• Ò×µÏÍØÅàѵ,רעÓÚ΢²¨¡¢É䯵¡¢ÌìÏßÉè¼Æ¹¤³ÌʦµÄÅàÑø
Ê×Ò³ > ²âÊÔ²âÁ¿ > ¼¼ÊõÎÄÕ > ÊÖ»úÉ䯵µç·Éè¼ÆµÄ²î·ÖÉ¢Éä²ÎÊý²âÊÔ

ÊÖ»úÉ䯵µç·Éè¼ÆµÄ²î·ÖÉ¢Éä²ÎÊý²âÊÔ

¼È룺edatop.com    µã»÷£º
¶ÔÊÖ»úÉ䯵(RF)µç·Éè¼Æ£¬±¾ÎÄÒÔ¶ÔÉù±íÂ˲¨Æ÷µÄ²âÊÔΪÀý̽ÌÖÁËÒÔÏÂÈý¸öÎÊÌ⣺ÈçºÎÓõ¥¶ËʸÁ¿ÍøÂç·ÖÎöÒDzâÁ¿²î·ÖÍøÂçµÄÉ¢Éä²ÎÊý£»²î·ÖÍøÂçµ½µ¥¶ËÍøÂçת»»Ê±µÄ¹²Ä£¸ÉÈÅÎÊÌ⣻˫¶ËÍøÂçË«¹²éîÆ¥ÅäÎÊÌâ¡£

ÔÚÉè¼ÆÊÖ»úµÄÉ䯵µç·ʱ£¬³£»áÓöµ½´øÓвî·Ö¶Ë¿ÚµÄµÍÔëÉù·Å´óÆ÷¡¢»ìƵÆ÷¡¢Éù±íÂ˲¨Æ÷µÈ¡£Í¼1ÊÇTD-SCDMAÊÖ»úÉ䯵½ÓÊյ緣¬ÆäÖÐMAX2392µÄµÍÔëÉù·Å´óÆ÷Êä³öÊǵ¥¶ËµÄ£¬¶øMAX2392µÄ»ìƵÆ÷ÊäÈëÊDzî·ÖÐÎʽµÄ£¬µÍÔëÉù·Å´óÆ÷Óë»ìƵÆ÷Ö®¼äÊÇÒ»¸öµ¥¶Ëµ½²î·ÖÐÎʽµÄÉù±íÂ˲¨Æ÷ºÍ±ØÒªµÄÆ¥ÅäÍøÂ磬ÔÚÉè¼Æ¸ÃÆ¥ÅäÍøÂçʱ£¬ÐèÒªÖªµÀ»ìƵÆ÷ÊäÈë¶Ë²î·ÖÉ¢Éä²ÎÊýºÍÉù±íµÄÉ¢Éä²ÎÊý£¬Í¨³£ÍøÂç·ÖÎöÒǶ¼²»ÊDzî·ÖÐ͵ġ£ÏÂÃæÒÔ¶ÔÉù±í(SAW)µÄ²âÊÔΪÀýÀ´ËµÃ÷ÈçºÎ²âÊÔ²î·ÖÉ¢Éä²ÎÊý¡£


ÎïÀíÈý¶Ë¿ÚÉ¢Éä²ÎÊý


ÔÚÉè¼Æ¸ÃÊÖ»úµÄÉ䯵µç·ʱ£¬ÎÒÃÇÑ¡ÓõÄÊÇEpcos¹«Ë¾µÄLH46BÉù±íÃæ²¨Â˲¨Æ÷£¬Epcos¹«Ë¾ÌṩÁËÒ»¿éÆÀ¹À°å£¬Èçͼ2Ëùʾ£¬¶Ë¿Ú1Ϊµ¥¶ËÐÍÊäÈë¶Ë¿Ú£¬¶Ë¿Ú2¡¢3×é³É²î·ÖÐÍÊä³ö¶Ë¿Ú¡£ÔÚÆÀ¹À¸ÃÆ÷¼þʱ£¬ÏȽ«ÆäÊÓΪһ°ãµÄÈý¶Ë¿ÚÍøÂ磬ÓÃÒ»°ãµÄʸÁ¿ÍøÂç·ÖÎöÒǺÜÈÝÒײâµÃÆäÈý¶Ë¿ÚÉ¢Éä²ÎÊý£¬¾ßÌå¹ý³ÌÈçÏ£º

