- 易迪拓培训,专注于微波、射频、天线设计工程师的培养
数字电视MER及星座 剖析
随着数字电视的发展,人们越来越重视数字电视的质量问题,数字电视质量的好坏首先是数字电视信号的质量,因此数字电视信号的分析、测试非常重要,本文重点对数字电视信号的MER及星座图剖析。
无论是模拟电视信号或者数字电视信号,它在产生和传输过程中都会受到失真、噪声、干扰等影响,不可能是非常理想的电视信号,这就要求我们对电视信号进行测量、分析。
在模拟电视信号中,这些失真、噪声、干扰会直接影响电视的图像或伴音。如噪声会使电视图像产生雪花,甚至不能收看节目;电源的交流会使图像滚动;二次差拍失真、三次差拍失真会使图像产生垂直、倾斜或水平波纹等等。因此我们将这些影响电视质量的因素,进行必要的测试,并分别规定相应的参数、限定在某一个数值上,进行测试。即有载噪比(C/N)、亨声、二次差拍失真(CSO)、三次差拍失真(CTB)等等测量参数。对于数字电视信号来说,由于它是将电视信号变成数字信号,在传输过程中是编码的脉冲信号。那么上述的噪声、电源干扰、失真(CSO、CTB等)都不直接影响电视信号的图像,但当它们达到足够大的电平的时侯,会造成误码,使图像有马赛克或"断线"收不到图像。此外数字电视信号对相位噪声较为敏感,而模拟电视几乎不考虑这一因素。
还得说明的是突发干扰信号,它的特点是信号幅度大,持速时间很短暂,就是一般仪器来观察它都非常困难,这对于模拟电视来说虽然它有影响,但由于人的视觉的迟钝,很难观察出来,而对于数字电视信号来说,它便易于产生误码。我们常把它称之为突发噪声,这对数字电视影响非常大,必须严格测试。
上述的这些影响电视信号质量的信号,对于数字电视信号来说它是有害的,我们称它为无用信号,或者把它们都看成噪声信号来处理,笔者建议称之为广义噪声。
数字电视目前用得最多的是DVB标准,为分析方便起见,我们以DVB-C标准的有线数字电视信号为例。DVB-C采用如图1所示的QAM调制方式,当已经过编码、压缩、复用的数字信号流,经过串/并重组方框将数字信号流分成I和Q两组,分别经过量化,达到不同的直流电平阶梯,再经滤波,I、Q两路信号经同一本振混频,但相位相差90°(Q路是Smωt, I路是Cosωt),两路再经混合器合成一个信号发射、传输。由此我们知道、两路数字信号I、Q相位差90°,而量化后的I路信号电平幅度按量化等级,在I轴方向有数个相应的位置,如量化8个等级则有8个位置,Q路也是如此。这样一来,每一个数字电视信号会在一个坐标图上都有它相应的位置,这就是图2所示的星座图。如I、Q各组量化4个等级,则有4×4=16个框的星座,量化8个等级则为64框的星座图。

图1 QAM调制器

图2 星座图


图3性能良好的星座图 图4具有噪声的星座图
数字电视信号的每一个信号(称之为符号),在星座图上都有一个相应的位置,如果这个符号是理想的,那么在其方框内是一个小点,方框线即为相邻符号的分界限,也称之为"判断门限"。数字电视信号总是伴随着广义噪声而存在,那么,它每时每刻都是叠加有噪声,因此方框中的符号不可能在其理想的框的中心,当我们用仪器测试,如果是白噪声的话,它每次的位置是不一样,但都是分布在中心的位置附近,每次都取样下来,则形成如云雾状的园点,如图3所示,是噪声较小,性能良好的星座如图。当有一个突发入侵的脉冲信号,虽然它时间很短很短,但其幅度较大,因此使得该点的符号偏离中心很大,甚至跨过了"判断门限"到了邻近的符号框内,这就造成了误码。一般来说这种概率是很少的,更多的情况是由于广义噪声的影响,它的位置在中心附近分布,如图4所示。
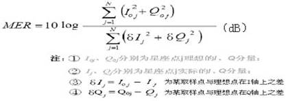
具有广义噪声的星座图如图5所示,我们在一个相当长的时间内进行测试,并按它的位置取样,当某一次符号点的位置与理想符号位置,在星座图的I、Q坐标分别为δI和δQ,而且取样次数为j,即1~N次。那么我们可以得出如下公式,这就是调制误差率MER。

