- 易迪拓培训,专注于微波、射频、天线设计工程师的培养
高频电路的一般设计方法及设计实例
电子电路种类很多,千差万别,设计方法和步骤也因不同情况而异。这里给出高频电路设计的一般步骤,以供参考,设计者应根据具体情况,灵活掌握。
一、高频电路的一般设计方法
1.总体实现方案的选择
由课题要求实现的电路功能及性能指标,决定最终实现电路的构成。
2.单元电路形式的选择
根据课题要求实现的电路性能指标,确定总体实现方案中,各单元电路的形式。
3.电路参数的计算
根据所选单元电路的形式,对组成电路的各元器件的值进行计算。
4.元器件的选择
元器件的选择,除了要考虑计算出的参数值外,还要遵从节约电路成本,元器件购买方便,以及尽量利用现有条件实现的原则。
以上各步骤之间不是绝对独立的,往往需要交叉进行,尤其是有时受到元器件选择的限制,常会推翻最初的设计方案,从头来做。所以,在进行电路设计之初,要先把可能限制电路实现的因素考虑好,再着手设计,往往可以达到事半功倍的效果。
在完成电路设计之后,可以使用计算机辅助分析软件(例如Pspice)进行电路仿真,做初步调整,然后到实验室装调电路,在调试中分析和解决常见的电路故障。
二、高频电路设计举例
真正实用的发射机、接收机的技术指标项目较多,因为学生刚接触到这方面的知识,所以给定的题目中只是要求结合基础知识完成几项主要技术指标。而整机电路形式的选取可以是分立元件为主,分立与集成电路混合,也可以是单片集成发射与接收系统。
任务:小功率调幅发射机设计
技术指标:载波频率f0=2MHz,载波频率稳定度不低于10-3/分钟,输出负载RL=75Ω,发射功率(输出负载RL 上的功率)P0≥10mW,调制度ma=30%~80%可调,调制频率F=500Hz~3kHz。
(一) 实现方案的选择
1.调幅发射系统分析
图1为最基本的调幅发射系统框图。主要由主振荡器、缓冲级、高频小信号放大器、调制器、高频功率放大器、低频电压放大器等电路组成。

图1 调幅发射系统框图
在组成电路中,除了主振器、调制器、调制信号是最基本的组成单元,不能缺少外,其他单元电路的选择,主要根据设计指标要求来确定。
缓冲级将主振器与其后一级隔离,以减小后级对振荡器频率稳定度及振荡波形的影响。所以,是否选择该单元电路,主要根据电路对稳定性的要求高低。一般情况下,需要选择该电路。
高频放大器的任务是将振荡电压放大以后送到振幅调制,为驱动调制级提供足够的增益。是否选择该单元电路,主要根据所选择的振幅调制电路决定。即:如果选用低电平调幅电路(如用集成模拟乘法器做振幅调制器),由于这种调制器为小信号输入,振荡器输出电压一般能够满足要求,就不需要该放大电路;而如果采用高电平调幅电路(如集电极调幅电路),由于它要求大信号输入,振荡器输出电压不能满足时,就要使用一至二级高频放大器。
功率放大器是调幅发射系统的末级,它的任务是提供发射系统所需要的输出功率。是否选择该电路,主要根据系统对发射功率的要求。如果由调幅电路输出的功率能满足性能要求的话,就可以不再其后加功率放大电路,否则,就不能省略。
2.本设计任务总体实现方案的确定
根据以上对调幅发射系统构成电路选择方法的介绍,结合设计任务中给定的技术指标,确定总体实现方案如下:
方案一:低电平调幅发射机
由于设计任务要求实现的是小功率发射机,发射功率(输出负载RL 上的功率)P0为10mW 即可。所以,可以利用提供的集成模拟乘法器MC1496,组成低电平调幅电路。系统框图如图2 所示。

图2 低电平调幅发射机系统框图
方案二:高电平调幅发射机
因为设计任务中对发射功率并没有限制上限值,所以,也可以采用高电平调幅电路组成发射系统,如图3 所示。若缓冲级输出电压能满足高电平调幅电路的要求,并且最终负载上的输出功率也满足指标要求时,则应力求电路结构简单,去除高频放大电路。