1. ¶Ë¿Ú3½ÓÆ¥Åä¸ºÔØ£¬ÓÃÍøÂç·ÖÎöÒDzâ¶Ë¿Ú1¡¢2µÄË«¶ËÉ¢Éä²ÎÊý£¬¼ÇΪSA£»
2. ¶Ë¿Ú2½ÓÆ¥Åä¸ºÔØ£¬ÓÃÍøÂç·ÖÎöÒDzâ¶Ë¿Ú1¡¢3µÄË«¶ËÉ¢Éä²ÎÊý£¬¼ÇΪSB£»
3. ¶Ë¿Ú1½ÓÆ¥Åä¸ºÔØ£¬ÓÃÍøÂç·ÖÎöÒDzâ¶Ë¿Ú2¡¢3µÄË«¶ËÉ¢Éä²ÎÊý£¬¼ÇΪSC£»
4. ÎïÀíÈý¶Ë¿ÚÍøÂçÉ¢Éä²ÎÊýSTΪµÈʽ(1)Ëùʾ£º

Ò»°ãÀ´Ëµ£¬²î·Ö¶Ë¿Ú²¢²»ÊÇÀíÏëµÄ£¬Í¨¹ýÑо¿ÉÏÃæµÃµ½µÄÎïÀíÈý¶Ë¿ÚÍøÂçÉ¢Éä²ÎÊýST»á·¢ÏÖ£º


ÀíÏëÇé¿öÏ£¬¶Ë¿Ú1¼ÓÒ»µãƵ¼¤ÀøÐźţ¬ÔÚ¶Ë¿Ú2Óë¶Ë¿Ú3Ó¦µÃµ½´óСÏàµÈ£¬Ïàλ²î180¶ÈµÄÐźţ¬Ò²¾ÍÊÇ˵ÔÚ¶Ë¿Ú2Óë¶Ë¿Ú3Éϵõ½Ò»¸ö²î·ÖÐźţ¬Êµ¼ÊÉÏÔÚ¶Ë¿Ú2Óë¶Ë¿Ú3ÉÏ»¹´æÔÚ×Å´óСÓëÏàλ¶¼ÏàµÈµÄÐźţ¬¼´¹²Ä£Ðźš£Èô½«²îÄ£Ðźſ´×÷Ò»¸ö¶Ë¿Ú£¬¹²Ä£Ðźſ´×÷Ò»¸ö¶Ë¿Ú£¬ÔÙ¼ÓÉÏÔ­À´µÄ¶Ë¿Ú1£¬ÕâÑù¾Í×é³ÉÁËÒ»¸öеÄÈý¶Ë¿ÚÍøÂ磬³ÆÎªÄ£Ê½Èý¶Ë¿ÚÍøÂç¡£

ģʽÈý¶Ë¿ÚÍøÂçÉ¢Éä²ÎÊý

ÏÖÔÚµÄÎÊÌâÊǸÃÈçºÎÓÉÎïÀíÈý¶Ë¿ÚÍøÂçµÄÉ¢Éä²ÎÊýµ¼³öģʽÈý¶Ë¿ÚÍøÂçµÄÉ¢Éä²ÎÊý¡£Éù±íÆ÷¼þÊôÓÚÎÞÔ´ÍøÂ磬ÇÒ²»º¬Óи÷ÏòÒìÐÔ½éÖʲÄÁÏ£¬ÆäÉ¢Éä²ÎÊý±ØÈ»ÊÇ»¥Ò׵쬾ÍÊÇ˵ÎïÀíÈý¶Ë¿ÚÍøÂç½öÓÐ6¸ö¶ÀÁ¢²ÎÊý¡£²îÄ£Ó빲ģÐźÅÖ»ÊǶ˿Ú2Óë¶Ë¿Ú3ÐźŵÄÏßÐÔ×éºÏ£¬ËùÒÔģʽ3¶Ë¿ÚÍøÂçµÄÉ¢Éä²ÎÊýÒ²±ØÈ»ÊÇ»¥Ò׵쬼´Ö»ÓÐ6¸ö¶ÀÁ¢²ÎÊý(E3)¡£¹Û²ìͼ3¿ÉÒÔ¿´µ½¶Ë¿Ú1ÔÚÁ½ÖÖÉ¢Éä²ÎÊýÐźÅÁ÷ͼÖÐδ±ä£¬¹Ê£º


