- 易迪拓培训,专注于微波、射频、天线设计工程师的培养
便携式功率分析仪设计----硬件设计
第三章便携式功率分析仪硬件设计
3.1微波功率测量原理
微波功率测量电路的连接方式一般分为终端式和通过式两种。终端式接法是把待测的信号功率直接送入功率计。即以功率探头为吸收负载,由它把吸收的微波功率转换为可以指示的某种电信号,再由指示器给出待测功率值。这种方法适用于测量发射装置或微波信号源的输出功率。通过式接法是按已知比例从主传输线上耦合出部分功率来测量主传输线所接负载吸收的净功率,或用来监测主传输线上传输功率的情况。
功率方程是功率测量线路中正确分析待测功率值的基础。将功率探头接到待测功率源的输出端T面,T面相当于由一段特性阻抗Zo的无耗传输线相连接。当源端和负载端阻抗都本等于Zo时,设T面上的源和负载的反射系数分别为Γg=(Zg -Zo)/(Zg +Zo)和ΓL=(ZL -Zo)/(Z L +Zo)。由此得出:(1)测量功率源输出,实际上是要求测量功率源向无反射负载的输出功率P o,只有当终端式功率计的ΓL=0时,才能准确测出P o。(不管|Γg|是否为零)。只有|Γg|也同时为零时,才能测出资用功率P A(因为不可能要求功率探头的反射系数与待测源反射系数共扼匹配)。可见,为提高功率测量精确度,要求终端式功率计的ΓL尽可能小,以减小失配不确定因子1/(1±|ΓgΓL|)2的作用。一般情况下,终端功率计指示的功率是P o,|Γg|和|ΓL|引入失配误差。
功率计一般包括功率探头和指示器两部分。这两部分根据灵敏度、精确度的不同,而使探头的结构和指示电路的繁简程度也不相同,种类繁多。
功率探头的基本功能是把待测微波功率转换为可检测的电信号,如检波器输出的直流信号,惠斯登电桥的失街电流、热电偶的热电压等。其结构随可承受功率的大小及使用要求而不同。
功率指示器的基本功能是把可测电信号变换为可指示电信号,经过定度,使其读数直接表示微波功率值。它一般包括变换放大解调和表头指示电路两部分。
前者的功能是放大可测电信号,提高功率计灵敏度和指示精度;后者常用的是电工表头或数字指示电路。最简单的功率指示电路也可以不用变换放大解调,而直接指示可测电信号。如常用的晶体检波器,在连续波工作时,它输出的可测电信号是直流电压(或电流)、若这个电压(或电流)足够大,就可直接由数字电压表或微安表头指示。
3.1.1现代射频脉冲功率测量方法
微波脉冲设备在现代电子设备及电子武器中占有重要地位。例如雷达、数字通信系统和电磁导弹、核武器的发射器等,都需测量其脉冲峰值功率。目前,人们正在研究将产生周期性或非周期性的大功率短脉冲电子设备,作为高功率微波武器。对这种高功率短脉冲微波信号,无论是研究它对电子设备产生的下扰,还是研究它对生命体产生的伤害作用,都要求研究其峰值功率的测量方法。特别是对极短脉冲峰值功率的测量,由于耦合元件过渡历程的影响,使通过式扩展功率法在测量上产生很大困难。因此,研究微波脉冲峰值功率的测量方法,也是近代微波测量的任务之一。
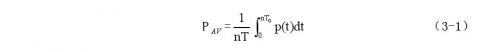
由功率的原始公式P=I 2 R,可以知道,功率就是单位时间内,在电阻上产生的热量。而脉冲峰值功率是指出现脉冲功率最大值的载波周期内的平均功率,而脉冲功率是指在一个脉冲持续时间内的平均功率。调制信号的平均功率P AV定义为,在许多个周期内取平均的功率,其表达式为:

式中T 0——载波信号周期;
n——载波信号周期数;
p(t)——功率瞬时值。
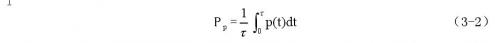
脉冲功率P p定义为,在一个脉冲持续时间τ内取平均的功率,其表达式为:

式中,τ是脉冲宽度。
脉冲峰值功率P pp定义为脉冲调制峰值处的射频平均功率,其表达式为:

式中,p V是调制脉冲在恒定负载电胆R两端的峰值电压。
显然,对于理想的矩形脉冲,其峰值功率等于脉外功率。人们通常所述的脉冲功率,其调制波形均系指矩形调制脉冲。
依据以上理论,现代功率测量采用了多种方法。在射频和微波段常采用以下几种方法:
热电法:借助于热电元件将电磁能量变为热能并测量由于发热所形成的热电势,热电势与热电元件所耗散的射频与微波功率成正比,以此来测定功率。这些使用热效应法的功率计因为其受温度影响很大,所以结构和测试技术复杂,对环境温度和测试设备要求苛刻。
以上这些功率计是热效应功率计,诺加热敏电阻、镇流电阻和热偶等热效应微波传感器,它们的热学时间常数较大。当被测信号是周期性脉冲时,这些功率传感器通常跟不上脉冲包络的变化,因而不能显示脉冲峰值功率。在稳定状态下,这种热效应功率计的读数,只能表示该射频脉冲在重复周期内的平均功率,由此可见并不能满足射频微波方向的应用。迄今,其响应速度能真实地跟上脉冲调制,并用于峰值电平测量的功率传感器,是晶体二极管(用于低功率测量)和真空二极管(用于高功率测量)。通常用于测量峰值脉冲功率的经典方法主要是:平均功率法和峰值检波功率测量法。
然而平均功率法主要的缺点在于,平均功率法是利用响应缓慢的功率传感器测量射频脉冲峰值功率的一种方法。该方法是测量重复脉冲的平均功率,并采用某种辅助方法来测量脉冲的占空系数。用连续波功率探头按照一般连续波功率测量的方法进行测量,得到平均功率测量结果后按照ASK调制的占空比进行计算,得出发射信号的脉冲功率。

