- 易迪拓培训,专注于微波、射频、天线设计工程师的培养
高阻器件低频噪声测试技术与应用研究--用于聚合物钽电容的漏电流噪声研究
(二)漏电流输运机理
本实验对多种不同型号的聚合物钽电容进行了漏电流与偏置电压的I-V曲线测试,在各种样品中均发现了漏电流随偏压先减小后增大的变化规律。
图4.14是本实验中测得的10uF聚合物钽电容在不同偏压下的漏电流特性。
从图中我们可以看到漏电流并不会随着偏压的增大而单调变化,而是先减小后增大。这与文献中传统钽电解电容的电流噪声随偏压的升高而单调递增的结果不一致。
产生电容漏电流的机制有很多种,主要机制有FN隧穿、直接隧穿、Frenkel-Poole发射、Schottky发射。除此之外离子输运电流、欧姆输运电流也会对漏电流有一定影响。在传统钽电容中,漏电流主要是由Frenkel-Poole发射导致。

上式中,A是比例系数,Φ表示绝缘层中陷阱的势垒深度,ε是绝缘层的相对介电常数。从(4-2)式我们可以看出,在温度一定的情况下,绝缘层中电流密度会随着电场强度的增加而变大,而且电场强度越大,Frenkel-Poole发射的作用越明显。
根据(4-3)式,如果聚合物钽电容中起主导作用的漏电流输运机制也是Frenkel-Poole发射,则电容的漏电流会随着偏压的增大而不断增大[35]。所以从图4.14中漏电流随偏压的变化趋势可以看出在聚合物钽电容漏电流输运机理中,起主导作用的并非仅仅是Frenkel-Poole发射。
图4.14中的现象可以用聚合物钽电容中的Frenkel-Poole发射和高分子有机聚合物蒸发导致的导电回路的中断这两种机制来解释。这两种机制共同作用于漏电流输运机制,并且二者是竞争的关系。
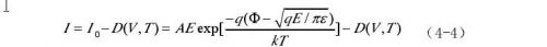
当聚合物钽电容两端所加偏置电压V的值较低时,器件中电场强度较弱。此时Frenkel-Poole发射随偏置电压的增加而加强的效果不明显,从而使漏电流增大的作用不明显。而另一方面,随着偏置电压的增大,裂缝处的导电高分子材料温度不断升高,阴极高分子聚合物的蒸发作用不断加快,使介质材料中裂缝和空洞导致的漏电流回路被切断,促使漏电流降低。该漏电流阻碍机制强于Frenkel-Poole发射,并随偏压增高而不断加强,因此低场强下两种机制共同作用的结果为漏电流随偏压增高不断降低。该过程可用(4-4)式描述:

(4-4)式中,代表由绝缘层裂缝或空洞处的阴极材料蒸发所导致的漏电流密度的减小,是一个随着电容两端所加偏置电压和阴极材料温度T递增的函数。
D (V , T)
V随着偏压的继续增加,介质材料中裂缝形成的导电回路已经几乎全部被裂缝处的高分子聚合物的蒸发所切断,即高分子聚合物的蒸发对漏电流的抑制作用已经达到饱和,为一常数,此时D(V ,T)→D。而另一方面,电场强度不断增加,从而导致Frenkel-Poole发射产生的漏电流机制在高场强下迅速增强,于是出现了漏电流开始不断上升的趋势。此时的漏电流输运机制可用如(4-5)式描述:

又由于聚合物钽电容的漏电流和电流噪声单调性一致,所以图4.13中的噪声谱图也同样随偏置电压的增大先减小后增大。
上一篇:工业运动控制中的测量技术
下一篇:使用正确的数据采集模式


