- 易迪拓培训,专注于微波、射频、天线设计工程师的培养
数字摄影测量技术在港口集装箱调度中的应用
摘 要: 针对港口集装箱调度过程中单箱操作效率低的不足,提出了利用测量技术" title="数字摄影测量技术">数字摄影测量技术 实现港口集装箱的双箱调度。给出了实际应用中提高精度的方法。试验结果表明,数字摄影测量技术成功应用于港口集装箱调度中。
关键词: 三维DLT; 摄影测量技术; 共线方程; 相机检校; 图像分割
集装箱运输是现代交通运输发展的代表,运输经济性、安全可靠性、准时性大大提高,对自然环境的影响小,并且其综合产业链长,影响范围大,对城市发展作用显著。国内外研究表明,港口集装箱运输对区域经济的贡献是原油的4倍左右,煤炭的2倍左右。正是由于集装箱运输的这一特征及其规模化的发展指标,使其得到各个港口城市在发展上的重点支持,成为城市经济贸易发展和功能提升的核心资源。所以在港口中集装箱的装卸所花费的时间对于整个集装箱的运输格外重要。
目前在港口岸边集装箱桥式起重机的智能化抓箱控制的方法中,在国内外主要用到以下几种方法:激光定位、3D激光雷达+精确图像处理系统、基于多相机的立体视觉。
国内外有许多专家、学者在传统相机校验方面做了大量的工作。澳大利亚的墨尔本大学编制了一套名为《Australis》数码相机校验软件,该软件具备规则标准点坐标自动获取、空间坐标点的模拟再现、相机内外方位元素,畸变差项计算以及计算结果分析等功能。但该软件存在一些不足,如可进行处理的标志点形状单一,而且标准点中心坐标获取精度不理想,校验过程不完整,缺少对校验成果的精度和可靠性评估过程。在国内,比较有代表的是武汉大学遥感信息工程学院近景摄影测量实验室,该实验室对传统相机在校验理论、方法、实现等方面做了较多研究工作。但是在CCD相机校验方面所做工作也只是刚刚开始,如在CCD相机校验的内容、方法、提高校验精度等方面所做的工作还较少,缺乏系统的研究和探讨。
本文首先利用像点坐标仪坐标和相应物点物方空间坐标之间的线性关系建立直接线性变换模型,通过CCD相机畸变分析建立了相应的校验模型;其次采用顺序迭代法求解相机内外参数;最后通过精度分析给出了实际应用中提高精度的方法。
1 摄影测量的数学模型
在立体视觉系统中,数据是两个相机获得的图像I1和I2,如图1所示。如果p1、p2是空间同一点P在两个图像的投影点,则称p1、p2为对应点,它们之间有对应的几何关系[1-2]。

任意空间一点P与两相机的光心O1与O2组成平面π,该平面与两相机平面分别相交,得到两条直线l1与l2,而P在两平面所成的像点p1与p2必定分别落在直线l1与l2上,即在平面I1上O1P与l1交于点p1,在平面I2上O2P与l2交于点p2。直线l2定义为在图像平面I2上与图像平面I1上的点p1对应的极线。同理,图像平面I2上的点p2在图像平面I1对应的极线为l1。
如图1所示,平面π上有空间坐标点P和P’均在图像平面I1成的像点为p1,但P和P’点在图像I2所成的像点不同,虽然它们仍都在直线l2上。因此,只要知道了两平面极线对应关系,就能解决从已知图像坐标点到空间坐标点的非唯一性,达到空间定位的目的。因此,利用双目相机获得的空间坐标还要确定相机之间的位置。
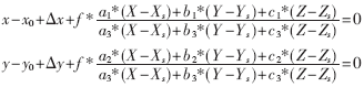
于是,通过两个相机的图像坐标来计算空间坐标的关系为[3-4]:
上式中,X、Y、Z是目标点(模型测点)物空间坐标;Xs、Ys、Zs是摄影中心的物方空间坐标;ai、bi、ci是像空间坐标系相对此物空间坐标系的方向余弦(i=1,2,3);f、x0、y0是摄影的内方位元素;x、y是像点坐标(为观测值);Δx、Δy是系统误差改正数。
2 系统结构
系统结构如图2所示,将双箱对准简化为单箱操作,主要是测量两个集装箱的相对位置的精确值(距离,角度),结合控制室的控制与检测装置,在空中调整两吊具与集装箱实现空间上的匹配。

系统的处理流程可分为三个阶段,如图3所示。

(1) 相机定标:其处理结构如图4所示,以设定的已知参照物为标定,并与成像单元对应,求解出相机的内外参数,包括相机坐标系相对于标定物坐标系的空间旋转矩阵、平移矩阵、相机的焦距、光轴与像元平面的交点、两相机的相对位置等。