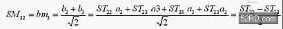
SM22ÊÇ·´Ó³Óж˿Ú1À´¼¤·¢³ö²îÄ£ÐźÅÄÜÁ¦µÄ²ÎÊý£¬¸ù¾Ý²îÄ£Ðźŵ͍Ò壬ËüÓ¦ÊÇST12ÓëST13µÄ²î£¬¿¼Âǵ½²îÄ£¶Ë¿ÚµÈЧΪ½«¶Ë¿Ú2Óë¶Ë¿Ú3´®½ÓÆðÀ´£¬¹ÊÆä´ËÊ±ÌØÕ÷×迹ÒÑÊÇÔ­À´Á½±¶¡£¼Ù¶¨¶Ë¿Ú2ÐźŵÄÏàλΪ²îÄ£ÐźÅÏà룬ÕâÑù¿ÉÒԵõ½

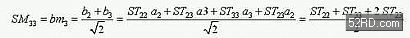
SM33ÊÇ·´Ó³Óж˿Ú1À´¼¤·¢³ö¹²Ä£ÐźÅÄÜÁ¦µÄ²ÎÊý£¬¸ù¾Ý¹²Ä£Ðźŵ͍Ò壬ËüÓ¦ÊÇST12ÓëST13ºÍµÄÒ»°ë£¬¿¼Âǵ½¹²Ä£¶Ë¿ÚµÈЧΪ½«¶Ë¿Ú2Óë¶Ë¿Ú3²¢½ÓÆðÀ´£¬¹ÊÆä´ËÊ±ÌØÕ÷×迹ÒÑÊÇÔ­À´Ò»°ë£¬ÕâÑù¿ÉÒԵõ½£º

SM22£¬SM32·Ö±ðÊÇ·´Ó³¶Ë¿Ú2Óë¶Ë¿Ú3Ôڵȷù·´ÏàÐźż¤ÀøÊ±£¬ÔÚ·´É䲨ÖвúÉú²îÄ£·ÖÁ¿Ó빲ģ·ÖÁ¿ÄÜÁ¦µÄÒ»¸öÁ¿£¬½«ÎïÀíÈý¶Ë¿ÚÍøÂçµÄ¶Ë¿Ú1½ÓÆ¥Åä¸ºÔØ£¬¶Ë¿Ú2¼Ó¼¤ÀøÐźţº

¶Ë¿Ú3¼Ó¼¤ÀøÐźţº

ÕâÁ½¸ö¼¤ÀøÐÅºÅºÏÆðÀ´µÈЧΪÔÚ²îÄ£¶Ë¿Ú¼Ó¼¤ÀøÐźţº

ÏÖÔÚ·Ö±ð¼ÆËã¶Ë¿Ú2Óë¶Ë¿Ú3·´É䲨ÖвîÄ£Ó빲ģÐźųɷ֣¬ËüÃÇÔÚÊýÖµÉÏÓ¦·Ö±ðµÈÓÚSM22£¬SM32£¬Öµ·Ö±ðÊǵÈʽ(4)¡¢(5)Ëùʾ¡£



SM33ÊÇ·´Ó³¶Ë¿Ú2Óë¶Ë¿Ú3ÔڵȷùͬÏàÐźż¤ÀøÊ±£¬ÔÚ·´É䲨ÖвúÉú¹²Ä£·ÖÁ¿ÄÜÁ¦µÄÒ»¸öÁ¿£¬½«ÎïÀíÈý¶Ë¿ÚÍøÂçµÄ¶Ë¿Ú1½ÓÆ¥Åä¸ºÔØ£¬¶Ë¿Ú2Óë¶Ë¿Ú3ͬʱ¼Ó¼¤ÀøÐźţº

