- 易迪拓培训,专注于微波、射频、天线设计工程师的培养
基于P89V51RD2的功率因数测量仪设计
张美琪,胡国文,周格伦,鲁通
(盐城工学院 电气工程学院,江苏盐城 224051)
1 引言
功率因数是电力供电系统重要参数之一,将直接影响电网供电质量。随着电力电子技术的发展,各种电力开关器件在工业现场中得到广泛使用.使得电网高次谐波污染十分严重.甚至影响到功率因数的测量。
这里介绍一种以P89V51RD2型单片机为控制核心的功率因数测量仪,采用电流和电压信号的门限电压值的“过零检测”技术,实现信号功率因数的测量。该测量仪具有硬件电路结构简单、实用、测量精确度高、抗干扰能力强等特点,可用于各种电力应用场合的功率因数测量。
2 系统设计方案
2.1 系统设计技术
功率因数是交流电路中电压与电流之间的相位差φ的余弦。功率因数测量包括交流电压与电流相位测量和余弦值计算两部分,前者主要有直接相位-时间转换法和间接采样计算法,而后者则采用查表法和小数补偿算法。
对于相位测量而言,间接采样计算法是一种基于软件的相位差测量方法,采样保持放大器和A/D转换器作为模拟前端,在微处理器控制下,对模拟信号进行快速采样,按照一定的数据计算方法,计算隐含在离散的采样数据中的相位关系。但这种计算方法对微处理器和A/D转换器性能要求较高,软件设计较复杂,仅适用于精度要求较低的应用场合中。而直接相位-时间转换法是一种基于硬件的相位差测量方法,把两个具有一定相位差的正弦信号正向(或负向)过零点时刻相比较,两者的时间间隔(或脉冲宽度)表示其相位差。相位的直接相位-时间转换法原理经典,硬件实现容易,且电路抗干扰能力和稳定性更高,故选用直接相位-时间转换法测量相位。
2.2 工作原理
图1为功率因数测量中的相位-时间转换法的结构框图。

由于电力系统中工频周期为20 ms,因此,电压与电流的相位差测量精度取决于相位差信号的高电平宽度的测量。相位差为Φ的电压和电流信号Ui和Ii分别经电压转换器和低通滤波器。再经相应过零比较器变成方波,最后经相位-时间转换电路得到与相位成比例的高电平方波。图2给出图1中各节点的信号波形。

相位-时间转换法所得Φo与实际相位有一定的相位差,这是由低通滤波器引起的,可通过软件进行补偿。Φo信号是由单片机定时器定时计数高电平而测量的,其相位差Φ为:
![]()
式中,△t为高电平宽度。
由于P89V51RD2单片机振荡频率采用24 MHz,因此△t的测量分辨率可达0.5μs,因此相位精度可达0.018°,具有较高的相位测量精度。
余弦值的计算采用查表和小数补偿算法。首先对计算出的相位整数度查表,求得当前值和下一整数值的余弦值,然后,计算小数部分余弦值的增量值为两整数余弦值之差乘以小数部分,最后,将当前值的整数相位余弦值加上小数值进行校正补偿。这样就可得到精度较高的功率因数。
3 系统硬件结构及其工作原理
图3为基于P89V51RD2单片机的功率因数测量仪电路原理图,该测量仪由信号预处理电路、相位检测电路、电源、显示和单片机小系统等模块组成。图3中的Ui、Ii、Uo、Io和Φo各节点与图1中的各点相对应。

3.1 信号预处理电路
电压预处理电路由电压转换电路和过零比较器组成。实验发现,采用隔离变压器进行电压信号转换会造成相位偏移,且相位偏移不够稳定。因此,电压转换电路采用光电隔离器构成,由于发光管发光具有一定的滞后特性,因此由光电隔离器构成的电压转换电路除具有无相位偏移的特点外,还具有很高的过零点检测的稳定性和可靠性。
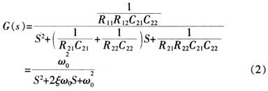
电流预处理电路由低通滤波器和过零比较器组成。电力系统中通常有电力设备开关和控制造成的突发脉冲、高次谐波和噪声等因素的干扰,这些干扰频率通常高于工频,且主要体现在电流中。为了滤除或降低干扰,在电流预处理电路中设置由U21构成的二阶Butterworth低通滤波器。其传递函数为:

