- 易迪拓培训,专注于微波、射频、天线设计工程师的培养
基于GPS的电压向量测量的新方法及其应用
基于全球卫星定位系统(GPS)的电压互感器二次线路压降自 动跟踪补偿装置能很好地解决以上问题。装置以GPS信号作为TV二次线路两端数据采集的同步信号,同步测量TV输出端口和电能表输入端口的电压向量,结合 锁相倍频技术,使系统的准确性和稳定性得到保证;并以电力线载波通信的方式进行数据通信,免去了铺设电缆的麻烦和安全隐患;通过D/A转换实时进行电压补 偿,从而达到自动跟踪补偿的目的。
1 自动跟踪补偿装置的总体结构
系统结构如图1所示。

基于GPS的电压互感器二次线路压降载波式自动跟踪补偿装置由测量主机和测量从机两部分构成。主机除了测量二次仪表输入口的电压参数以外,还向 从机发送控制命令并接收测量数据,计算二次线路压降,通过D/A转换输出补偿电压,通过串口与上位机通讯实现远程监控和数据共享。从机结构与主机类似,只 是没有D/A补偿模块,它能与主机通讯,按主机命令对TV输出端口的电压参数进行测量,并将实时数据及时地发送到测量主机。
装置 的设计主要包括以下内容:(1)基于GPS的高精度时间同步测量单元的设计:GPS系统1PPS(秒脉冲信号)及100PPS和串口时间代码的提取、同步 测量电压向量及计算处理二次压降。(2)电力线载波通信模块的设计:电力载波通信线路要求具备双工通信的能力、比较稳定的相移特性,以及足够的输出功率。 经过反复试验比较,在TV二次线路上采用专用的电力载波数据通信芯片LM1893设计电力载波数据通信模块,通信距离达500m,能够满足现场检测的需 要。(3)D/A补偿模块的设计:经单片机计算处理后的二次压降补偿值通过D/A转换器转换成模拟量,通过功率放大器后串联迭加到二次仪表输入端口,对二 次线路上的电压损失进行补偿。
2 基于GPS的电压向量测量
压降测量是通过分别检测TV二次线路两端的电压向量(应检测出幅值和相位),然后将两端测量值相减从而得出线路压降值的幅值差和相位差。电压的幅值测量 较易满足要求,采用一般的16bit A/D变换的方法即可。而相位差的检测则是技术难点,本装置对相位的测量是通过锁相环电路将电网频率信号倍频,用该倍频信号作为计数器的时钟信号。每次电 压过零时,计数器重新开始计数。通过读取TV二次线路两端计数值并计算差值从而得出相位差。其结构图如图2所示。计数器时钟信号由锁相倍频电路产生,电压 过零检测产生的信号经过整形后作为计数器的开始计数信号,GPS的100PPS脉冲在单片机控制信号的作用下对计数器当前值进行锁存,每个周期的相位采样 数据(从锁存器读)、GPS接收机1PPS信号以及它的时钟标签同时被送至单片机进行处理。
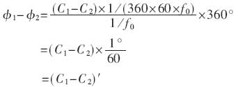
由于电压互感器二次线路压降补偿装置的设计方案要求相差测量精度为±1,,因此将电网频率360×60倍频,计数器记录倍频后的脉冲信号就可满足相位差测量精度的要求。由此可得计算相位差的公式为:

其中,C1、C2为两端计数器的读数,f0为电网频率。由上式可知,两端计数差值就是两端的相位差。
显然,这种方法所得的结果与电网频率无关,也不必靠高稳定度的高频恒温晶振获取纳秒级时标。得到的相位值不会受到电网频率波动的影响,得出的数据准确度高,而且采用的器件对环境适应能力强,有较高的性价比,非常适合在各种工业环境下推广使用。
3 GPS测量电压向量的工作程序
GPS接收机至少提供两种形式的时间信号,即1PPS(每秒输出1个脉冲)信号和串口时间代码。1PPS的脉冲时间与世界协调时间(Universal Coordinated Time,缩写为UCT)的秒的同步误差不超过1μs;串口信息在1PPS脉冲之间给出,其中包括的时间信息用来说明前一个1PPS脉冲对应的UCT时间 (年、月、日、时、分、秒)。许多接收机产品还能提供100PPS(每秒输出100个脉冲)信号,其时钟精度可达纳秒级。在本装置中采用这三种信号同步测 量电压向量。
本装置可以对每一周期的相差进行采集。为了方便计算,方案采用主从机预约时间每次采样1秒或几秒的方式测量电压向量 (本文以采样1秒为例进行说明)。参见图2,主从机预约时间以GPS的1PPS信号为准,单片机控制与门的开关,从而对计数器采样1秒钟(同时也对电压幅 值采样1秒钟)。在单片机输出高电平的1秒钟内,100PPS信号作用于锁存器,同时单片机内部对每一个100PPS脉冲信号进行中断处理,读取计数器的 锁存器锁存的值及电压幅值,送入内存中依次排列起来。等待1秒钟后,从机将采样的数据发送到主机,主机再依次对数据进行计算处理,得出这1秒钟内的二次压 降值及其补偿值,分别送到上位机和补偿模块。

图3为采样子程序流程图。当单片机主程序调用它时,子程序首先读取主从机预约的采样起始时间,在约定起始时间到来时打开与门(单片机输出高电平),同时 打开100PPS的中断响应,开始等待下一秒钟GPS的1PPS脉冲信号。其间,系统每个周期采样一次电压幅值和计数器值。在下一秒钟的1PPS脉冲到来 时,禁止响应100PPS中断,关闭与门(单片机输出低电平),返回主程(接上页)序。在不需要采样的时段里,单片机一直输出低电平。其中,Ti是主从机 预约的第i个电压向量采集时间。


图4为GPS信号及电网信号的时序图。由于电网频率是变化的,电压过零脉冲相对GPS的100PPS时钟的位置也是随机变化的,如图5 所示。在计算相位差δ时,当100PPS脉冲发生在δ之外,就是前面已经介绍过的(如图4所示),此时|ΔC|<15°,δ=C1-C2。当 100PPS脉冲发生在δ之间需要注意以下情况(相位差值正常情况下不会大于15°):
第一种情况,首端电压相位超前,此时ΔC<-15°,δ=φ1+φ2=C1-C2+360°;
第二种情况,末端电压相位超前,此时ΔC>15°,δ=-(φ1+φ2)=C1-C2-360°。
综合上述三种情况,相位差为:

式中,ΔC=C1-C2。
本文在过去工作的基础上,对基于GPS的电压向量测量进行了改进,得出了一种适应性更广、精确度更高的测量方法,并在电压互感器二次线路压降补偿中进行了初步应用。该方法保证了电压测量具有方便、实时、功耗低、性价比高的特点。
参考文献
1 张守信. GPS卫星测量定位理论与应用.长沙:国防科技大学出版社,1996
2 高厚磊.利用故障分量瞬时值的电流纵差保护新判据.电力系统自动化,2000;24(16)
3 徐植坚.电压互感器二次线路压降载波式自动跟踪补偿装置.湖南省电机工程学会学术交流会议论文集,1999;3(1)
上一篇:基于PXI的便携式测控系统
下一篇:远程测控中嵌入式Web服务器的FPGA实现


