- 易迪拓培训,专注于微波、射频、天线设计工程师的培养
一种UHF波段带通滤波器的设计和制作
为了掌握微波滤波器的制作原理及设计方法,实现一种UHF波段带通滤波器的设计和制作。该设计采用了既定指标确定滤波器的形式(椭圆函数LC带通滤波器),以椭圆函数为理论基础,通过软件仿真、版图制作、加工,并通过矢量网络分析仪进行调试、测试,从而制作成功满足指标的UHF波段带通滤波器。要设计一个滤波器,首先要分析滤波器的技术指标,选择合适的滤波器形式,确定滤波器的级数,分析滤波器的带外特性以及通带特性,估算滤波器中心衰减和带外抑制的大小,对滤波器进行合理的设计与计算,最后要对滤波器进行仿真优化,直至达到满意的技术指标。
引言
滤波器类型的选择可根据滤波器设计的带宽等指标和具体的应用场合来选择。相对带宽在20%以下的为窄带滤波器,应选用窄带滤波器的设计方法来设计;相对带宽在40%以上的为宽带滤波器,应选用宽带滤波器的设计方法来设计;而介于两者之间的为中等带宽滤波器。由上面的指标可以看出本滤波器是窄带带通滤波器。
采用巴特沃斯滤波器来设计可以使通带内具有最大平坦的幅频响应;而切比雪夫滤波器的好处是:带外抑制好,但是带内有一定的波动;本文设计的滤波器要求带外近端抑制良好(可以用切比雪夫滤波器或椭圆函数滤波器来实现,但是从后面的分析看要使用LC滤波器,而用LC滤波器的话,使用切比雪夫形式电路元件的值过于小,很难实现,这个可以用软件仿真来说明),以此可以看出,用椭圆函数滤波器更适合。
微带滤波器通过采用不同的衬底材料可以在很大的频率范围内应用(从几百MHz到几十GHz);同轴滤波器由于其微小的尺寸,制作精度很难达到;波导滤波器在小信号电平上,它的频率基本是8~100 GHz;陶瓷介质滤波器体积大,形状因子与品质因数较小;LC滤波器适用于本滤波器频段,且较容易制作和调试。
综上,本设计采用:椭圆函数LC带通滤波器进行设计。设计指标如下:
中心频率为450 MHz;工作带宽为20 MHz;带内插损为<3 dB;带外抑制为-40 dB。
1、关于滤波器阶数N 的选择
滤波器级数N 是一个重要的参数,它的选择直接影响到滤波器的性能,特别是滤波器的插损和带外特性,所以N 的选择非常重要。
先对可能用到的一些概念和公式进行简单的说明。
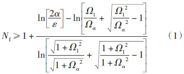
对于终端短路式滤波器其滤波器级数N 应满足下面关系式:

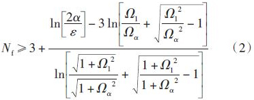
对于终端开路式滤波器其滤波器级数N 应满足下面关系式:


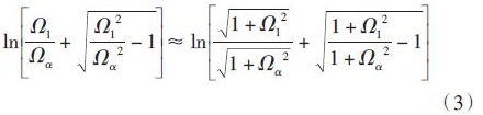
对于窄带滤波器,有:

故上面公式可简化为:

对于窄带滤波器:

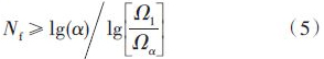
故式(4)可简化为:

对于带通滤波器,起相对带宽小于20%,所以其属于窄带滤波器。
由上面的公式可以算出:N 必须大于或等于3,才能满足上面的近似指标。
2、关于椭圆函数LC带通滤波器的仿真及设计
对电路各元件值先进行简单的假定,通过运用ADS进行仿真来审查,并进行优化。
根据所给指标设计的电路图进行仿真。图1 是根据所设定的原理图进行的仿真。从仿真图中可以看出,该电路的元件值并不能达到所要求的指标。首先,本设计要求中心频率在450 MHz,但是此电路的中心频率有一定的偏移;而且从图中明显看出带外抑制并不良好,无法达到所要求的指标;而且带内插损也比较大;单单从电路元件的值上看,线圈的值比较小,在制作过程中比较难绕制,比较难实现。

综合上面的分析,此电路图的元件值需要进行一定的调整。
经过一系列的调整、仿真,最后得到如图2 所示的电路原理图和仿真图。

从此电路仿真图可以看出中心频率准确的落在450 MHz上,带内插损比较小,而且带外抑制也比较明显,而且线圈的值相对并不是很小,实际上可以实现,基本上符合制作要求,予以采用。到此本节设计仿真结束,下面进行此电路的制板。
3、关于椭圆函数LC带通滤波器的电路的制板
根据第1 节得出的电路图,可以进行电路的制板。
此过程采用软件Protel 99 se来设计完成。
4、制作此椭圆函数LC带通滤波器及其调试
首先是线圈的绕制。根据以上的结论,线圈的绕制是关键的过程。最大的是250.2 nH,最小的是19.27 nH。
本电感采用漆包线进行绕制(所以在将线圈焊制到电路板上之前,将线圈焊脚外部的漆用小刀刮去),绕制250.2 nH的线圈,根据以往对电感线圈的了解和对此线圈的假设,先绕制7圈,进行测试和调节。本设计的电容是采用陶瓷贴片电容,由于该电容的Q 值比较低,因此本滤波器的带内插损并不能如同仿真那样好,只能调到-4 dB左右,而且本滤波器的驻波系数会比较大。
将第一个绕制的250.2 nH 的线圈和一个0.5 pF 的电容焊制到电路板后,进行第一次网络分析仪测量。第一次测量发现中心频率发生偏移,大于450 MHz,可得到,是由于线圈匝数过大造成的,因此要适当的减小线圈的匝数,然后将调整过的线圈焊制到电路板上再进行调试。此过程将进行几次,当中心频率落在450 MHz或十分接近450 MHz的时候,表示线圈值基本准确,可以进行下一步。
将另一个绕制的250.2 nH 的线圈和一个0.5 pF 的电容,按照之前设计的电路进行焊制并用网络分析仪调试。虽然此次的线圈值和第一个值是一样的,但是由于贴片电容制作上的误差以及线圈绕制的误差等等因素,使得此线圈并不是完全和第一个匝数一样,所以还要进行多次测量调试和修改才能达到所要求的值。
最后一步是焊制,此过程与23.88 nH线圈的绕制基本相同。接下来就是对整个滤波器进行调整,以达到最好的制作指标。
5、结语
要设计一个滤波器,首先要分析滤波器的技术指标,选择合适的滤波器形式,确定滤波器的级数,分析滤波器的带外特性以及通带特性,估算滤波器中心衰减和带外抑制的大小,对滤波器进行合理的设计与计算,最后要对滤波器进行仿真优化,直至达到满意的技术指标。接着就可以制板,并加工调试。
在调试的过程中,容易忽略电路所产生的寄生电容和寄生电感对整个电路的影响。在对波形进行调试的时候,只对线圈进行了调整,忽略了电容的影响。本身很小的电容在寄生电容的叠加下,可能会比较大的改变开始仿真时候的值。在测试的时候,应该对几个比较小的电容进行适当的调整并测试,这样才能比较好的满足所要求的性能指标。