图3 高电平调幅发射机系统框图
(二)单元电路形式的选择
1.调幅发射系统各单元电路的分析
(1)主振器
主振器就是高频振荡器,根据载波频率的高低和频率稳定度来确定电路形式。在频率稳定度要求不高的情况下,可以采用电容反馈三点式振荡电路,如克拉泼、西勒电路。频率稳定度要求高的情况下,可以采用晶体振荡器,也可以采用单片集成振荡电路。
(2)缓冲级
缓冲级通常采用射极跟随器,基本原理是利用它的输入电阻高和输出电阻低的特点,在电路中起着阻抗变换的作用。
(3)高频放大器
高频放大器属于线性放大器。根据电路所需要的电压增益和选择性,来确定电路形式。一般电路形式有单调谐放大器和双调谐放大器。在对放大器选择性要求不高的场合,可以选用单调谐放大器。为提高放大器的电压增益,可以选择多级放大器级联的电路形式。
(4)振幅调制器
振幅调制器的任务是将所需传送的信息"加载"到高频振荡中,以调幅波的形式传送出去。通常有低电平调幅和高电平调幅两种实现电路。
低电平调幅电路输出功率小,适用于低功率系统。它的电路形式有多种,如斩波调幅器、平衡调幅器、模拟乘法器调幅等,比较常用的是采用模拟乘法器形式制成的集成调幅电路,即集成模拟乘法器调幅。这种集成电路的出现,使产生高质量调幅信号的过程变得极为简单,而且成本很低。
高电平调幅电路输出功率大,一般在系统末级直接产生满足发射要求的调幅波。它的电路形式主要有集电极调幅和基极调幅两种。集电极调幅电路的优点是效率高,晶体管获得充分的应用;缺点是需要大功率的调制信号源。基极调幅电路的优缺点正好与之相反,它的平均集电极效率不高,但所需的调制功率很小,有利于调幅发射系统整机的小型化。
(5)功率放大器
功率放大器主要有甲类、甲乙类或乙类(限于推挽电路)、丙类功放,根据功放的输出功率和效率来确定选择哪一种。采用低电平调幅电路的系统,由于调制器输出信号为调幅波,其后的功率放大器必须是线性的(如甲类、甲乙类或乙类功放);而采用高电平调幅电路的系统,则在末级直接产生达到输出功率要求的调幅波,多以丙类放大器作为此时的末级电路。
2.设计任务单元电路形式的确定
根据以上对调幅发射系统单元电路形式的介绍,结合本设计任务的技术指标,确定各单元电路形式如下:由于技术指标中对主振器的频率和频率稳定度要求不高,所以,采用西勒振荡电路;缓冲级采用射极跟随器;低电平调幅电路采用集成模拟乘法器实现;高电平电路采用基极调幅电路。
(三)电路参数计算
根据以上确定的单元电路形式,下面给出具体的电路,以及组成电路的各元件值的计算方法。
1.主振器
图4为西勒振荡电路。它被接成共基极组态,Cb 为基极旁路电容。其静态工作点由偏置电阻Rb1、Rb2、Re、Rc 决定。电容C1、C2、C3、C4 与电感L1 组成振荡回路。振荡器输出信号一般尽可能从低阻抗点取出,以减弱外接负载对振荡幅度、频率稳定度的影响。本电路从发射极取出信号送给下一级。

(1)偏置电阻值的计算
偏置电阻决定静态工作点,所以,要先确定振荡器的静态工作电流ICQ。一般小功率振荡器的静态工作电流ICQ 为(1~4)mA,设计时可以在此范围内任取一值,如取ICQ=2mA。根据所选晶体管型号确定电流放大系数β的值。则:


为便于调整静态工作点,实际电路中Rb1 常用固定值的电阻与电位器串联。
(2)振荡回路元件值的计算
根据西勒振荡器的原理,C3<<C1,C3<<C2,回路的振荡频率f0 主要由C3、C4 和L1 决定,即
而一般谐振回路的电感L 与电容
值之间关系取为
由此确定L1、C3、C4 的值。
电容C1、C2 由反馈系数F=C1/C2,以及电路条件C3<<C1,C3<<C2 决定。一般F取1/8~1/2。
以上估算各电容值时,应尽量选取标称电容值。
为便于调整振荡频率,实际电路中C4 可用固定值的电容与可变电容器并联。
(3)旁路电容值的选取
一般应使旁路电容Cb 的容抗为与其并联的电阻值的1/20~1/10。但是,当与其并联的电阻值较大时,应当使Cb 的容抗为几十欧姆甚至几欧姆。
这里选取标称值
。
2.缓冲级
图5为射极跟随器电路,即共集电极组态的放大器。其静态工作点由偏置电阻Rb1、Rb2、Re 决定。C1、C2 分别为输入、输出耦合电容。

