- 易迪拓培训,专注于微波、射频、天线设计工程师的培养
基于S参数的RF开关模型高频验证
S参数简介
S (散射)参数用于表征使用匹配阻抗的电气网络。这里的散射是电流或电压在传输线路中断情况下所受影响的方式。利用。 S参数 可以将一个器件看作一个具有输入和相应输出的“黑匣子”,这样就可以进行系统建模而不必关心其实际结构的复杂细节。
当今集成电路的带宽不断提高,因而必须在宽频率范围内表征其性能。传统的低频参数,如电阻、电容和增益等,可能与频率有关,因此可能无法全面描述IC在目标频率的性能。此外,要在整个频率范围内表征一个复杂IC的每个参数可能是无法实现的,而使用S参数的系统级表征则可以提供更好的数据。
可以使用一个简单的RF继电器来演示高频模型验证技术。如图1所示,可以将RF继电器看作一个三端口器件:一个输入端口、一个输出端口和一个用于开关电路的控制端口。如果器件性能与控制端无关,一旦设定后,就可以将继电器简化为一个双端口器件。因此,可以通过观察输入端和输出端的行为来全面表征该器件。

图1. RF继电器模型
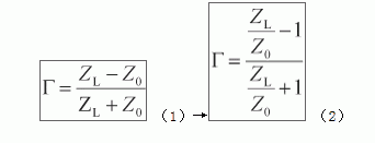
要理解S参数的概念,必须知道一些传输线理论。与大家熟悉的直流理论相似,在高频时,最大传输功率与电源的阻抗和负载的阻抗有关。来自一个阻抗为ZS,的电源的电压、电流和功率,沿着一条阻抗为 Z0, 的传输线路,以波的形式行进到阻抗为 ZL.的负载。如果 ZL = Z0, 则全部功率都会从电源传输到负载。如果 ZL ≠ Z0, 则某些功率会从负载反射回电源,不会发生最大功率传输。入射波和反射波之间的关系通过反射系数Γ来表示,它是一个复数,包含关于信号的幅度和相位信息。
如果 Z0 和 ZL 完全匹配,则不会发生反射,Γ = 0。如果 ZL i开路或短路,则Γ = 1,表示完全不匹配,所有功率都反射回 ZS. 大多数无源系统中,ZL不与Z0, 完全相等,因此0 《 Γ 《 1。要使Γ大于1,系统必须包含一个增益元件,但RF继电器示例将不考虑这一情况。反射系数可以表示为相关阻抗的函数,因此Γ可以通过下式计算:

假设传输线路为一个双端口网络,如图2所示。在这种表示方法中,可以看出,每个行进波都由两部分组成。从双端口器件的输出端流到负载的总行进波部分, b2, 实际上是由双端口器件的输出端反射的一部分 a2 和透射器件的一部分a1,组成。反之,从器件输入端流回电源的总行进波 b1 则是由输入端反射的一部分 a1 和返回器件的一部分a2组成

图2. S参数模型
根据以上的说明,可以利用S参数列出用来确定反射波值的公式。反射波和发射波计算公式分别如式3和式4所示。

其中:
S11 = 输入反射系数
S12 = 反向透射系数
S21 = 正向透射系数
S22 = 反向反射系数
通过这些公式可以完整描述任何双端口系统,正向和反向增益分别用S21和S12, 来表征,正向和反向反射功率分别用S11 和 S22来表征。
要在实际系统中求解上述参数,ZS, Z0, 和 ZL必须匹配。对于大多数系统,这很容易在宽频率范围内实现。
设计和测量传输线路阻抗
为确保双端口系统具有匹配的阻抗,必须测量 ZS, Z0, 和 ZL. 多数RF系统工作在50 Ω环境下。 ZS 和 ZL一般受所用矢量网络分析仪 (VNA)的类型限制,但可以设计 Z0 使之与VNA阻抗匹配。
传输线路设计
传输线路的阻抗由线路上的电感和电容的比值设置。图3所示为一个简单的传输线路模型。

