- 易迪拓培训,专注于微波、射频、天线设计工程师的培养
如何使用超外差式频谱分析仪对TDMA脉冲信号进行准确的频谱测
0 前言
TDMA时分多址技术即Time Division Multiple Access,是通信技术中基本的多址技术之一,在当前许多的移动通信系统如GSM、PHS(小灵通)、卫星通信、光纤通信、数字集群(TETRA、iDEN),以及未来的数字对讲机系统中被广泛采用。时分多址的原理是将时间分割成周期性的帧(Frame),每一帧由若干个时隙(slot)组成,各时隙均可以作为承载业务的信道供移动终端使用。当进行信号传输时,各移动终端在各自对应的时隙上向基站发送脉冲信号。在满足定时和同步的条件下,基站可以分别在各时隙中接收到来自各移动终端的脉冲信号而不混淆。同时,基站发向各个移动终端的脉冲信号都会按顺序安排在指定的时隙中传输,各移动终端只要在指定的时隙内接收,就能够在混合的信号中把基站发给它的脉冲信号加以区分并接收下来。
与FDMA(频分多址)相比,TDMA具有通信质量高、保密较好、系统容量较大等优点,但它必须要求精确的定时和同步以保证移动终端和基站间的正常通信,技术上比较复杂。这一特点也决定了对于TDMA信号的测量与传统的模拟调制连续波信号有很大差别。如何运用常用的测量仪表对TDMA信号进行准确测量,对于TDMA技术的研发人员、检测人员来说是必须掌握的技术。
本文旨在介绍利用检测领域常见的超外差式频谱分析仪,对TDMA信号在频域进行准确的测量。并以实际的PHS信号为例,详细介绍整个测量过程以及测量原理。
1 利用超外差式频谱分析仪对TDMA信号进行常规扫描测试
1.1 利用超外差式频谱分析仪对PHS信号测量的理论结果
以PHS信号为例,我们首先利用超外差式频谱分析仪在正常的扫描模式下,测量PHS信号。
用信号发生器产生一个标准的PHS脉冲信号,如图1所示。并将其送入超外差式频谱分析仪,信号发生器与频谱分析仪间的连接方式如图2所示。

图1 由信号发生器产生的标准TDMA脉冲信号(以PHS信号为例)

图2 信号发生器与频谱分析仪间的连接方法
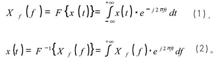
所测量的PHS脉冲信号为pi/4-DQPSK方式调制、有用信息部分由伪随机比特(PN9或PN15)填充的脉冲信号组成,在时域上该信号为非周期性信号。根据傅立叶变换公式,经计算得出它的对应频域信号为连续谱。傅立叶变换公式如式(1)、式(2)所示:

其中:F{x(t)}为x(t)的傅立叶变换;
F-1{Xf(f)}为Xf(f)的傅立叶反变换;
x(t)为时域信号,
Xf(f)为频域中的复信号。
由此分析,利用频谱分析仪在频域对该信号进行测量,我们应当可以获得其在频域下的连续频谱。
1.2 利用超外差式频谱分析仪对PHS信号测量的实际结果
但是当使用超外差式频谱分析仪,用30kHz的分辨率带宽,在1MHz频率跨度范围内,用正常的扫描方式对输入的PHS脉冲信号进行测量时,所获得的频谱并非我们理论上所分析出的连续频谱,而是频谱分量不完整、类似离散特性的频域信号,如图3所示。

图3 采用正常扫描方式得到的TDMA脉冲信号频谱图
显然,实际的测量结果与理论上分析出的信号频域特性完全不一致,为什么会出现这种偏离呢?
1.3 超外差式频谱分析仪的工作原理
其实造成这种现象的原因与超外差式频谱分析仪的工作原理有关。