(1)偏置电阻值的计算
射极跟随器的静态工作电流ICQ 一般为(3~10)mA,设计时可以在此范围内任取一值,如取ICQ=4mA。根据所选晶体管型号确定电流放大系数?的值。而Rb1、Rb2、Re 值的计算方法,则与主振器中偏置电阻值的计算方法相同,请参照计算。
为便于电路调整,实际电路中Re 可用固定值的电阻与电位器串联。
(2)级间耦合电容的选取
级间耦合电容值的大小,主要由前后级之间的隔离度决定。为减小射随器对前级振荡电路的影响,耦合电容C1 不能太大,一般为pF级。而射随电路输出耦合电容C2 可以取大些,如
。
3.低电平调幅电路
采用集成模拟乘法器MC1496 构成的调幅电路,如图6所示。电路采用双电源供电方式。

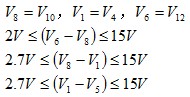
载波信号从10脚(VX 端)输入,C3为高频旁路电容,使8脚交流接地;调制信号从1脚(VY 端)输入,C4为低频旁路电容,使4脚交流接地。调幅信号从12脚单端输出。电阻R6、R7、R8、R9、R10 提供静态偏置电阻,保证乘法器内部的各个晶体管工作于放大状态,阻值的选取应使得下列静态偏置电压关系式成立:
根据器件参数要求,5脚静态偏置电流I5 应小于4 mA,一般取I5=1mA,则
可见,在确定负电源电压VEE 后,可得电阻R5 的值。
引脚2 与3 之间的外接负反馈电阻Re,可调节乘法器的信号增益,扩展调制信号的线性动态范围。其值增大,线性范围增大,但乘法器的增益会减小。电阻R1、R2 与电位器RP 组成平衡调节电路,改变RP 的值可以使乘法器输出有载波的普通调幅波或抑制载波的双边带调幅波。
4.基极调幅电路
图7 为基极调幅电路,载波和调制信号同时加在晶体管的基极,调幅波从集电极的谐振回路取出。为使晶体管工作状态为甲乙类或乙类,需要预先确定基极偏置电阻的值。

根据晶体管型号确定截止电压VBE的值。若选择乙类工作状态,则基极静态偏置电压VBQ=VBE 。由
,确定Rb1、Rb2的值,一般这两个电阻值应选为kΩ 数量级。电阻Re 一般取几百欧姆。
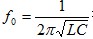
谐振回路电感L 和电容C 的值,依据载波频率
确定。电感L 采用带磁芯的变压器,以便调节磁芯改变电感量,达到调谐;同时,也可以实现阻抗匹配。
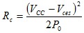
集电极等效负载电阻
,式中P0 为设计任务中要求达到的发射功率;
表示晶体管集电极、发射极间的饱和压降,一般为1V 左右。
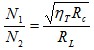
设变压器初级线圈匝数N1,次级线圈匝数N2,集电极接入初级线圈的匝数N0,则匝数比由以下两式确定:

式中RL 表示任务指标中给出的发射机输出负载。
5.线性功率放大器
图8 为甲类线性功放电路,适用于中间级或输出功率较小的末级功率放大器。为获得最大不失真输出功率,静态工作点应选在交流负载线的中点,所以,集电极静态电流ICQ 与集电极交流的振幅ICm 近似相等。
静态工作电流ICQ 一般为(3~10)mA,设计时可以在此范围内任取一值, 如取ICQ=7mA。

设变压器的效率
,则功放集电极输出功率
。由
,可得集电极电压振幅
,从而得集电极等效负载电阻
。设变压器初级线圈匝数N1,次级线圈匝数N2,则匝数比
。
射极电阻
,为提高放大器的输入阻抗,稳定增益,实际电路中Re 常要串联一个几欧姆或几十欧姆的交流负反馈电阻。
基极偏置电阻Rb1、Rb2 的计算方法,以及旁路电容Ce 的选取,详见主振器中偏置电阻和旁路电容的计算。
如何成为一名优秀的射频工程师,敬请关注: 射频工程师养成培训
上一篇:低相位噪声宽频带锁相频率源的设计
下一篇:基于锁相环的频率合成器的设计