图5广义噪声干扰的星座图

由此可知,调制误差率MER是数字电视信号的理想符号功率与噪声功率之比取对数。其单位是dB。
关于调制误差率MER,有以下问题值得讨论。
1.所谓调制误差率MER是以数学模型来表征数字电视信号的噪声状态,而星座图是以图形来表征数字电视信号的噪声状态,两者是一致的,只是描述方式不同而以。有人称MER是与调制器有关的参数,那是不对的。当然,调制器也会产生噪声,如I、Q两路电平不平衡,相位不是严格的正交相差90°等,在我们看来它只是广义噪声中的一部分,MER更重的还是关于广义噪声。
2.MER不是调制误码率,是调制误差率。因为它是表征数字电视信号尚未误码时的噪声状态,即符号位置还在自己相应的框内,虽然有偏移,甚至较大,但尚未跨出框外,此时并未误码,它可以是处于亚误码状态。表征误码状态的是误码率BER,而误码率是误码的次数与码流传输的总数之比,即是说它是表征数字电视信号误码的概率。
4、解读星座图
如上所述,星座图主要反映数字信号在尚未误码时的噪声状态。在每一个瞬间,信号在方框内都有一个相应的位置,由于广义噪声影响,它会成为一个离散的小云团,由于噪声的性质不一样,其的形状就有区别,因此我们在星座图测试时可以根据星座图的形状分析判断数字电视系统的噪声特征和来源。


图6连续噪声干扰的星座图 图7相位噪声干扰的星座图


图8压缩失真的星座图 图9 有入侵信号的星座图
图3是性能良好的星座图。即它的MER大于32dB,各种噪声干扰都较小,是以白噪声为主。
图4是具有噪声的星座图。它的噪声较大,在框内比较离散。
图5 广义噪声的干扰。由于这种噪声是随机的,经多次取样,它在星座图方框内形成小园形。
图6为连续噪声干扰。这主要来源于系统内的调制产物,外面的强烈干扰,如计算机,广播发射信号等,这些干扰信号是连续的,它使得星座图的每个点成中心空的小园圈图形,严重者形成一个个小园环。
图7为相位噪声干扰。相位噪声是表征一段时间内信号其相位不稳定情况。如振荡器是关于信号处理(如本地震荡器),这些相位不稳定会影响在信号上,信号处理设备内的振荡器在设计上是只会对处理的信号增加非常微小的相位噪声,然而不良的调制器或处理器可能增加非可观的相位噪声在信号上。这时,我们可以看到一个围绕中心旋转的星座图。
图8为压缩失真引入的噪声干扰。由于发射系统,传输设备的放大器,其信号幅度过大而饱和,造成非线性失真,则形成如图8所示的四个角落被扭曲,四边形成弓形,而不是正常的四方形状。
图9为有入侵信号的星座图。一般来说,上述广义噪声它的图形大都集中在中心附近,由于某一瞬间有入侵信号,它会较远离中心,如图9小园图,入侵信号偏离中心较远,也可能跳出本框,那就产生误码了。
图10是I、Q两路电平不平衡的星座图,这与QAM调制器有关。
图11是信号相位错误引起的星座图错位,引起误码。


