- 易迪拓培训,专注于微波、射频、天线设计工程师的培养
关于提高固定站测向精度的探讨
0 前言
随着科技的不断发展,VHF/UHF频段固定测向站在测试场地测得的测向精度越来越高。但在实际的环境中,其测向精度并没有指标显示得那么高。尤其在城市环境中,楼宇等高层建筑较多,无线电应用繁多,无线电干扰和多次电波反射对测向精度影响很大。
如何才能更好地发挥固定测向站的测向能力,获得更高的测向质量呢?本文提出利用修正方法提高系统测向精度的设想,并且在实验中得到了验证。使用测向机对发射源进行测向,用测向的结果来修正系统的测向值,从而提高测向站的测向精度。
1 测向误差分析
测向精度采用测向误差的均方值表示,我们首先分析测向误差的构成,然后介绍具体验证方法。
一般地,测向的误差主要有:设备误差、场地误差和传播误差。
(1)设备误差:来自于测向机的设计,属于系统误差。
(2)场地误差:由测向机附近地形结构的不规则性造成。这种误差随方向和频率的变化而变化,因此可视为可变误差。
(3)传播误差:由电波传播的不规则性引起。传播的不规则性会导致传播方向偏离发射点和接收点之间的大圆弧方向。
从三类误差的性质,我们可以看出设备误差是系统固有的,受设备本身性能限制。传播误差与发射点位置有关,由于一般被测发射台的位置是未知的,传播误差也是难以预计的。场地误差则是由测向机附近地形结构的不规则性造成的。
那么,能否在测向中减小场地误差呢?场地误差随方向和无线电频率的变化而变化,系统出厂时在标准场地进行过校准。这种校准可以将频率对误差的影响减小,而测向机场地误差与方向有关的部分却没有被考虑。实际应用中尽管测向机附近地形结构不规则,但在一定的时间内并没有较大的变化。因此,我们可以对一定量的、设置在不同地点的发射源进行测向,用测向的结果和实际的方位来确定测向误差,以此来估算未知发射源的测向误差,校正测向结果。这种修正将地形对系统测向精度的影响进一步减小,可以使测向精度得到改善。
2 精度修正的具体方法
首先对我们设置的发射源进行测向,确定测向方位角xk,在电子地图上确定发射点的准确位置,以固定站与发射点的连线作为真实方位xk*。测向方位角与真实方位的差值yk=xk-xk*即为在这一测向方位上的测向误差值。
改变发射源的位置,分别进行测向并计算测向误差。采用插值方法得出方位角x与测向误差y的关系函数。在实际测向中,用测得的未知台站的方位角减去该方位上的测向误差y进行修正,得出修正后的方位角,以提高测向精度。
为了检验该设想的可行性,我们在位于西安市北郊的某测向站进行了实验,并选择该测向站指向城区的方位(方位角98度~166度之间)进行实验。为了减小频率因素对结果的影响,所设信号源的工作频率选择在404MHz频段。在不同方位的高楼上设置发射源,以减小发射点的地形对测向结果的影响,并且所有的信号源都设置在该测向站的2公里以外。为了使测向结果具有较好的一致性和足够的信噪比,发射功率设为25W,信号源与测向站之间没有障碍。具体测向数据见表1。
表1 实测数据信息

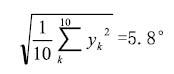
计算表1中测向方位角的均方误差为:
。
我们将方位误差y随测向方位x变化的函数称为修正函数,表1中xk值和所对应的yk值构成了x与y的一个列表函数,每一个xk值和所对应的yk值称为修正函数的一个结点。根据列表函数中各结点的数值,计算出每一点上的函数值,即进行插值计算。
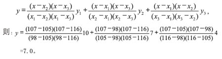
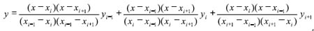
在此次实验中,我们采用了分段抛物插值法,计算出修正函数在x方位点的修正数值y:
(1)
设插值点位于结点xk-1和xk之间。这时为了确定另外一个插值结点,需要进一步判断x究竟偏向区间(xk-1,xk)的哪一侧,当x靠近xk-1,即|x-xk-1|≤|x-xk|时,我们补选xk-2为另外一个插值结点,令i=k-1。反之,当x靠近xk时,即|x-xk-1|>|x-xk|时,我们补选xk+1为另外一个插值结点,令i=k。
例如:对处在实际方位100°的某已知信号进行测向,测得该信号在方位角x=107°,为了确定该点的修正值y,需要进行插值计算。该点x=107处于结点x2=105与x3=116之间,需要确定另外一个插值结点。由于|x-x2|<|x-x3|,所以在插值计算时取x1为插值结点。即i=2。此时根据公式(1)

输出的测向方位为x-y=107-7=100°。可见,通过修正使输出的结果更加准确。
3 对修正效果的评估
究竟修正后的测向精度提高了多少呢?我们对一些已知位置的台站进行测向以检验修正的结果。用插值方法计算出在某一测向方位上的修正值,并分别计算台站测向数据在修正前后的均方误差,即可评估修正的效果。实验中修正前后的误差对比见表2。
表2 修正前后误差信息

在进行修正前该组数据的均方误差为5.8°,修正后均方误差为3.2°,这表示修正后测向精度有了明显提高。
上一篇:基于NGN网络语音质量测量的探讨
下一篇:通信机房开关电源谐波测试分析报告


