- 易迪拓培训,专注于微波、射频、天线设计工程师的培养
天线方向 自动测试系统的设计
式中:υm为电压幅值;ω为同步机绕组电压的角频率;θ为天线转过的角度。
V1和V2在正余弦乘法器中分别与cosφ和sinφ相乘(cos φ和sinφ是正余弦函数发生器产生的,φ为计数器的数字量),然后在误差放大器中进行相减、放大得:
式中:k为误差放大器的放大倍数。
该信号经相敏检波后输出误差信号θ-φ,再经积分器积分后控制压控振荡器使θ-φ趋于0,此时可逆计数器输出代表角度θ的数字量。
该轴角编码器可输出12位角度数字信号,具有很高的角度分辨力。从粗同步机上取信号时,最小可分辨角度为:6 000/212=1.46密位。为进一步提高分辨力,从精同步机上取信号,由于粗、精转速比为1:20,最小可分辨角可达到1.46/20=0.073密位。
采集间隔越小,测量精度越高,但最小采集间隔受天线转动速度、A/D转换时间和必要的数据处理时间的限制。本系统采用等角度间隔采集,采集间隔为23×0.073=0.58密位。
3 软件设计
3.1 软件构成及执行流程
系统的软件由信号采集、数据处理和方向图参数计算及绘图3部分组成。
信号采集程序包括幅度信号录取程序和角度信号录取程序,也就是A/D和轴角编码器的启动和数据输出程序。采集的天线幅度信号存入外部数据存储器;由于绘制方向图和参数计算只需角度的变化量,不需要角度的绝对值,因此,角度数字信号不必像天线幅度信号一样存放在存储器中,而是用存储器地址的后几位来代表角度信号,即存放某一位置幅度信号的地址,就包含了该位置的角度信息。这样处理既节省了存储空问,又使数据处理大大简化。
程序执行流程图如图4所示。

测量开始后,单片机根据轴角编码器输出的角度信号判断天线转过的角度是否为△α(相邻两数据点的角度间隔),如果还没有转过△a,等待;如果已转过 △a,CPU发出"启动"A/D的指令,并将A/D转换结果存入外部数据存储器。这样,在单片机控制下,天线每转动△a录取一次天线幅度信号。录取结束后,进行数据校准、滤波处理和参数计算,最后绘制方向图,打印方向图参数。
天线方向图参数包括主瓣宽度、副瓣电平和交叉点电平。由于天线幅度信号采用对数值,因此乘除法运算变成了加减法运算,使编程简化。求解3个参数的关键是求出主瓣最大值点、第1副瓣最大值点和交叉点,找到这些点后再进行简单的加减运算即可求出参数值。下面介绍数据处理程序中的测量放大器校正程序和消" 毛刺"程序。
3.2 测量放大器校正程序
测量放大器是该系统最主要的误差源,是一个近似的对数放大器,为了得到与输人信号对数成正比的输出电压,需对其进行校准。
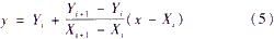
本系统测量放大器的校正法是:用实验方法测出整分贝点校准值对应的测量放大器输出电压值,制成电压-分贝表存人程序存储器,编制查表程序可得到与整分贝点校正值对应的输出电压值,非整分贝点的校正值由线性插值法求出。计算公式为:
式中:i=1,2,…Y为整分贝校正值;X为对应Y的输出电压值;y为位于yi-1与Yi之间的非整分贝校正值;x为对应y的输出电压值。
电压-分贝表可通过下面的实验获得。实验配置如图5所示。

实验步骤如下:
a)按图5连接电路,打开电源,使仪器正常工作。
b)将精密衰减器调至0 dB,调整信号源"衰减"旋钮,使A/D输出接近满量程。
c)增大精密衰减器的衰减量,每变化1 dB读一次A/D输出值,直到输出为0。
d)以分贝值为地址(末几位),在EPROM中固化相对应的A/D输出值。
图6是由绘图仪绘制的测量放大器的校准曲线。实验表明,经校准后,测量放大器产生的误差大大降低,但仍大于0.25 dB,信号较小时误差接近0.5 dB。误差产生的原因是校准时精密衰减器本身有0.1 dB的误差,尤其是校准时的环境(温、湿度等)与测量时不同造成的校准误差影响更大。因此,实际中一般制作多个分贝-电压表,应用于不同的实验环境。

3.3 消除"毛刺"程序
由于电磁环境日趋复杂、恶劣,测试现场存在很多电磁干扰。出现最频繁的是脉冲干扰,在绘出的方向图中表现为一个个小"毛刺"。这些毛刺给数据处理带来很大麻烦,如果不予消除,可能引起测量误差增大、参数计算出错等现象。例如出现在主瓣上的"毛刺"会被误判为副瓣,从而导致副瓣电平的计算出错。
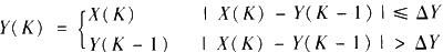
常用的消除"毛刺"方法有限幅滤波法、求算术平均值法、中值滤波法和一阶滞后滤波法等。通过实验验证,限幅滤波法对测量中出现的"毛刺"的滤波效果最好。限幅滤波法是把两次相邻的采样值相减,求出增量绝对值,然后与两次采样允许的最大差值△Y进行比较,如果不大于△Y,则认为本次数据有效,保留该数据;否则,取上点的数值作为本次数据。即
式中:K=1,2,…;X为采集数据;Y为滤波数据。


