- 易迪拓培训,专注于微波、射频、天线设计工程师的培养
分贝表
录入:edatop.com 点击:
本文所示分贝表电路根据电压给出两个功率的增益。它由LM324的两个对数放大器A1、A2组成(图1)。
A1和A2放大器输出到差分放大器A3。A3输出到非倒相增益放大器A4。用正温度系数热敏电阻和电阻来调节A4的增益,从A4输出得到两个功率的增益。
热敏电阻补偿发射极饱和电流随温度的变化。取0dB做为0.77V,等于在600降缱杵髦?mW功耗。电压Vref是A2放大器的输入。A1放大器的输入为V1。

图1 分贝表电路
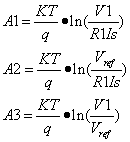
计算
放大器输出为:

其中:K为波尔兹曼常数;q为电荷,T为绝对温度鸎,KT;Is为发射饱和电流,10-13A;值在室温300oK为0.026V。
因此,R1×Is=12K10-13A
实际值
A1输出为-0.52V(Vref为0.77V);
放大器A2输出为0.51V;
差分放大器A3输出为0.01V;
放大器A4输出为3.5V(等于数字表示的功率增益)。
计算A4的输出:
VI(1+Rf/Rt)=0.01(1+26.7k/80V=2.348V
用常数20×0.4343/0.026=334调节放大器A4的增益。
用下面关系式得到常数:
功率(dB)=10log10(P2/P1)
功率(dB)=20log10(V1/P1)(根据与阻抗匹配的电压)。
log10x=0.4343lnx
在温度300o K下 KT/q值为0.026V。
用1片LM324构建dB表。电路成本很便宜。■