式中,ωo为电路固有角频率,即低通滤波器的截止频率,ζ为电路阻尼系数。
当R21=R22=R,C11=C21=C时,ξ=
/2为电路最佳阻尼系数,此时,低通滤波器的截止频率为:
f0=
(3)
电流门限检测电路由VD31和C31构成的半桥滤波器和比较器U31构成,只有当电流达到一定值时,比较器输出为高电平。单片机通过检测到P3.7引脚的状态为1,才开始功率因数检测。图3中U13和U22分别构成两个过零比较器,由于比较器采用单5 V供电,满足TTL电平要求。过零比较器输出端的是与输入信号频率相同的方波。
3.2 相位检测电路
由于电力系统中电压与电流的相位差大于-90°,且小于90°。因此,可直接对电压信号预处理输出的方波信号和电流信号预处理的方波信号进行异或运算。得到一串脉宽与相位成正比的脉冲波。
3.3 显示及单片机小系统电路
为实现高精度相位检测和显示,采用具有SoftICE和ISP功能的高集成度增强型P89V51RD2单片机。其电路原理图如图4所示。显示电路由七段码集成电路74LS47、3-8译码器74LS138和6位共阳极七段码组成。其中:1位(D31)显示±,1位(D32)显示0或1和小数点,其余4位(D33)显示小数点后的4位有效数据。

单片机小系统除振荡电路和复位电路外,褂蠷S-232通信接口,这是因为P89V51RD2单片机具有SoftICE功能和ISP功能。
通过FlashMagic软件可激活P89V51RD2的SoftICE功能,则该单片机就具有本系统的自调试功能。通过串口通信电缆将本系统硬件连接到PC,在Vision单片机软件集成开发环境中进行程序在线调试。当系统程序调试完成后,可通过FlashMagic软件将调试通过的程序下载到单片机中,然后,按复位按钮或重新上电,系统正常工作。因此,采用P89V51RD2单片机设计时,无需仿真器和编程器就可完成整个系统设计。
4 系统软件设计
硬件电路为检测相位角提供高精度脉冲信号。利用P89V51RD2内部的T1定时/计数器,可精确求出△t值。将定时器T1设置成定时器方式,工作在工作方式1状态(即16位计数器)。
选用24 MHz的晶体振荡器,因此,时标脉冲周期为0.5μs。设定TR1和GATE1=1,则T1是否计数取决于信号:当由0→1时,T1开始计数,当由1→0时,T1停止计数。
设定IE=81H,IT0=1,当由1→0时,触发中断,在中断程序中,首先,关总中断,置TR1=0停止计数,读取定时器1的16位计数值,其中:高8位在TH1中,低8位在TL1中,然后,置定时器1的16位计数值为O,最后,开总中断,置TR1=1定时器1准备计数。因此,只要将△t信号施加至和上,就可求出以μs为单位△t的数值,即:
![]()
采用这种方法测量△t,分辨力和最大绝对误差均为0.5μs。系统软件程序流程如图5所示。电流信号预处理电路具有一定时间延迟,虽然其在被测相位上造成误差,但由于延迟时间固定,因此,只需由单片机读出相位值放入内存,采用软件修正测量结果,就可消除由此造成的通道相位误差,提高相位差的测量精度。

为避免随机干扰和测量结果的不稳定,提高相位测量精度,采用相位差中值滤波测量法:首先,采用排序技术对N个测量值进行冒泡排序排序,然后,取中间(N-2)个测量值,求平均值作为相位差值。
采用这种方法能够很好地提高测量仪的抗干扰能力问题。
5 测试结果
功率因数测量仪的关键技术在于对相位的精确测量。在完成硬件电路设计后.采用数字示波表测试相位检测电路中的电压和电流信号,测试结果如图6所示。

通过对测试电压和电流波形的分析可知:当电流信号发生严重畸变时,系统硬件能够很好地进行滤波整形,进而保证相位检测的精确度和准确度。由于在系统软件中采用中值滤波技术,因此,在工业现场实际测试时,测量结果具有很高的稳定性和测量精度。
6 结束语
基于P89V51RD2单片机的高性能功率因数测量仪,采用了改进的电压转换电路设计和具有SoftICE和ISP功能的高集成度增强型P89V51RD2单片机.降低了系统开发成本,加速开发进程。整个系统除具有硬件结构简单、测量精度高、测量稳定和可靠外,还具有在系统调试和在线软件升级功能。本功率因数测量仪既可广泛应用于电力供、配电系统中要求实时检测功率因数的部门,又可应用于生产、科研等需要对功率因数进行监测的场合。