图3. 传输线路的集总元件模型
利用计算目标频率时的复阻抗的公式,确定获得特定阻抗所需的 L 和 C的值。调整 L 和 C 的方式取决于传输线路模型的类型,最常用的模型是微带线和共平面波导。模型。利用物理参数,例如从走线到地层的距离、走线宽度和PCB基板介电常数等,可以平衡电感和电容,从而提供所需的阻抗。设计传输线路阻抗的最简单方法是使用阻抗设计程序,此类程序有很多。
测量阻抗
设计并生产出传输线路后,必须测量其阻抗,以验证设计和实施无误。一种测量阻抗的方法是使用 时域反射 TDR测量可以反映PCB走线的信号完整度。TDR沿着信号线发送一个快速脉冲,并记录反射情况,然后利用反射信息计算距离信号源特定长度处的路径阻抗。利用阻抗信息可以找到信号路径中的开路或短路,或者分析特定点的传输线路阻抗。
TDR的工作原理是:对于一个不匹配的系统,在信号路径上的不同点,反射会与信号源相加或相减(相长 和相消 干涉)。 如果系统(本例中为传输线路)匹配50 Ω,则信号路径上不会发生发射,信号保持不变。然而,如果信号遇到开路,反射将与信号相加,使之加倍;如果信号遇到短路,反射将通过相减与之抵消。
如果信号遇到一个端接电阻,其值稍高于正确的匹配阻抗,则在TDR响应中会看到一个凸起;若端接电阻值稍低于匹配阻抗,则在TDR响应中会出现一个凹陷。对于容性或感性端接,将看到相似的响应,因为电容在高频时短路,电感在高频时开路。
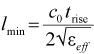
在所有影响TDR响应精度的因素中,最重要的一个是沿信号路径发送的TDR脉冲的上升时间。脉冲的上升时间越快,则TDR可以分辨的特征越小。
根据TDR设备设定的上升时间,系统可以检测的两个不连续点之间的最短空间距离为:

(9)
其中:
lmin = 从信号源到不连续点的最短空间距离
c0 = 光在真空中的传播速度
trise = 系统的上升时间
εeff = 波在其中行进的介质的有效介电常数
若是检测相对较长的传输线路,20 ps到30 ps的上升时间即足够;但若要检测集成电路器件的阻抗,则需要比这快得多的上升时间。
记录TDR阻抗测量结果有助于解决传输线路设计的各种问题,如错误的阻抗、连接器结点引起的不连续以及焊接相关问题等。
精确记录S参数
一旦完成PCB和系统的设计与制造,就必须在设定的功率和一系列频率下利用VNA记录下S参数;VNA应经过校准,确保记录的精确性。校准技术的选择取决于多种因素,如目标频率范围和待测器件(DUT)所需的 参考平面等。
校准技术
图4显示了双端口系统的完整12项误差模型及其系统性影响和误差源。测量频率范围会影响校准选择:频率越高,则校准误差越大。随着更多误差项变得显著,必须更换校准技术以适应高频影响。

图4. 完整的双端口12项误差模型
一种广为采用的VNA校准技术是SOLT(短路、开路、负载、透射)校准,也称为TOSM(透射、开路、短路、匹配)校准。它很容易实现,只需要一组已知的标准元件,并在正向和反向两种条件下进行测量。标准元件可以随同VNA一起购买,或者从其他制造商购买。对标准元件进行测量后,就可以确定实测响应与已知响应的差异,从而计算系统性误差。
SOLT校准将VNA测量的参考平面定位于校准期间所用同轴电缆的端部。SOLT校准的缺点是:参考平面之间的任何互连,包括SMA连接器和PCB走线等,都会影响测量;随着测量频率提高,这些会变成更大的误差源。SOLT校准只能消除图4中显示的6个误差项,但它能为低频测量提供精确的结果,并具有容易实施的优点。
另一种有用的VNA校准技术是TRL(透射、反射、线路)校准。该技术仅基于短传输线路的特征阻抗。利用两条传输线路彼此相差较短长度的两组双端口测量结果及两组反射测量结果,就可以确定完整的12项误差模型。可以在DUT的PCB上设计TRL校准套件,以便利用该校准技术消除传输线路设计和互连引起的误差,并将测量的参考平面从同轴电缆移动到DUT引脚。
以上两种校准技术各有长处,但TRL可以消除更多误差源,因而能够为高频测量提供更高的精度。然而,TRL需要精确的传输线路设计和目标频率下的精确TRL标准元件,因此更难以实施。SOLT的实施则相对简单,因为大多数VNA都带有可以在宽频率范围内使用的SOLT标准套件。
PCB设计和实现
为了正确校准VNA,适当的PCB设计至关重要。TRL等技术可以补偿PCB设计的误差,但无法完全消除误差。例如,设计采用TRL校准的PCB时,S21(如RF继电器的插入损耗等)的值必须很低,为了精确测量S参数,需要考虑透射标准的回损(S11, S22)回损是指阻抗不匹配导致反射回信号源的输入功率。无论PCB走线的设计多么好,总是存在一定程度的不匹配。大多数PCB制造商只能保证5%的阻抗匹配精度,甚至达到这一精度也是勉为其难。这种回损会导致VNA指示的插入损耗大于实际存在的插入损耗,因为VNA“认为”它向DUT发送了比实际发送量更大的功率。
随着要求的插入损耗水平的降低,将有必要减少透射标准贡献给校准的回损量。而测量频率越高,就越难以做到这一点。
要减少TRL设计的校准标准的回损,有几点需要特别注意。首先,传输线路设计非常重要,需要与PCB制造商密切协调,确保使用正确的设计、材料和工艺来实现所需的阻抗与频率曲线。连接器件的选择至关重要,必须能够在相关范围内满意地工作。选定连接器件后,还有必要确保连接器与PCB之间的结点设计良好,如若不然,它可能会破坏同轴电缆与PCB传输线路之间所需的50 Ω阻抗,导致系统回损增大。许多连接器制造商都会提供高频连接器的正确布局布线图纸,以及预设计的传输线路设计和PCB堆叠。找到一家能按此设计生产的PCB制造商可以大大简化PCB设计工作。
其次需要考虑PCB的装配连接器与PCB传输线路之间的结点至关重要,因此连接器的焊接会对过渡产生重大影响。连接不良或未对齐的连接器会破坏电感和电容之间的微妙平衡,从而影响结点的阻抗。图5是一个焊接不良的连接器结点示例。

