配相同的电流,设置图1中调制器输出的每级延迟为单个时钟周期,可以实现如图3所示的滤波器频域响应。对应的传递函数为:
图4是行为级仿真得到的采用混合型FIR滤波器的新结构锁相环输出的频谱,并与传统结构做了对比。所有模块均为无噪声理想模型,因此频谱中只含△-∑调制带来的量化噪声。所用参考时钟频率为14.318 MHz;输出频率为532 MHz,对应的分频比为37.156;电荷泵总电流为320μA,对应每个支路40μA;振荡器增益为250 MHz/V;环路滤波器采用2阶;环路带宽设为700 kHz,对应的过采样率仅为10;所用调制器为3阶MASH结构。图中横坐标按照参考时钟频率归一化。对比图4和图3可以看出,混合型FIR滤波器按照其传递函数实现了预期的对量化噪声的抑制。
图5(a)是行为级仿真得到的环路建立过程中振荡器控制电压的瞬态波形。从相同的建立过程(包括其中的周期滑动现象)可以看出,由于新结构中多输入电荷泵的总电流与传统结构保持一致,因此混合型FIR滤波器的使用不会影响环路动态特性。
图5(b)是对比采用混合型FIR滤波器的新结构与传统结构在环路锁定时的瞬时相位误差电压(即2阶环路滤波器中电阻两端的电压)。从中可以看到,尽管环路呈现相同的动态特性,但新结构中的瞬时相位误差电压远小于传统结构。这表明高频量化噪声得到了混合型FIR滤波器的有效抑制。
2 失配的影响
相比现有数字FIR噪声滤除技术,所提出的混合型FIR滤波在实现过程中引入了模拟域的操作,因此需要考虑失配的影响。由于最终噪声滤除效果是用滤波器传递函数来描述的,所以失配的影响因素同样也可以归结到对滤波器传递函数的改变,主要包括以下3个方面:
(1)电荷泵各支路电流的失配△Ii改变了传递函数的系数;
(2)延时失配引起调制器输出延时深度改变△ni;
(3)并行支路间非同步引入附加相位偏移△φi。
考虑到这些因素后,式(2)所示的FIR滤波器传递函数将转变为:

其中,作为模拟模块的电荷泵,电流镜失配引起的各支路电流的改变是不可避免的,因此是影响FIR滤波器传递系数的主要因素。通过在上电初始化时对并行各支路加以同步复位后影响因素(3),将与影响因素(2)一样,由于相关的电路模块为寄存器链、分频器以及鉴频鉴相器等离散时间域工作的数字模块,因此主要受时钟抖动影响,从而相对△Ii而言,△ni和△φi可以忽略。
基于以上考虑,假设电流失配、延时失配以及非同步引起的附加相差分别满足3σ=15%,3σ=1%和3σ=0.01π的正态分布。对由式(3)给出的混合型FIR滤波器的频域响应做Monte-Carlo分析,可以得到如图6所示的结果。

对于其他纯模拟的量化噪声抑制技术,比如采用数/模转换器补偿量化误差的方法,失配将造成整个频带上噪声抑制效果的恶化。从图6可以看到,混合型FIR噪声滤除技术中,失配主要影响传递函数的零点位置。在远离零点的频偏处,滤波器增益的变化在±3 dB以内;而在预期的零点位置处,即便有失配存在,仍然能保证有至少25 dB的抑制,这通常已经足以把量化噪声降低到不再影响整体性能的水平。此外,从图中虚线给出的不失一般性的个例可以看到,尽管失配使得在一些频偏处的噪声抑制程度不如预期值,但也使得在其他频偏处的噪声抑制要优于预期值。这个特性进一步使得量化噪声的总体改善对失配不敏感。
3 并行支路间的准同步
传统△-∑锁相环或△-∑延时锁定环中只有一个鉴相器,其输入端的参考时钟和环路反馈回来的信号时钟之间在锁定后只存在由式(4)给出的瞬时相位误差,这决定了电荷泵的开启时间和对应的噪声注入。而在采用混合型FIR噪声滤除技术的结构中,存在并行多支路鉴相器。它们一方面共享同一个参考时钟,另一方面则是由各自对应的分频器或相位选择器产生各自的信号时钟,因此存在是否需要对这些信号时钟加以同步的问题。
支路间处于异步状态时将造成的问题如图7所示。

为不失一般性,此处假设要实现一个简单的2抽头FIR滤波器,其传递函数为(1+z-1)/2,因此环路中将需要用到2个支路的鉴相器。如图7所示,在环路建立后,参考时钟沿将被锁定在2个信号时钟沿的中间。因此,如果两个信号时钟沿的相位差为△φ,则对于每个鉴相器而言,输入端的瞬时相位误差比原来增加了△φ/2。此外,为了保持环路的锁定,2个电荷泵支路需要在每个鉴相周期内交替充放电。支路间的相位差△φ越大,也就意味着电荷泵开启时阊以及噪声注入时间越长,从而严重恶化带内相位噪声以及参考杂散性能。另一方面,支路间异步引入的附加相位偏移还将影响所要实现的混合型FIR滤波器的传递函数。
为了避免这些性能上的恶化,混合型FIR噪声滤除技术在电路实现上需要保证并行支路间处于准同步状态,即各信号时钟的相位差应满足:

式中:φi和φj分别为第i和j路信号相位;Ni和Nj为支路对应的控制字;φstep为相位量化步长。可见,这里的“准同步”包含2个含义:一方面,由于各支路的信号时钟受控于不同的控制字,因此不可能实现零相位差的完全同步;另一方面,各支路信号时钟的相位差应当仅由量化控制字的差异引起,无任何附加相位差。

图8是4电平量化下支路准同步后的时钟信号示例。各支路信号时钟在同样的4个备选相位间切换,从而对于任何一个支路而言,其工作状态都和传统结构完全一致,这就实现了真正意义上并行操作和离散时间域的信号合成。
就电荷泵本身而言,由于其总电流与传统结构一致,这使得所用的有源器件总体尺寸保持不变,从而贡献的噪声也就不变。惟一的差别是多输入电荷泵中需要多用若干个开关管,其带来的噪声恶化几乎可以忽略。
4 电荷泵非线性的改善
在△-∑锁相环或△-∑延时锁定环里,电荷泵的非线性将造成高频量化噪声被折叠到低频,从而影响带内相位噪声性能。采用了混合型FIR噪声滤除技术后,由于环路中并行的鉴相器和电荷泵支路是由△-∑调制器的输出经过不同时钟周期延时后依次控制的,因此会对各支路受数字控制的相位误差有类似“桶形移位”的效果。如图9所示,尽管该结构没有像模/数转换器设计中的桶形移位技术一样存在控制字的卷绕,但多支路的并行工作配合依序的控制,使得所有相位误差电荷在电荷泵中合成后,各支路数控相位到模拟域电荷的非线性映射可以得到平均和改善。

这种结构对电荷泵非线性的改善还可以从另一个角度来解释,即造成电荷泵非线性的一个重要原因是其上下电流存在和输出电压相关的动态失配。图5(b)表明,在采用了混合型FIR噪声滤除技术后,电荷泵输出电压摆幅远小于传统结构,这就意味着电荷泵的线性度得到了提高。
可以看出,混合型FIR滤波器在实现预期噪声整形的同时,也减小了由于电荷泵非线性造成带内噪声的恶化。作为一个特例,尽管各支路存在如图9所示的非线性,但当它们叠加之后恰好是线性特性时,该结构将能完全消除每个支路非线性的影响。但是由于这种巧合在实际电路中几乎不存在,因此通常不能实现彻底的线性化改善,在设计中仍然需要注意结合其他一些提高线性度的考虑。
5 额外的开销
从图1给出实现混合型FIR噪声滤波的电路结构可以看出,该技术相比传统结构需要额外的硬件开销,包括一个多输入电荷泵、多个鉴相器,以及用于实现调制器输出延时的寄存器链。此外,由于送至鉴相器的环路反馈信号在锁相环和延时锁定环中分别由分频器和相位选择器或插值器得到,这意味着这些模块也需要有多个。
对于多输入电荷泵,由于其总电流必须和传统结构中的电荷泵一致,以维持环路原始动态特性,因此电路中只是存在更多的开关管,几乎没有额外的面积和功耗的开销。
对于其他模块,由于它们都属于单端数字电路,因此面积和功耗可以随着CMOS工艺的进步得到成比例的改善。这也意味着如果采用先进的工艺,则可以在较低的代价下实现更多抽头数的FIR滤波器,以达到更好的噪声抑制效果。
然而由于分频器消耗的电流随着工作频率的提高而急剧增加,这使得在高频无线应用中采用混合型FIR噪声滤除技术时存在巨大的功耗开销。为了解决这个问题,在分频器设计上可以遵照移相的方法来实现等效分频,从而使并行支路问可以共用最耗电流的前级预分频器,以降低总功耗。
6 结语
本文提出的一种混合型FIR噪声滤波技术,其基本电路结构是:将△-∑调制器的输出经过一个寄存器链加以延时,从中选取若干抽头去控制并行的多支路分频器或相位选择器,并各自经过鉴相器判别相位差,最后各支路对应的误差电荷在一个多输入电荷泵中加以合成,由此可以在不改变环路动态特性的同时,实现对量化噪声的等效FIR滤波。由于这种技术基于离散时间域工作,因此继承了现有数字FIR噪声滤除技术对PVT变化以及模拟失配不敏感的优点;同时又结合模拟域的电荷合成解决了数字FIR滤波器的噪声增益问题;而其并行多支路工作配合依序控制的结构特点又带来降低对电荷泵线性度要求的额外好处。此外,相比其他纯模拟的量化噪声抑制技术,该技术也有硬件成本上的优势。