- 易迪拓培训,专注于微波、射频、天线设计工程师的培养
基于瞬时无功功率理论的谐波和无功电流检测
1 引言
20世纪80年代后,电力电子技术迅速发展。各种变频器、变流器、开关电源和电抗器的应用日益增多。随之产生的谐波污染也日益严重,造成电力系统电压、电流严重畸变。影响仪器仪表正常工作,增加电力器件损耗,危及电力系统安全运行。目前,谐波污染已经成为电力系统的严重公害之一.解决电力系统谐波问题显得尤为迫切。电力系统谐波问题涉及面很广,包括谐波检测、谐波分析、谐波源分析、电网谐波潮计算、谐波抑制、谐波标准等。谐波检测是谐波问题中的一个重要分支,是解决其他谐波问题的基础。电力系统的谐波由于受随机性、分布性、非平稳性等因素影响,对其进行准确检测并非易事。随着电力电子装置的广泛应用,使得谐波和无功问题成为了研究的热点。日本学者赤木泰文于1983年提出了三相电路瞬时无功功率理论,又称为pq理论,为三相电路谐波和无功检测提出了新的方法。
2 基于ip一iq的三相瞬时无功功率理论
为了克服pq理论检测时受电压质量影响的不足之处,pq理论经过不断的发展和完善,形成ip一iq为基础的三相瞬时无功功率理论。该理论的核心思想在于把满足ia+ib+ic=0的三相电流经过不含零序分量的Park变换得到ip,iq。即:

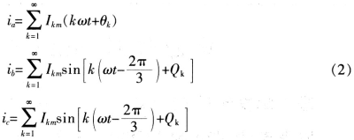
可以看出,此时电流的检测只与A相电压的电角度ωt有关,而电压波的畸变对检测结果没有影响。其中C32是三相到两相的坐标变换阵;Cpq是旋转坐标变换阵。当三相电流对称时,被检测电流为:

式中,k为整数,ω是角频率,Ikm和θk为各次电流的幅值和初相。将(2)式代入(1)式得下式:

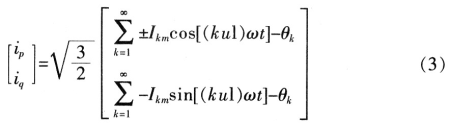
当k=l、7、13…时取上符号;k=5、11、17…时取下符号。
由(4)式可知,
与传统意义上的基波分量的有功电流和无功电流相对应。因为ip和iq可经LPF分离而得到直流分量
,若将
同时反变换,可得到基波分量iaf,ibf,icf如下式:

作者:张建军 杜韩军 卢蕊 来源:国外电子元器件 [p]
式中C23是两相到三相的坐标变换阵。进而可得谐波电流iah,ibh,ich为:

对谐波电流iah,ibh,ich进一步分析,可得出三相交流电中所含的高次谐波的具体情况,从而可实现对高次谐波实时检测和有针对性的滤波控制。
如果只将iq作(1)式的反变换,得到无功电流分量的瞬时值iaq,ibq,icq,如下式:

由式(7)可无延时地分离出三相交流电中的瞬时无功电流,在实践中可根据该电流值设计控制系统,实现快速的无功补偿。可以看出,三相电路瞬时无功功率理论的提出,为快速的检测无功电流和高次谐波电流提供了理论基础。
3 基于无功功率理论的谐波和无功电流检测
三相瞬时无功功率理论提出后,由于其在检测电流时的实时性,很快被用于电力系统谐波和无功电流的检测。并随着该理论的进一步发展,派生出各种检测方法。其中具有代表性的有:p一q检测法、ip-iq检测法。下面讨论p—q的检测方法:
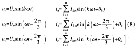
该方法根据定义算出p—g,当电压波无畸变时(即为标准正弦波),而电流中含有无功分量和谐波分量:

式中,k为整数表示谐波次数,ω是角频率;Ikm和ψk为各次电流的幅值和初相。
将(8)式变换到αβ坐标系中并代入(5)式中得:

式中,n=3k+1。当n=3k+1时,计算式(9)中取上符号;当n=3k一1时,计算式(9)取下符号。可以看出,(9)式可以分成两部分,其中前半部分为直流分量对应n=1时,即功率中的基波有功和基波无功。后半部分为交流部分的功率对应n>l时,即功率中的高次谐波有功和无功。用该检测方法检测谐波时的计算框图如图1所示。

作者:张建军 杜韩军 卢蕊 来源:国外电子元器件 [p]
该检测方法简述如下,首先对采样得到的三相电压、电流值ua、ub、uc和ia、ib、ic进行αβ变换,得到uα、uβ和iα,iβ;再由定义算出p,q;通过低通滤波器得到p,q中的直流分量p,q;将p,q互进行反变换得到三相电流中的基波电流分量iaf、ibf、icf。用三相电流ia、ib、ic减去基波电流分量iaf、ibf、icf得到电流中的高次谐波分量iah、ibh、ich当电网电压无畸变时,从上面的推导可以看出基波电流分量iaf、ibf、icf的检测是准确的,从而高次谐波分量iah、ibh、ich的检测值也是准确的。下面讨论当电网电压有畸变时的检测情况。
设电网电压为:


由上式可以看出,直流分量p,q不仅含有基波有功功率(无功功率)还含有高次谐波产生的有功功率(无功功率),因此由该式算出的三相电流中的基波电流分量iaf、ibf、icf必然存在误差,从而使检测到的高次谐波分量iah、ibht、ich也必然出现误差。这也是p-q检测算法最大的不足之处。要检测谐波电流和无功电流的和电流,从而进行综合补偿,则可采用图2检测框图。

在该检测检测框图中,只对p进行了低通滤波处理,而q不进行滤波。将p,q进行反变换得到三相电流中的基波电流分量iaf、ibf、icf,此时iaf、ibf、icf中只含有基波有功电流分量;用三相电流ia、ib和ic减去基波电流分量,iaf、ibf、icf得到电流中的高次谐波和无功电流的和电流iah+q、ibh+q和ich+q。
4 结语
准确、实时地检测出电网中的谐波电流和无功电流是抑制谐波和无功补偿的关键。依据瞬时无功功率理论,对三相谐波电流进行了检测。证明了基于瞬时无功功率理论的谐波检测方法的可行性及有效性,为抑制谐波和无功补偿提供准确、实时的谐波及无功分量。
作者:张建军 杜韩军 卢蕊 来源:国外电子元器件

