- 易迪拓培训,专注于微波、射频、天线设计工程师的培养
天线参量测量
天线参量是描述天线特征的量,可用实验的方法测定。天线参量的测量(简称为天线测量)是设计天线和调整天线的重要手段。因为天线的特征是多方面的,所以一个天线有很多个参量(见天线特性参量、天线方向性、天线阻抗)。在这些参量中,大多数情况下要着重测量的是方向图、输入阻抗和增益。
天线方向图的测量 图1是测量通过天线相位中心各平面内的方向图的方案之一。图中天线1为被测天线,与信号发生器相连用作发射,它装在旋转平台上能作360°转动;天线2为辅助天线,它与电场强度计相连以便测得离被测天线一定距离处的场强。两天线的极化特性要求相同,为了近似满足远场条件,两天线间的距离应满足
,式中
λ
为测试工作波长;
r
和
D
的意义见图1。当转动被测天线1时,可在天线2处测得以转动角
θ
表示的函数的电场强度
E
(
θ
),于是就可画出转动平面内的天线 1的方向图。若被测天线为半波天线,它的子午面内的方向图如图2a,当把天线转动90°使之垂直于转动平面时,可测得赤道面内的方向图(图2b)。若把天线任意倾斜安装,则可测得任意面内的方向图。此外,也可固定被测天线1,而把辅助天线2沿以被测天线为中心,距离
r
为半径的圆周运动,同样可以测得天线的方向图。若把收发条件互换,即把被测天线用作接收,辅助天线用作发射,最终测得的天线方向图并无变化,这是符合天线互易定理的。




天线输入阻抗的测量 天线输入阻抗是从天线的输入端向天线看去的阻抗,从原则上说,所有测量阻抗的方法都可以用来测量天线的输入阻抗。但实际上,常用的方法是电桥法和测量线法。前者常用于短波以下,后者常用于超短波以上的天线。
天线输入阻抗的电桥法测量如图3。图中的信号发生器产生所需频率的电压,把它加到电桥的一个对角线上,在另一对角线上接高频微伏电压表作平衡指示器。电桥由四个阻抗构成,其中
Z
1和
Z
2为固定阻抗,
Z
3为可变阻抗,
Z
x
为被测天线的输入阻抗,即把天线的输入端作为电桥的一个臂。调节可变阻抗使平衡指示器的读数为零,表示电桥已达到平衡,根据电桥平衡条件就可计算出



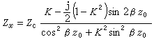
可以按照图4用测量线法测量天线的输入阻抗。图中的测量线是一段(长度应大于半波长)带有可移动场强指示器的传输线,测量线的一端连接信号发生器,发生器调到所需的频率,测量线的另一端连接被测天线。通过测量沿测量线上的电压(电场)分布(图4),就可以用下式算出被测天线的输入阻抗 Z x

式中
Z
C为测量线的特性阻抗;
K
为行波系统,
,
λ
为工作波长;
z
0为第一个电压波节至被测阻抗连接点的距离。


用测量线法测阻抗时,根据测得的数据计算待测阻抗值是一件费时的工作,尤其由于天线的输入阻抗是随工作频率而变化的,所以当需要在众多的频率点上测量天线的输入阻抗时,工作量将大为增加。但若用圆图来计算待测阻抗或用自动扫频阻抗测量仪,则可大大减少测量天线输入阻抗的工作量。
天线增益系数的测量 天线增益系数的测量常用绝对法和比较法。可按图5用绝对法测天线的增益系数。首先用功率计和场强计分别测出待测天线的输入功率和足够远距离
r
处的电场强度,然后用下式求得该天线的增益系数:


或

式中
E
为距离
r
处最大辐射方向的电场强度;
P
为输入功率。
可按图6用比较法测天线的增益系数。信号发生器的输出经匹配器先接到被测天线,此时场强计在距离
r
处测得电场强度为
E
1;然后用已知增益为
G
′倍的标准天线替换被测天线,并重新调整匹配,由场强计测得电场强度为
E
2。再用下式即可算出被测天线的增益系数
G
:

或



模拟测量 在实验室内进行天线参量的测量时要求被测天线有一个“合适”的尺寸。实用天线的尺寸大小悬殊,大的达几百米以上,而小的只有几个毫米。为便于测量,可在适当频率上测量缩小或放大了的模型。此时需要先设计好模型天线,使它的参量和实际天线的相同。这就是天线的模拟测量。
在自由空间条件下,制作线度因子为
K
d的模型天线(即模型天线的尺寸等于实际天线的尺寸除以
K
d),在测量时应满足下列条件:工作频率
f
2=
K
d·
f
1,模型天线的电导率
σ
2=
K
d·
σ
1,此处
f
1和
σ
1表示实际天线的工作频率和电导率。
在实际天线的模拟测量中,往往只能满足上述第一个条件,而满足不了第二个条件,但这对于大多数高效率的天线,不会引入太大的误差。
近场测量 对于射电天文、雷达设备等应用的大口径天线,测量时很难满足所需的最小距离。如天线口径 100米,工作波长10厘米,测试距离
,这样大的测试场地事实上是无法办到的。还由于地球表面曲率的影响,为使电磁波不为球形地球表面所遮挡,收发天线的高度也将达到不现实的程度。对这样的大天线,其参量的测量通常有两种方法,即利用射电星的测量技术和近场测量技术。
射电星测量技术就是利用辐射稳定的射电星作为发射源,被测天线用于接收。这样就可保证收发间距离远大于最小测试距离。
近场测量技术是在天线附近(距天线表面仅几个焦距的距离范围内)测量远区的天线参量。近场测量技术包括缩距法、聚焦法和外推解析法。
① 缩距法:利用特定的信号发射天线,使收发天线之间的距离减少后,仍能保证发射天线在接收天线口径处产生如同远距离时一样的平面波。一般的发射天线在其附近产生的是球面波。为把球面波校正为平面波,可用附加的透镜或抛物面反射器等。
② 聚焦法:调整被测天线,使如抛物面反射器天线、透镜天线、相控阵天线等有聚焦特性的天线,原来对无穷远处的聚焦改变为聚焦于近场区(几个焦距或几十个波长的距离内),然后在焦区测取其方向图。使天线聚焦于近场区的方法是:对抛物面反射器天线可把馈源从焦点沿轴外移一小段距离;对透镜天线可把馈源安装在一个焦距到两个焦距的范围内;对相控阵天线则可通过适当调整其移相器而达到。
③ 外推解析法:先测得天线口径上的场分布或天线导体表面上的电流分布,然后用解析的方法算出远区场分布,即天线的远区方向图。
微波暗室 在普通实验室内进行天线参量的测量时,周围环境使电磁波产生反射、散射和绕射等现象,这些反射、散射和绕射场对测量场的“干扰”导致测量精度的下降,这对方向图的零值深度和副瓣等微弱场的测量,影响尤为严重。建立微波暗室可以解决这个问题。微波暗室就是周围安装微波吸收材料的实验室。暗室不但用于天线测量,还可用于目标散射场和绕射场等弱场强的测量。使用暗室除能减弱干扰场因而提高测量精度外,还能保证有一个保密的、全天候的测量环境。从1953年建立第一个微波暗室以来,暗室的技术指标已有很大的改进。
起初,暗室采用平板型吸收材料,这种材料的吸收频带较窄。现代宽带微波暗室大多使用锥形或楔形吸收材料。一个设计良好的微波暗室,在测量区内的干扰场可以做到-40分贝以下。