图4 典型超外差式频谱分析仪的工作原理
图4所示为超外差式频谱分析仪的基本工作原理。信号进入频谱分析仪后,与频谱分析仪的本地振荡器产生的本振信号一起进入最前端的第一级混频器,之后通过第一级中频滤波器。紧接着被变频至第一中频的信号又先后进入第二级混频器和第二级中频滤波器。然后信号进入第三级混频电路,继而通过末级中频滤波器(即频谱分析仪的分辨率带宽RBW)。最后信号被送入包络检波器、视频滤波器,直至显示器输出。
超外差式频谱分析仪之所以能够对频率很高的信号进行测量,主要原因就是对高频信号进行了多级变频,然后用窄分辨率带宽在较低频率进行准确测量。因而,利用超外差式频谱分析仪我们可以实现对高达几十吉赫兹信号的准确测量。
但是任何事物均具有两面性,也正是超外差式频谱分析仪的这一优点造成了它在另外一个方面——实时性方面存在一定劣势。在对一定宽度频率范围的信号进行测量时,超外差式频谱分析仪必须以一定的步进变化来不断调谐扫描,通过利用窄带滤波器的多次充放电实现对一定宽度范围内的信号频谱测量。由此可见,在对一定宽度范围的信号进行频域测量时,超外差式频谱分析仪需要一定的扫描时间来完成一次扫描。
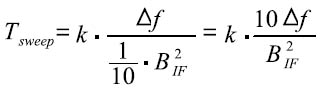
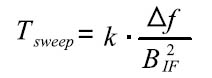
频谱分析仪的扫描时间Tsweep与扫描宽度Δf、分辨率带宽BIF的函数关系如式(3)所示:
(3)。
其中:Tsweep为给定频率跨度与分辨率带宽下所需的最小扫描时间,单位为s;
BIF为分辨率带宽,单位为Hz;
Δf为显示频率跨度,单位为Hz;
k为比例系数。
由此可知,最小扫描时间与显示频率跨度成正比,与分辨率带宽的平方成反比。当扫描宽度越宽、分辨率带宽越小,超外差式频谱分析仪所需的扫描时间就越长,也就是说它的实时性越差。
公式(3)中的k是一个针对不同滤波器类型的修正系数,当采用模拟滤波器时,k约为2.5;采用数字滤波器时,修正系数可达到k=1。可见在其他条件均固定的情况下,采用比例系数为1的数字滤波器时,最小扫描时间为采用模拟滤波器时的1/2.5倍。通常情况下,目前的超外差式频谱分析仪中小于200kHz的分辨率带宽均采用数字滤波器来实现,k值可以取为1。
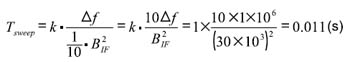
在计算实际最小扫描时间时,还有一个必须考虑的因素是超外差式频谱分析仪本振频率调谐步进对扫描时间的影响。目前的超外差式频谱分析仪的本振采用了数字锁相环技术,本振的调谐步进为频谱分析仪分辨率带宽的十分之一,即RBW/10。所以实际的最小扫描时间应当按照公式(4)计算:
(4)。
现在我们根据前面测试(正常扫描方式下)的设置,计算超外差式频谱分析仪用30kHz的分辨率带宽,在1MHz频率跨度范围内对PHS信号进行扫描,所需的最小扫描时间是多少,如式(5)所示。
(5)。
由计算结果可知,用30kHz的分辨率带宽,在1MHz的频率跨度内进行扫描所需要的最小扫描时间为0.011s,即11ms。
而根据PHS的技术规范我们知道,PHS信号的帧结构如图5所示。

图5 PHS信号帧结构
可以看出,单个PHS时隙的时间长度为0.625ms(625μs)。这样就可以算出在单个PHS脉冲信号出现的这一段时间内,超外差式频谱分析仪能够完成多宽的频率跨度的扫描:
。
由此我们可以得知,在一个PHS脉冲出现的时间段内,分辨率为30kHz的超外差式频谱分析仪只能够进行频率宽度为56.8kHz的扫描。由PHS的技术规范可知,标准的PHS信号的占用带宽为272kHz左右。也即,在一个PHS脉冲出现的时间段内,超外差式频谱分析仪只能够获得很少部分频率分量的频谱。但是在这个PHS脉冲结束后直至下一个周期的PHS脉冲到来之前,中间间隔的7个时隙的时间段内,频谱分析仪仍然会继续向前扫描,此时所扫描得到的只有噪声,因为这段时间内PHS脉冲并未出现。在等到下一个周期的PHS脉冲出现时,频谱分析仪依旧会像前一个脉冲出现时那样仅完成56.8kHz频率跨度的扫描,然后在余下7个时隙的PHS脉冲未出现的时间段内继续再向前扫描。如此反复,就得到了如图3所示的类似离散频谱的频谱图,而并非PHS信号理论上的完整频谱。
对于无线电信号来说,频域测量是非常重要的。而频域测量的前提则是我们要能够获得完整的信号频谱,因为只有在此基础上才能进行各种参数的测量。
那么利用超外差式频谱分析仪怎么才能够对TDMA信号的频谱进行准确测量呢?
上一篇:可扩展的经济型射频频谱监控和管理
下一篇:认知无线电中的频谱空洞检测技术


