- 易迪拓培训,专注于微波、射频、天线设计工程师的培养
基于四象限光电探测器的标记对准技术
录入:edatop.com 点击:
摘要:四象限光电探测器已在光电信号检测、光电定向、光电准直、光电对中、光电自动跟踪、光电制导等各个技术领域得到了广泛的应用。本文详细介绍了用于半导体设备中采用四象限光电探测器的标记对准方案及其实现方法。
关键词:四象限光电探测器;标记;对准
引言
四象限光电探测器是把四个性能完全相同的光电二极管按照直角坐标要求排列而成的光电探测器件,常用于激光制导或激光准直中。目前在光电探测系统中广为使用的多元非成像光电探测器多为四象限光电探测器件(以下简称四象限)。它包括各种规格的硅光电池以及类型各异的四象限光电二极管,如四象限PIN光电二极管、四象限雪崩光电二极管等。图1为四象限工作原理。

激光束投射到四象限上,激光束斑在四个象限上会引起输出信号幅度的不同,通过此差异来判断系统的准直状况。
掩模是光刻工艺和设备必不可少的工具,由石英玻璃制作,是制作集成电路的母板,随着摩尔定律的作用,特征尺寸的不断缩小,目前,中芯国际的90nm工艺生产线已经正式量产,并且国际上65nm节点工艺和设备也已经成熟。因此,掩模的对准要求也越来越高,对于要对准的掩模版,是通过其版上的米字形标记来实现的,该米字形标记是透光的,其余部分镀铬,通过其在四象限上所成的像引起的四路输出电流信号的不同来判断其偏离以调整使其定位,其形状如图2所示。

预对准方案
在光刻设备中,掩模的预对准是极其关键的一步,因为硅片上的图形是依靠掩模版转移其上的,对于CD(关键尺寸)为100nm的设备,其套刻精度在35nm左右。实现精确的对准是依靠复杂的光学系统—离轴对准系统实现,这里不做讨论。
使用四象限来完成掩模的预对准可以使系统更经济、紧凑。该系统的精度要求在7mm,可以用四象限来实现。该预对准系统由光源、透镜组,掩模版以及四象限组成,如图3所示,A为LD光源,发射近红外准直激光,波长为650nm,带宽10nm,发散角0.1~0.2mrad,准直扩束后的光束直径为5mm,其具体型号为Sanyo(SD650-80G3)。B为直角棱镜,C为掩模版,D为窄带滤波片,主要作用为滤去背景杂散光,提高系统信噪比;E为直角棱镜;F为四象限,其有效直径为2mm,峰值波长为820nm,具体型号为Centronic(QD7-5)。其输出功率³40mw,工作温度范围在-25℃~+75℃之间。

当掩模C沿着x向或者y向运动到直角棱镜B的下方时,其上的米字型标记被经过准直扩束处理后的LD光源A照明,由于只有米字型标记是透光的,其它部分不透光,所以标记的形状被投影到四象限F上,直角棱镜E起倒像作用,主要目的为了节省空间距离,当投影到四象限上的标记中心与四象限中心重合时,表示标记已经对准,闭环反馈系统通过反复调节掩模C直到对准为止。掩模C放置在PI公司的三维微动台。
信号处理算法
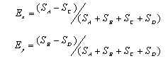
图4所示为束斑在四象限上的位置。图中四象限探测器光敏面的半径为R。四象限中心与直角坐标的零点O重合。图中四象限的对称轴分别与坐标的x、y轴重合。束斑中心为O¢。当O¢位于四象限中心时,四个象限上接收到的光信号强度相等,经计算处理后得到的误差信号为零。当O¢逐渐偏离O时,Er逐渐增大。Ex、Ey分别代表Er在x、y方向上的分量。为消除束斑光强(光能量或功率)波动对Er的影响,通常要对Er进行归一化处理。即在Er计算过程中除以一个与束斑光强度相关的量值。根据不同的应用目的,束斑半径r相对于四象限光敏区半径R存在一个最佳值ropt。对大多数应用场合ropt取1/2R。

对输出信号处理的算法是决定整个系统精度的关键因素,常用的算法有加减法、对角线法,这里我们采用对角线算法,其表达式为

SA、SB、SC、SD分别代表束斑在四个象限上的面积(假定目标像斑光强均匀分布)。本系统的软件使用C++语言编写,最后集成于整个对准程序之中。
结语
使用四象限探测器来完成掩模的预对准是一种行之有效并且经济适用的方法,对于实现掩模版的预对准完全可行,通过初步的实验发现,该系统可以完成在10mm的对准精度,在改变环境为净化间环境以及提高安装精度后,该值可以满足最终的要求。
参考文献:
1. 冯龙龄,邓仁亮.四象限光电跟踪技术中若干问题的探讨.红外与激光工程,1996,5(1):16~21.
2. 匡萃方,基于激光准直直线度测量方法的研究.光学技术,2003,29(6):699~701
3. 王岱,杨世洪.采用四象限探测器的双轴跟踪控制技术.光电工程,2003,30(5) :31~33
作者简介:
李洪珠(1980- ),男,江苏徐州人,中国电子科技集团45研究所 上海微高精密机械工程有限公司工程师,研究方向为机电系统设计
作者:中国电子科技集团45所 上海微高精密机械工程有限公司 李洪珠 来源:光纤新闻网
上一篇:对PUSHEMAIL业务平台性能的测试
下一篇:基于小波变换的信号去噪技术及实现


