- 易迪拓培训,专注于微波、射频、天线设计工程师的培养
基于PID控制的导弹分通道仿真
1 引言
现代高性能作战飞机普遍采用推力矢量技术,各种高空高速高机动再人弹头的威胁愈显突出,这对传统气动舵控制的导弹系统提出新的要求。现代导弹要求能够选择攻击目标,具有一定的抗干扰能力,实现全天候作战,这使得导弹向高精度、高智能、轻小型化发展;同时,导弹制导控制精度的提高已从制导转向控制。导弹目标范围不断扩大,由反飞机扩大至反巡航导弹、反弹道式导弹等反导任务。高空、高速、大机动已成为当今导弹目标的重要特征,目标的高速大机动特征导致弹一目相对运动加剧,对导弹末端过载提出很高要求;另一方面,目标的高空特征导致导弹系统效率大大降低,可用过载随高度的升高而大幅下降。为了解决这些矛盾,这里采用PID控制方法控制导弹的俯仰、偏航、滚动3个通道。
2 模型的建立
研究导弹制导问题,必须以一定的数学模型为基础。因此,在选择适当的坐标系后,分析推导出导弹的分通道的理想控制运动学模型,并建立舵机模型。
2.1 分通道的理想控制动力学方程
导弹由于存在滚动角,会造成耦合现象,从而增加控制困难,降低控制精度,故应尽量减少耦合,分通道控制。由于导弹的对称性,当滚动角为零或较小时,忽略俯仰与偏航的耦合,即单输入单输出系统。因此可用经典控制理论分通道来研究、分析和设计导弹的控制系统。
纵向运动为导弹纵向动力学方程为:

式中,
为切向力,
为法向力,
为俯仰力矩,m为导弹质量,V为导弹的飞行速度矢量,α为攻角,θ为弹道的倾角,δz为俯仰舵偏角,ωz为导弹绕弹体坐标系oz1轴的角速度,X,Y为弹上的总空气动力沿速度坐标系分解的阻力、升力,Jz为导弹绕弹体坐标系oz1轴的转动惯量,Mz为俯仰力矩。
而侧向运动为航向和横向相互交联耦合,则导弹侧向动力学方程为:

式中,-mVcosθ(dψv/dt)为导弹质心加速度的水平分量,"-"表示向心力为正,所对应的ψv为负,反之亦然。它是由角度正负号定义所决定的,dωx/dt、dωy/dt为导弹转动角加速度矢量在弹体坐标系轴上的分量,Jx、Jy、Jz分别为导弹绕弹体坐标系ox1、oy1、oz1轴的转动惯量,Mx、My分别为滚转力矩和偏航力矩,Y、Z分别为弹上的总空气动力沿速度坐标系分解的升力、侧向力,ωx、ωy、ωz分别为导弹绕弹体坐标系ox1、oy1、oz1轴的角速度。
2.2 舵机模型
2.2.1 电动机模型建立
电动机控制原理图如图1所示。

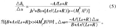
设减速比i,总转动惯量J,力矩M,输入电压u,电流I,电感L,电阻R,鼓轮的角速度与转角分别为ω和δk,舵偏角δ,电动舵机的力矩特性近似为A,机械特性近似为-B,Mj是铰链力矩,
是单位舵偏角产生的铰链力矩,TM=L/R为电动机的电气时间常数,则舵机在有载情况下的传递函数为:

2.2.2 舵回路
舵面的铰链力矩对舵机的影响很大,飞行控制系统采用闭环回路设计,消除其影响。舵回路一般采用位置和速度两种反馈补偿方式消除铰链力矩对其的影响。
位置反馈的传递函数为:

当
。因此,引入较强反馈,电机输出转交正比于输入电压,与反馈量成正比,而与铰链力矩的大小无关。
速度反馈的传递函数为:

根据以上分析,引入较强速度反馈时,则电机输出角速度正比于输入电压,而与飞行状态即铰链力矩的大小无关。
因此,舵机位置控制系统的系统结构如图2所示。

3 分通道PID控制
导弹飞行姿态是通过控制导弹的3个舵面(即升降舵、方向舵、滚动舵)的偏转,改变舵面的空气动力特性,形成围绕导弹质心的旋转矩,实现飞行姿态的改变。角位置控制分为3个通道,俯仰通道(控制俯仰角)、偏航通道(控制偏航角)、滚动通道(控制滚动角)。
3.1 舵机的PID控制
根据图2所示的舵机位置控制系统结构框图,其中电流环节采用电流计反馈,转速反馈用速测发电机,位置反馈用光电编码器。舵机采用三闭环控制设计,即电流环,转速环和位置环。可用"临界比例度法"初步确定PID参数。此方法适用于已知对象传递函数的场合,闭合的控制系统中将调节器置于纯比例作用下。从大到小逐渐改变调节器的比例度,得到等幅振荡的过渡过程。此时的比例度成为临界比例度δk,相邻两个波峰间的时间间隔称为临界振荡周期Tk,由此计算出各个参数,即Kp、Ti、Td的值。
3.2 纵向通道控制
传统的控制方案是将舵机简化为一个放大环节,系统仅存在角速度反馈,其纵向通道传递函数为:

式中,KM为传递系数,TM为时间常数,ξM为相对阻尼系数,T1为气动力常数。
在设计精确考虑舵机环节的纵向通道时,需加入PID校正环节,分析系统使其满足设计要求,图3为其控制系统结构框图。

3.3 横向通道控制
当滚动通道的输入指令为零时,即保持滚动角和角速度为零,则消除了俯仰通道和偏航通道的耦合作用,可分别控制3个通道。此时,对称结构导弹的俯仰通道和偏航通道的控制基本相同。
3.4 滚动通道控制
将舵机环节引入滚动通道,与纵向通道及航向通道类似,引入PID校正环节,分析系统,其角速度传递函数为:

式中,KMx为传递系数,TMx为倾斜时间常数。
4 仿真结果
为验证控制方案的正确性和控制效果,则给定以下导弹参数:KM=0.171 7(1/s)、TM=0.085 0(s)、ξM=0.111 2、T1=6.521 7(s)、KMx=170.778 9、TMx=1.006 3(s)分别对舵机系统、纵向通道系统、横向通道系统、滚动通道系统加入单位阶跃信号进行数字仿真,并对传统控制系统进行仿真,对比控制结果。图4为舵机系统时域阶跃响应曲线。由图4仿真曲线看出,超调量9.5%,上升时间41.9 ms,调节时间(2%误差带)88.8 ms,稳态误差为0。

图5为纵向通道时域阶跃响应曲线,从图5仿真曲线可看出,在精确考虑舵机环节情况下,PID校正环节纵向通道时域阶跃响应曲线反应良好,超调量11.4%,上升时间170.6 ms调节时间(2%误差带)356.3 ms,稳态误差为0。

图6为横向通道时域阶跃响应曲线。从图6仿真曲线看出,在精确考虑舵机环节情况下,PID校正环节横向通道时域阶跃响应曲线反应良好,超调量11.4%,上升时间168.3 ms调节时间(2%误差带)347.1 ms,稳态误差为0。

图7为滚转通道时域阶跃响应曲线。从图7的仿真曲线可看出,在精确考虑舵机环节的情况下,PID校正环节滚转通道的时域阶跃响应曲线反应良好,超调量9.81%,上升时间为178.6 ms,调节时间(2%误差带)397.1 ms,稳态误差为0。

5 结论
本文利用临界比例度法得到PID参数,利用MATLAB/Simulink进行时域仿真,从仿真结果看,该PID分通道控制方法可以提高传统气动舵导弹控制系统的准确性、快速性及稳定性。当然这只是给出与传统控制方案相比较的结果,实际的参数还要在实物仿真中不断调试,并对控制系统修正改进,以得到令人满意的控制效果。仿真结果表明,各通道系统反映良好,能够实现实时控制要求。
作者:刘冰 高嵩 何宁 夏文艳 西安工业大学 来源:电子设计工程
上一篇:专家系统在雷达故障检测中的应用
下一篇:基于改进神经网络的非线性系统观测器设计


