- 易迪拓培训,专注于微波、射频、天线设计工程师的培养
由DAC谐波频谱成分重构其传递函数
录入:edatop.com 点击:
请注意,实际的时间范围T无关紧要,因为f(x)仅在g(t)和u(t)二者的幅值之间起转换作用。为简化分析,将基波频率(f0)归一化为1。因此,2次谐波的频率为2,3次谐波的频率为3,如此类推。所以,谐波频率与谐波数(h)相等:fh=h。这一便捷关系可简化从谐波测量结果Mh创建u(t)的数学计算。
正弦波的一般时域表达式为:

其中β为峰值振幅,θ为初始相位偏移。
用h代替f,并用Mh代替β,可以获得各谐波uh(t)的时域表达式。不过应记住,g(t)偏移3π/2弧度。此外,g(t)与u(t)之间通过f(x)关联意味着g(t)和u(t)在相位上是对准的。用3π/2代替θ可提供所需的对准。下式中,请注意0 ≤t < 1且π取代了2π,目的是将基波限制在范围T所表示的半个周期:

利用各谐波uh(t)的时域表达式,便可以重构复合输出u(t),表示为基波和谐波信号的和:

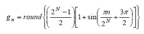
如前所述,我们的目标是将g(t)与u(t)相关以重构DAC传递函数f(x)。此外,g(t)必须恰好由2N个样本组成,以便与f(x)上的点一一对应。因此,g(t)的样本计算公式为:

(n=0,1,2,3 .. 2N–1)
上一篇:频谱分析仪的频率分辨力和测试灵敏度
下一篇:采用扩展频谱方法减少EMI问题