图10 I Q电平不平衡星座图 图11 信号相位错误星座图从上述可知,由于不同噪声使得星座图形状产生不同变化,那么我可以利用星座图来监测数字电视信号系统噪声特征和来源。数字电视的工程师,可以根据自己的系统所测得的星座图,找出它的规律,去判别噪声,排除隐患。可以这样说,星座图是鉴别数字电视信号质量好坏,寻找噪声来源,排除故障非常好的工具。
5、调制误差率MER的测试
5.1、数字电视对MER的要求
MER是反映数字电视信号受广义噪声干扰状态的参数,在运行中我们应给定一个具体的指标。对于DVB-C 64QAM信号来说,为了保证正常工作,理论上要求MER大于23dB, 考虑到测试误差,设备老化等因素,故工程上要求MER大于27 dB。对于256QAM来说,理论上要求大于28 dB,工程上要求大于31 dB。我们在多个数字电视网络中用德国宝马PRK4CP测试,对64QAM来说,23~24dB会出现马赛克,23dB以下随时断线,甚至无法收看,在25dB以上图像就正常。对于一个测量标准来说,还应考虑到测试仪器精度,系统长期老化等因素,一般应增加3dB。
广电部专在"关于广电有线电视城域宽带网络建设的意见"中,根据IEC60728-1-2000国际标准,对数字电视64QAM的MER应大于30dB。那么256QAM应大于34dB。看来这个要求是很有必要的,对于数字前端来说,MER应比用户端高,一般应在38dB以上。
5.2、MER测试的动态范围
如前所示,MER是信号的理想功率与广义噪声功率之比取对数。那么作为仪器就必须分别测量它的信号(符号)功率和噪声功率,这就要求仪器有大的动态范围和高的灵敏度,因此一般仪器都要要求信号平均功率电平在50dBμV以上进行测试,然而对仪器来说最重要的是对广义噪声功率测试。一般监测用的数字电视分析仪它们的测量范围在20~120dBμV,也就是说它们测量小信号的能力为20dBμV,这时仪器的噪声电平大约在15dBμV。因此这些仪器的MER测试范围在20~35dB,主要限制在上限值,最大38dB,如下表所示。对于各厂家来说,其表述方法不完全一致,如德国宝马仪器,指标都给的保守,为了保证±2dB误差,它只标注MER在35dB,其实它也可以测量到37dB。南韩泰勒曼(Telemann)他给定MER范围22~38dB,±2dB,但他给出最大测量范围10~40dB,这也就是说可以测到40dB,但不保证误差,它能达到38dB是因为它能测试到小信号15dBμV。因此说一般数字电视分析仪MER最大测量值在38dB以内,如果说,仪器的测量范围的下限是30dBμV(即30μV),它的MER最大值不可能达到38dB,用户不应过分地去追求厂家说的指标。
美国胜利公司的AT2500数字电视分析仪,它给定MER为22~40dB,±1dB,这是可信的,因为它的灵敏度很高,为0.3μV,它能保证小信号的测量精度,也就保证了噪声测量精度。
| PRK4CP/3CP | PRD5 | PRX10p | TM1720 | AT801N | 860DSP | 4040D | AT2500 |
电平测量范围 |
20~120 |
20~120 |
20~120 |
15~120 |
20~120 |
20~110 |
20~120 |
0.5~125 |
MER测量范围(dB) |
22~35 |
22~35 |
22~35 | 22~38 |
22~38 |
22~37 |
22~35 |
22~40 |
MER测量精度(dB) |
±2dB |
±2dB |
±2dB |
±2dB |
±2dB |
±2dB |
±1.5dB |
±1dB |
6、数字电视测试仪器
这里所讲的数字电视测试仪器是以射频传输测量为目标,一般称为数字电视分析仪,它的目标不仅对数字电视信号参数进行测量,而且应该对模拟传输系统进行测量,特别是数字有线电视,由于传输系统从前端到电缆传输,光收光发、放大器、分支器等它们引起的噪声、失真、泄漏、入侵,都会影响数字电视信号,故对数字有线电视来讲, 系统的载噪比(C/N)和失真指标CSO、CTB测试非常重要。因此,数字电视仪器不仅应具有数字电视参数测试功能,还应有模拟数字电视测试功能。
对于数字电视分析仪的数字参数来说,有数字平均功率电平,误码率BER、调制误差率MER、星座图、矢量误差率EVM、相位抖动、群延时特性等等。一般来说测量前四个参数即可,即平均功率电平、BER、MER、星座图。EVM可以直接从MER计算出来,故只测MER即可。
关于平均功率电平,这是最重要,最基本的测试。它一定是要引入每赫功率概念的测量方法,不能以模拟电平方法来测量,那样误差太大。
MER和星座图是表征数字电视的相同特性,可以只要MER,但只能从定量来说明数字电视信号质量,这样仪器会便宜些,如果有星座图测量,对查找噪声特征和来源,寻找系统故障非常方便。
误码率它是直接反映数字电视信号误码的参数,不言而喻是非常重要的指标,误码率BER有纠错前和纠错后两项,一般来说测纠错前BER更为重要。
本文是笔者从测量的角度来分析数字电视信号的质量,从而提出了广义噪声的概念,对调制误差率MER和星座图进行较详细的剖析,阐明了它们之间的关系并对其测量和仪器作了阐述。有些概念是作者从测量的角度和实际测试中得出的,由于篇幅有限,不可能在此详述,仅供参阅本文的同仁参考,也希望与作者联系共同探讨。
上一篇:对基站天馈线系统进行测试的方法
下一篇:电视信号场强测量及空中管理