ÕâÁ½¸ö¼¤ÀøÐÅºÅºÏÆðÀ´µÈЧΪÔÚ¹²Ä£¶Ë¿Ú¼Ó¼¤ÀøÐźţº

ÏÖÔÚÀ´¼ÆËã¶Ë¿Ú2Óë¶Ë¿Ú3·´É䲨Öй²Ä£Ðźųɷ֣¬ËüÔÚÊýÖµÉÏÓ¦µÈÓÚSM33¡£

ÆäÖµ¼ûµÈʽ(6)£º


×ۺϵÈʽ(2)ÖÁµÈʽ(6)£¬¿ÉÒԵõ½ÍêÕûµÄģʽÈý¶Ë¿ÚÍøÂçÉ¢Éä²ÎÊý£¬ÕûÀíºóµÃµ½µÈʽ(7)£º

ÐèÒªÌØ±ð×¢ÒâµÄÊÇ´Ë´¦µÃµ½µÄ¸ÃÉ¢Éä²ÎÊý¸÷¶Ë¿Ú²¢²»ÊÇÀûÓÃͳһµÄÌØÕ÷×迹×÷¹éÒ»»¯£¬¼Ù¶¨¶Ë¿Ú1µÄÌØÕ÷×迹ΪZo£¬Ôò¶Ë¿Ú2(²îÄ£ÐźŶ˿Ú)Ϊ2 Zo£¬¶Ë¿Ú3(¹²Ä£ÐźŶ˿Ú)ΪZo/2¡£

¹²Ä£ÒÖÖÆ±È

MAX2392ÊÇÒ»¸öÁãÖÐÆµµÄÉ䯵½ÓÊÕ»ú£¬Îª½â¾ö±¾ÕñÐźŵÄй©ÎÊÌ⣬MAXIM ¹«Ë¾²ÉÓÃÁ˲î·ÖÐÎʽµÄ»ìƵÆ÷£¬´Óͼ1¿´µ½µ±¹²Ä£ÐÎʽµÄ±¾ÕñÐźÅÓÐ»ìÆµÆ÷ÊäÈë¶Ëй©³öÀ´Ê±£¬Éù±í»á¶Ô´Ë²úÉúÒÖÖÆ(´Ë´¦»Ø±ÜÁËÆ¥ÅäÍøÂçµÄÓ°Ïì)£¬Õâ¶ù¿ÉÒÔ¶¨Ò干ģÒÖÖÆ±ÈÈçÏ£º

ÿû]þÚÿµºËûZnW¿¦–¡­çÌìÏ߶˿ڵı¾ÕñÐźŴóС£¬¸Ã¹²Ä£ÒÖÖÆ±ÈÔ½´óÔ½ºÃ¡£Ñо¿Í¼3ËùʾµÄÉ¢Éä²ÎÊýÐźÅÁ÷ͼ£¬ÎÒÃÇ·¢ÏÖ»¹ÓÐÁíÍâÒ»ÖÖ¹²Ä£µ½²îÄ£µÄת»»ÐÎʽ£º

¸Ã¹²Ä£ÒÖÖÆ±ÈÓÅÁÓÓëÖ±Á÷Æ«ÒÆÁ¿Óйء£±¾ÕñÐźÅͨ¹ý¿Õ¼ä·øÉäµÈ;¾¶ñîºÏµ½LH46B ²î·Ö¶Ë¿ÚÓ¦Êǹ²Ä£Ðźţ¬¸Ã¹²Ä£Ðźž­LH46B·´Éäºó²úÉúµÄ²îÄ£ÐźŻáÖ±½Ó¼Óµ½»ìƵÆ÷ÊäÈë¶Ë£¬´Ó¶øÓë±¾Õñ×Ô»ìÆµ²úÉúÖ±Á÷¡£¸Ã¹²Ä£ÒÖÖÆ±ÈÔ½´óÔ½ºÃ¡£

µã»÷ä¯ÀÀ£ºÊ¸Á¿ÍøÂç·ÖÎöÒÇ¡¢ÆµÆ×ÒÇ¡¢Ê¾²¨Æ÷£¬Ê¹ÓòÙ×÷Åàѵ½Ì³Ì

ÉÏһƪ£ºÄÔµçÎïÀíÍ·Ä£ÐÍÊý¾Ý²É¼¯ÏµÍ³µÄÑо¿
ÏÂһƪ£ºÊ¹ÓÃFPGA²âÊÔµÄһЩÓÐЧ·½·¨

΢²¨É䯵²âÁ¿²Ù×÷Åàѵ¿Î³ÌÏêÇé>>
É䯵ºÍÌìÏß¹¤³ÌʦÅàѵ¿Î³ÌÏêÇé>>

  ÍøÕ¾µØÍ¼