图5. 连接不良的SMA
如果设计程序没有考虑阻焊膜涂层的介电常数,则它也可能会对传输线路的阻抗产生不利影响。在低频PCB中,这不是一个大问题,但随着频率提高,阻焊膜可能会带来麻烦。
为了确保透射走线的回损是可接受的,有必要利用VNA测量回损。因为系统的参考平面是从连接器到连接器,所以SOLT校准应当足以测量透射走线。一旦确定透射走线的回损性能,就可以通过在走线上执行TDR来监视缺陷。TDR会显示系统与目标阻抗偏差最大的区域。
在TDR曲线上,应当可以标出系统中对偏差贡献最大的具体部分。图6所示为一条传输线路走线及其对应的TDR曲线。可以在TDR曲线上定位某些部分的阻抗,从而明白哪些部分造成了最大的回损。从图中可以看出,SMA与传输线路之间的结点偏离50 Ω,并且传输线路本身的阻抗也不是很接近50 Ω。为了改善该PCB的性能,需要采取上面所说的一些措施。

图6. PCB与TDR曲线
使用S参数
在某一频率范围内表征一个DUT时,S参数可以提供许多好处。除了显示某一频率时的增益、损耗或阻抗匹配以外,还可以用Y参数(导纳参数)等其它形式替换S参数,以便计算电容等物理参数。Y参数与S参数的唯一区别在于:前者是在目标引脚短路(0 Ω)情况下导出的(公式5到8),而后者则是在匹配50 Ω端接阻抗情况下导出的。可以对Y参数进行实际测量,但它比S参数更难以记录,因为在宽频率范围内造成真正的短路非常困难。由于宽带50 Ω匹配更容易做到,因此更好的方法是记录S参数,然后将S参数转换成Y参数。大部分现代RF软件包都可以实现这一点。
计算物理参数
下面举一个利用S参数来计算目标频率范围内电容的例子,考虑图1所示的RF继电器。当继电器开路(即, 断开),时,为了计算继电器到地的电容,首先必须将S参数记录转换为Y参数,也就是将50 Ω环境下的数据转换为短路端接情况下的数据。从继电器的物理结构可以明显看出,当输出端口接地并且开关断开时,至地的电容可以通过检查Y11参数而得知,Y11 衡量送回信号源的功率量。当开关断开时,所有功率都应被反射回信号源,但实际上,某些功率会到达接地(Y参数定义的要求)的输出端口,该功率通过电容传输到地。因此,将Y11参数的虚部除以2πf便得到目标频率时RF继电器到地的电容。
若要计算RF继电器的电感,可以使用类似的方法,但此时需要用Z(阻抗)参数代替Y参数。Z参数与S参数和Y参数相似,不过它不是使用阻抗匹配或短路,而是使用开路来定义端接。略加考虑便可将此方法应用于所有器件,以计算多种不同的物理参数。
匹配网络
S参数的另一个应用是匹配网络的设计。许多应用要求阻抗匹配以确保在某一频率实现最佳的功率传输。利用S参数,可以测量器件的输入和输出阻抗,然后可以在史密斯图上显示S参数,并设计适当的匹配网络。
为客户提供模型
如上所述,由于S参数广泛适用,因此可以利用S参数文件向用户提供线性电路的输入输出信息,并完整描述宽频率范围内器件的特性,而无需披露复杂或者专有的设计。客户可以按照与上面所述类似的方法,利用S参数在其系统中构建器件模型。
结束语
S参数是创建和验证宽带宽的高频模型的有用工具。一旦记录下来,便可以利用S参数计算许多其它电路特性,以及创建匹配网络。然而,设计测量系统时,必须考虑一些必要的注意事项,其中最重要的是校准方法的选择和PCB设计。通过采取本文所述的措施,可以避免某些潜在的问题。
如何成为一名优秀的射频工程师,敬请关注: 射频工程师养成培训
上一篇:低频无线通信系统的设计
下一篇:3GHz~5GHz CMOS超宽带低噪声放大器设计

