- 易迪拓培训,专注于微波、射频、天线设计工程师的培养
环境电波卫生标准
录入:edatop.com 点击:
中华人民共和国国家标准
………………………………………………(A1)
…………………………………………(A3)
……………………………………………(A4)
……………………………………………(A5)
……………………………………………(A6)
UDC 614.898.5
GB 9175─88
环境电波卫生标准
Hygienic standard for environmental
electromagnetic waves
本标准为贯彻《中华人民共和国环境保护法(试行)》,控制电磁波对环境的污染、保护人民健康、促进电磁技术发展而制订。
本标准适用于一切人群经常居住和活动场所的环境电磁辐射,不包括职业辐射和射频、微波治疗需要的辐射。
1 各词术语
1.1 电磁波
本标准所称电磁波是指长波、中波、短波、超短波和微波。
1.1.1 长波
指频率为100~300KHz,相应波长为3~1km范围内的电磁波。
1.1.2 中波
指频率为300KHz~3MHz,相应波长为1km~100km范围内的电磁波。
1.1.3 短波
指频率为3~3MHz,相应波长为100~10m范围内的电磁波。
1.1.4 超短波
指频率为30~300MHz,相应波长为10~1m范围内的电磁波。
1.1.5 微波
指频率为300MHz~300GHz,相应波长为1m~1mm范围内的电磁波。
1.1.6 混合波段
指长、中、短波、超短波和微波中有两种或两种以上波段混合在一起的电磁波。
1.2 电磁辐射强度单位
1.2.1 电场强度单位
对长、中、短波和超短波电磁辐射,以伏/米(V/m)表示计量单位。
1.2.2 功率密度单位
对微波电磁辐射,以微瓦/平方厘米(μW/cm2)或毫瓦/平方厘米(mW/cm2)表示计量单位。
1.2.3 复合场强
指两个或两个以上频率的电磁波复合在一起的场强,其值为各单个频率场强平方和的根值,可以下式表示:
式中:E──复合场强,V/m;
E1、E2......En──各单个频率所测得的场强,V/m。
1.3 分级标准
以电磁波辐射强度及其频段特性对人体可能引起潜在性不良影响的阈下值为界,将环境电磁波容许辐射强度标准分为二级。
1.3.1 一级标准
为安全区,指在该环境电磁波强度下长期居住、工作、生活的一切人群(包括婴儿、孕妇和老弱病残者),均不会受到任何有害影响的区域;新建、改建或扩建电台、电视台和雷达站等发射天线,在其居民覆盖区内,必须符合“一级标准”的要求。
1.3.2 二级标准
为中间区,指在该环境电磁波强度下长期居住、工作和生活的一切人群(包括婴儿、孕妇和老弱病残者)可能引起潜在性不良反应的区域;在此区内可建造工厂和机关,但在许建造居民住宅、学较、医院和疗养院等,已建造的必须采取适当的防护措施。
超过二级标准地区,对人体可带来有害影响;在此区内可作绿化或种植农作物,但禁止建造居民住宅及人群经常活动的一切公共设施,如机关、工厂、商店和影剧院等;如在此区内已有这些建筑,则应采取措施,或限制辐射时间。
2 卫生要求
环境电磁波许辐射强度分级标准见下表。
波长 | 单位 | 容许场强 | |
一级(安全区) | 二级(中间区) | ||
长、中、短波 | V/m | 〈10 | 〈25 |
超短波 | V/m | 〈5 | 〈12 |
微波 | μW/cm2 | 〈10 | 〈40 |
混合 | V/m | 按主要波段场强;若各波段场分散,则按复合场强加权确定 | |
3 监测检验方法
本标准环境电磁波容许辐射强度监测检验方法见附录A。
4 监督执行
各级卫生防疫站或各级环境卫生监测站负责监督本标准的执行。
附 录 A
环境电磁波测量规范
(补充件)
A.1 适用范围
本规范适用于放辐射源所产生的环境电磁波,其频率覆盖范围:长、中、短波(100kHz~30MHz),超短波(30MHz~300MHz),及微波(300MHz~300GHz)。
A.2 规范内容
A.2.1 测量方式
根据不同需要与目的,应用不同的测量方式,对已建台和扩建台,为调查辐射源周围环境电磁波辐射强度,及其分布规律,常以辐射源为中心,在不同方位取点的方式进行测量,简称点测;为全面调查某地区环境电磁波的背景值及按人口调查居民人群所受辐射强度的测量简称面测。
A.2.1.1 点测时以辐射源为中心,将待测区按5°~10°角度划线,呈扇形展开。随此划线,近区场以每隔5~20min定点测量,远区场以每隔50~100m定点测量,或按特殊需要选点测量。
A.2.1.1.1 简易测量:一般用各向同性探头的宽频段场强仪测定之,如探头为非各向同性者,则分别测定各不同极化方向的场强值,取其矢量和。
A.2.1.1.2 面测量,将待测地区(城市)按人口统计划分若干小区,并标明各小区居民重心地理坐标,从中选择若干有代表性的小区作为监测点,测量仪器应用环境电磁波自动监测系统,实现各频段自动扫描、自动测量和实时处理。然后根据各小区人口数量进行加权,求出该地区(城市)居民环境电磁波暴露强度累加百分数。
A.2.2 测量位置
A.2.2.1 旷野平坦地面环境测量一般以人的高度,即1.7m左右处测定,如为待建地段,则应在待建建筑物相应高度处测定。
A.2.2.2 建筑物内部测量,应以不同层次选择有代表性的若干点分别测定之。
A.2.3 测量仪器
辐射源周围的测量,应选用灵敏度≤1V/m,或≤1μW/cm2,精度≤│2DB│的场强仪;区域性背景场强测量,应选用宽频带天线、频谱分析仪和电子计算机配套的自动处理系统。
A.2.4 测量记录整理
除记录全部测量数据外,还应包括:测量地点、测量地点、测量时间、测量日期、测量仪器、天线高度及参加测量人员等。
A.2.5 场强计算
按公式计算,主要供新建广播电台、电视台、雷达站、地面卫星站等地点选择和建立卫生防护带作根据。
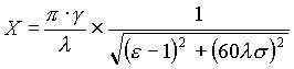
A.2.5.1 长、中波(垂直极化波)场强计算公式:
………………………………………………(A1)F=1.41·(2+0.3X)/(2+X+0.6X2).......................(A2)
…………………………………………(A3)式中:P──发射机功率,KW;
r──被测点与发射天线的距离,Km;
G──相对于接地基本振子的天线增益,DB;
F──地面的衰减系数;
X──数量距离;
λ──波长,m;
ε──介电常数;
δ──导电系数,1/Ω·m。
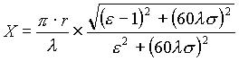
A.2.5.2 短波(水平极化波)场强计算公式:
短波(水平级化波)场强计算公式同式(A1)、(A2),但其中X按式(A4)计算:
……………………………………………(A4)A.2.5.3 电视、调频超短波场强计算公式
……………………………………………(A5)式中: P──发射机功率,KW;
G──相对于半波偶极子的天线增益,DB;
r──被测点与发射天线的距离,Km;
F(θ)──天线垂直面方向性函数(视天线型式和层数而异)。
A.2.5.4 雷达等微波功率密度S计算公式:
……………………………………………(A6)式中: ──发射机平均功率,W; |
G──天线增益,DB;
r──天线

──发射机平均功率,W;