- 易迪拓培训,专注于微波、射频、天线设计工程师的培养
CPLD 在线缆快速测试技术中的应用
1.引言
随着电子技术的发展,复杂可编程逻辑器件CPLD(Complex Programmable Logic Device)以其高速、高可靠以及开发便捷、规范、能完成任何数字器件功能的优点[1], 越来越广泛地应用于电子仪器中。
线缆的安装质量的好坏将直接影响电气柜的质量,因此线缆测试是电气柜线缆安装过程中非常重要的环节。线缆快速测试技术是指实时、高效、准确、同时测试多条线缆的连通性能(通断、短路、错接),是目前多数电气传动类企业所希望使用的技术[2]。
本文根据国内外线缆测试技术的发展及生产企业的实际要求,设计了一种新型便携式线缆组快速测试系统。该测试系统采用两块CPLD 用于接口电路,从而实现多组线缆(内有多条导线)同时测试,检测线缆的通断、短路和错接情况,进而达到快速检测线缆连通性能的目的。
2.测试系统工作原理
线缆的连通性是指线缆中任意两根线之间不得短路、断路及错接[3],是其他线缆特性测试的基础。电气柜因型号不同,每组线缆的数量不同,多者可达几十条,少者仅有几条。为了使测试系统的应用具有广泛性,本文将CPLD引入设计中,将被测线缆组接于两块基于CPLD的接口电路之间。用户通过键盘输入待检测线缆组的图号,然后按开始键后CPLD工作,输入的信号通过被测线缆输出到另一CPLD进行数据信息汇总,然后通过SPI(Serial Peripheral Interface)接口模块将数据传递给单片机进行处理,单片机对比接收和发射的数据,从而判断出线缆组中每条线缆的连接状况,并将测试结果通过液晶显示屏显示。测试系统原理框图如图1所示。
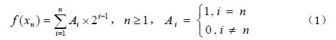
不同于双绞线等其他线缆的测量[4-5],电气柜线缆组具备两端测量的条件,因此可以采用施加数字信号来实现检测。假设被测线缆组有n条线缆,施加的测试信号为
,且

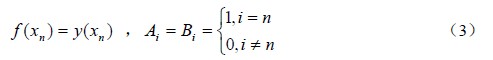
返回信号为
,且:

例如,测试第一条线缆时,单片机输出给CPLD1#的信号为
,测试第二条线缆时,输出给CPLD1#的信号为
,以此类推,经CPLD2#返回到单片机的信号y(xn )中"1"的个数与发出信号f (xn ) 中"1"的个数一致且位置对应,说明线缆连通性良好;个数一致但位置不对应,则可知线缆错接;若"1"的个数多于测试信号中"1"的个数,说明线缆组中有线缆短路,通过确定返回信号中"1"的位置即可断定哪几条线缆之间发生了短路;若返回信号中没有"1", 则说明被测的这条线缆开路。

Fig. 1 The block diagram of test system
3.CPLD 的设计

Fig. 2 The connection of internal module in CPLD1# chip
CPLD2# 的主要工作是将由CPLD 1# 输出的信号经过被测线缆进行采集,且将并行位数转换成串行数据传给单片机进行处理,其内部模块连接图如图3 所示,其中包括SST_AND 和CPLD_MCU 两个模块[6-7]。SST_AND 与门电路的主要作用是:只有CPLD 2# 在工作时单片机才能向CPLD 1# 中输出数据,这样保证数据的可靠性和正确性;CPLD_MCU 模块的作用是完成输入数据的并/串转换,将转换好的数据通过SPI 接口传送给单片机。值得注意的是,实际应用时还应在CPLD2#的I/O 口上增加下拉电阻,以避免采集信号时出错。

Fig. 3 The connection of internal module in CPLD2# chip
4.仿真实验
为验证设计的接口电路是否能够实现系统要求,本文对两块CPLD 进行了仿真实验。CPLD1#的仿真波形如图4 所示。

图4 CPLD1# 仿真波形
Fig. 4 The emulation wave of CPLD1#
由图4 可知,当CPLD1#接收到‘Start’命令后,在‘CP’触发信号的作用下,Sign_out 端口依次输出(00001000)B、(00010000)B、(00100000)B 等信号,实现了将‘1’进行移位且并行输出。
SST_AND 模块的仿真波形如图5 所示,CPLD_MCU 的仿真波形如图6 所示。

Fig. 5 The emulation wave of SST_AND module

Fig. 6 The emulation wave of CPLD_MCU modul
在图5 中,SS 端的信号来自单片机,当SS 端的信号与CPLD1#的CP_out 端信号皆为高电平时,CPLD2#才可开始采集信号。由图6 可知,由CPLD1#输出的8 位并行数据(10101101)B 经Sign_in 端口进入CPLD2# 的 CPLD_MCU 模块进行转换,MISO 端输出为串行数据。
通过图 4-图6 的仿真结果可知,设计的CPLD 接口电路能够实现多条线缆的同时测量。本文设计的CPLD 接口电路最多能同时测量64 条线缆的连通性能(受CPLD芯片I/O 引脚数量的限制),若要同时测试更多线缆,只需更换CPLD 芯片即可。
5.总结
本文作者创新点:利用CPLD 器件I/O 接口多的优点,创新地将CPLD 引入到线缆测试技术中,实现了多条线缆连通性的同时测量。仿真实验证明设计思路正确,方案可行,为高效、准确地实现电气柜线缆组的测试提供了新的、有效的途径。
参考文献
[1] 王玉辉.CPLD技术在时差法超声波流量计中的应用[J].微计算机信息.2005, 21(8):117~119
[2] 叶树青.微电脑在自动测试装置上的应用—D28-1线缆测试仪介绍[J].通信与计算机.1990,4:1~5
[3] 杜晓通.智能建筑弱电线缆性能测试仪[J].电子测量与仪器学报.2002,16(2):50~55
[4] 李忠晓.一种简易线缆测试仪[J].有线电视技术.2003,10(22):69~70
[5] 周宏志,王冬青,贾玉兰.时域回波反射法在双绞线测试中的应用[J].电信科学.2004,20(6):73~75
[6] Mark Zwolinski.Digital System Design with VHDL[M].Beijing: Publishing House of Electronics Industry, 2002
[7] 侯伯亨,顾新.VHDL硬件描述语言与数字逻辑电路设计[M].北京:西安电子科技大学出版社,2004