其中,PAV为平均功率测量结果,Q=1/τF是射频脉冲的占空系数(工作周期),—般为10-2~10-4。当脉冲波形为非理想矩形脉冲时,必须对波形失真进行修正,其峰值脉冲功率的表达式为:

式中,K是波形修正系数,其数值等于实际脉冲功率的最大电平(峰值功率电平)与具有同样宽度和面积的等效矩形脉冲电平之比。K值经常是加以估计的,理想矩形脉冲的K=1.平均功率法的优点是,适应于较宽的频率范围,具有较大的功率量程;缺点是不适用于可变占空系数的场合,必须精确测量脉冲参量以及测量的间较长。而在实际应用过程中这种方法得到的结果中难免带有占空比测量和计算带来的误差,不能满足射频脉冲信号功率分析的要求。
所以通过分析,峰值检波功率测量法由于是对被测信号进行检波,然后根据用户指定的触发电平并延迟指定的时间在检波包络上进行采样得到测量结果,该方法测量可信度高,并且有测量效率高,对测量环境要求较低等特点,符合便携式功率分析仪的设计理念。故在本课题设中被采纳。
3.1.2功率测量方案
利用峰值检波器可直按测量脉冲功率。这种方法是测量检波器输出端的信号电压,该电压与加到检波器上的脉冲功率成比例。则我们只需要测得该时刻检波器输出电压值,即可求出该点被测信号功率大小。
通常,采用真空二极管作峰值检波器,其频率范围可达2~2.5GHz;晶体二极管(低势垒肖特基二极管)用作峰值检波器,频率范围可达18GHz.工作在平方律状态的晶体二极管,其动态范围约为20 dB.对于线性区域工作的真空二极管,动态范围从零点几瓦到200瓦,若采用外部分压器,上限可提高到几百千瓦,测量误差为(10~15)%。在精确测量射频功率时对检波器温度稳定性要求很高。而且由于半导体的温度特性影响,二极管检波器的温度稳定性较差,不能适应室外复杂外界条件下的测量需要。在低输入功率下,二极管探测器处于限制动态范围(20到30dB),漂移也比较大。当系统需要检测控制RF功率时,解调对数放大器是一个越来越受欢迎的选择。
所以在实际设计过程中,采用对数放大器对功率调制信号进行检波。商业现有的对数放大器IC的优点是,与二极管检测器相比,动态范围提高4倍,温度稳定更好、更小。像二极管检测器一样,对数放大器基本上是电压敏感器件,而不是功率敏感器件。

对数放大检测器是由多级对数放大器构成的,其电路框图如图3-1所示。图中共有5个对数放大器(A~E),每个对数放大器的增益为20dB(即电压放大系数为10倍),最大输出电压被限制为1V.因此,对数放大器的斜率k s =1V/20dB=50mV/dB.5个对数放大器的输出电压分别经过检波器送至求和器(∑),再经过低通滤波器获得输出电压U o。对数放大器能对输入交流信号的包络进行对数运算,其输出电压与b、PIN的关系式为:

上式中的b代表截距,即对应于输出电压为零时的输入功率电平值。对数放大器的特性曲线如下图所示。由图可见,对应于±1dB的测量误差,输入功率电平的动态范围是-65dB~-5 dB.对数放大检测法的优点是动态范围宽,斜率恒定,并且温度稳定性好。
3.2功率测量部分方案设计
功率测量通道主要实现射频脉冲峰值功率实时测量。功率测试的设计思路:衰减-检波-放大-A/D采样。
功率测量电路主要包括微波部件、峰值检波电路、A/D转换电路和FIFO存储电路等。输入信号通过控制信号切换到功率测量通道后,根据信号的范围,控制选择微波模块中的衰减网络的挡位,对信号进行不同程度的衰减。衰减后的信号经过检波器检波。如果输入信号是连续波,则检波后的信号为直流,可以直接将信号送入A/D转换器进行采样。当输入信号是脉冲调制信号,检波后的信号是脉冲信号。为了得到信号的峰值功率,需要设置触发电平,来捕获信号的峰值。电路中采用了预触发的原理选择触发电平。在得到信号的峰值后,通过A/D转换器进行采样。A/D采样后的数据存储在FIFO中。ARM单片机从FIFO中取回数据进行处理,得到最终的功率值。

上一篇:便携式功率分析仪设计-----频率部分电路设计(二)
下一篇:基于NI
PXI
Express平台的石油管复合挤毁试验机控制
与数据采集系统搭建