(2)目标提取和特征点对应: 解决在各种光照条件下集装箱的提取问题,一般可根据集装箱的具体特征加以分析,如角点、直线,并建立这些特征点在两CCD成像的对应关系。
(3) 目标定位:依据成像关系式,从已知的相机参数、两CCD成像特征对应关系解算出特征点的实际空间坐标。
3 仿真结果
3.1 相机内外因素的确定
试验时,首先准备一个如图5所示的三维定标模板,并标出控制点。假设三维定标模板的某一个角为原点,从而可知在标模板上各控制点的空间坐标。用两个摄像机拍摄定标模板,通过图像求出定标模板上控制点对应的像坐标。在检校相机时,运用三维DLT算法[5-6]和用已知的空间坐标及求出的相应像点坐标求解相机的11个内外参数,其流程图如图6所示。

在相机距离目标板的距离为1.8m左右, 采用BASLER-A312f的摄像头,定标的结果分别如表1、表2、表3所示。

3.2 集装箱角点的确定
在天气情况较好的情况下,集装箱图像的分割试验如图7所示[7],其特点是采用相对简单的算法提取集装箱的特征角点,提高处理精度。有两种处理方法:(1)基于彩色空间的集装箱分割,这主要运用集装箱的彩色特征这个先验知识对集装箱进行分割;(2)基于先验知识的集装箱分割。在桥吊现场,集装箱是由卡车运至大致区域,因此其位置可提前估计设定,同时运用集装箱尺寸标准的已知知识,找到相应点的坐标。

3.3 数字摄影测量技术下集装箱调度的实现
以设定的已知参照物为标定,并与成像单元对应,求解出如图8所示的相机内外参数后,再通过图像分割找到集装箱的角点,依据成像关系式,从已知的相机参数、两CCD成像特征对应关系解算出角点的实际空间坐标。在此过程中应注意角度匹配和位置匹配;然后根据几何关系式,计算两个集装箱之间的关系。从而可以根据已知一个集装箱就可以找到另外一个集装箱。

4 精度分析
通过多次实际的摄影测量处理,分析得到摄影测量的精度与以下因素有关:
(1) 像点的精度。为了求得物点的三维空间坐标,首先必须确定像点的二维平面坐标。因此为了提高物方精度,必须提高像点的精度,在确定像点坐标时必须非常小心。本文是利用Hough变换原理,采用特征提取的方法确定像点。
(2) 提高相机的分辨率。相机的分辨率越高,越容易精确地标定像点位置,像点精度的提高又必然导致精度提高。
(3) 相机校验质量。由于非量测数码相机存在较大的光学畸变,因此相机校验可以较大地提高精度。
(4) 相机位置对精度的影响。两相机主光轴成垂直状比两相机主光轴成平行状产生的误差小。
(5) 相片数量[8]。在确定像点点位时都会存在一定的误差。如果所需像点在某一张相片上比较模糊,则误差会比较大,这样也就导致求解的物点误差比较大,此时如果该点出现在三张相片以上,则此点在某一张相片上的较大误差由于采用最小二乘法会使此误差得到补偿;如果此点只出现在二张相片上,这种误差就得不到补偿。因此通常需要在较多的相片上标定一个像点点位。
(6) 控制点的分布。控制点尽量均匀分布在相机的镜头垂直下方。
(7) 摄影方式,包括摄影比例尺、交会角的大小、对摄影点的摄影覆盖次数。
(8) 被测物体的照明状态、标志的设计与分布及被测物体表面处理的水准。
(9) 对图像处理方法和摄影测量处理方法的选择。
在实际进行摄影测量时,为了减少误差,提高精度,需要注意如下事项:
(1) 精确确定像点位置。
(2) 使用分辨率比较高的数码相机。
(3) 使用校验好的相机。
(4) 保证相机之间的交汇角接近90。
(5) 保证所有点出现在三张相片以上。
(6) 提高定位精度,通过研究控制点的布置规律,或增加相机数目以降低空间定位误差,争取使空间定位精度达到2mm,为现场调试留有更大的余量。
(7) 从现场拍摄集装箱的图片,尤其是各种光照条件下的目标图像(如阳光,雨,雾,晚上),以寻求最佳的集装箱提取算法。
在港口集装箱调度中,快速找到集装箱的吊孔是快速调度的关键。本文较详细论述了基于非量测相机的三维摄影测量方法在港口集装箱调度中的应用。
在集装箱调度中,摄影测量技术其主要优势在于花费时间少、使用方便、可视性好,因此是非常可行的技术。
参考文献
[1] 张祖勋,张剑清.数字摄影测量学.武汉:武汉测绘科技大学出版社,1996.
[2] 张剑清,潘励,王树根.武汉:武汉大学出版社,2002.
[3] HAKAN B,MOHAMED S K. A three-step camera calibration method[J]. IEEE Transactions on Instrumentation and Measurement, 1997,46(5):1165-1172.
[4] FRYER J G. Monograph close range photogrammetry and machine vision. Whittles Publishing, 1996.
[5] 李德仁,郑肇葆.解析摄影测量学.北京:测绘出版社,1992.
[6] 冯文灏. 近景摄影测量[M]. 武汉: 武汉大学出版社,2002.
[7] 章毓晋. 图象分割. 北京:科学出版社,2001.
[8] 陆玉凯,金先龙,侯心一.数字摄影测量技术在交通事故再现中的应用. 计算机辅助设计与图形学学报,2005,17(10).


