- 易迪拓培训,专注于微波、射频、天线设计工程师的培养
高阻器件低频噪声测试技术与应用研究--高阻样品噪声测试解决方案
录入:edatop.com 点击:
(3)信号频带宽
由于测得的信号是由差分放大器所得到的电压信号,其信号通频带远大于电流噪声的信号。足够的频宽对后期噪声信号的理论分析非常重要。
(4)该方法可应用于中低阻器件值得注意的一点是该方法不仅适合于高阻器件的应用,而且同样适用于有直流耦合和高偏执电压测试需求的中低阻器件。
3.2.1.2测试技术原理分析
以噪声作为信号源时,由于噪声是交流信号,因此我们将其等效为一个交流信号源来分析,此时电路中的直流源相对交流信号为短路,从而图3.9的交流等效电路变换为如下形式:

R 1-2为R 1和R 2的并联等效电阻,由于R t和R 1-2均为绕线电阻,因此我们认为它们仅产生热噪声信号,而无1/f噪声。Vn为低频噪声源,当Rx与R 1、R 2满足如下关系式时:

会得到以下结论:
①R 1-2的热噪声相对Rx和Rt的噪声来说极其小被忽略。
②R1-2的阻值相对于高阻样品Rx和Rt被忽略。于是得到如下简化电路

此时电路中Rt的阻值会对测试系统的应用产生影响,当考虑了Rt的热噪声时电路如下图所示:

其中Vn为Rx的噪声信号,Vt为Rt的热噪声信号

是输入放大器的测试样品的低频噪声信号

是输入放大器的隔离电阻Rt的热噪声信号,待测电阻噪声电压与功率谱的关系为:

其中SVn( f)为我们需要提取的频域电压功率谱密度信息。
隔离电阻热噪声与功率谱的关系为:

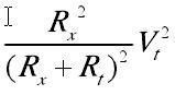
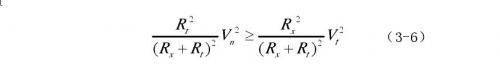
低频噪声信号要大于隔离电阻的热噪声使噪声信号能从热噪声中分离出来是测试系统正常工作的条件,即要使下式成立:

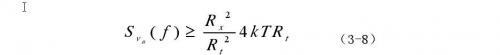
联立(3-4)(3-5)(3-6)式可将系统的限制条件从时域转化到频域,上述系统工作条件变为:

在转折频谱以上时,从(23)式可得:



