- 易迪拓培训,专注于微波、射频、天线设计工程师的培养
氧化铝膜状传感式在线湿度仪的研制
摘 要: 介绍了采用89C52单片机及其外围接口芯片研制出的一种氧化铝膜状湿度传感式在线湿度仪。该仪器具有在线自动检测露点湿度、对检测数据进行实时采集、历史数据分析处理、LCD屏显示以及与上位机通信等功能。在软、硬件上采取的抗干扰措施,使该仪器能在环境恶劣的工业现场长时间稳定运行,具有可靠性高、精度高、重复性好等优点。
关键词: 湿度测量 露点 在线湿度仪 单片机 传感器 智能仪表
湿度测量在自动化系统及其它许多高新技术领域中占有日益重要的地位。目前国内外各种湿度仪大多数都是便携式的,如电容式的、镜面湿度仪、电解式湿度仪等等。而在线湿度仪的种类不是很多,这里介绍一种采用单片机技术研制出的氧化铝膜状湿度传感式在线湿度仪。
1 氧化铝膜状湿度传感器的特点
氧化铝膜状湿度传感器主要由保护层、屏蔽层、活性电容、电极层和基底等构成。传感器工作时,活性电容绝缘层的水气与周围气体平衡,屏蔽层主要使传感器与外界隔绝,减少外界非湿度因素对传感器的影响,保护层用以保证传感器免受污染。氧化铝膜状湿度传感器屏蔽层和保护层的渗透性良好,环境湿度的变化可以直接通过活性电容的变化反映出来。它是目前环境湿度及过程湿度检测的主流传感器,其主要优点为:
(1)响应快速,能准确快速地反映对象湿度变化特性;
(2)湿度检测范围宽(0.5~50000ppmv),对环境温度要求宽(-80°C~+20°C);
(3)时效度化小;
(4)能在0~100%RH范围内进行全程检测。
2 测量原理
实际工作中常以露点表示气中含水量。所谓露点就是指在一个大气压下气体中的水蒸气达到饱和而凝聚出来形成水时的温度。在露点温度下,汽水混合物中水分子进入液相的速度相等,因此可以直接测量介质的露点值。当外界湿度发生改变时,氧化铝湿度传感器探头的输出阻抗随之改变,其输出电压也相应发生改变,通过电压频率转换器得到相应变化的频率值,单片机系统将检测到的频率变化进行一系列处理,就可将测量结果(露点值、体积比)直接送到LCD液晶屏显示出来。
3 系统硬件设计
系统构成如图1所示。信号调理主要采用OP07放大器,它具有超低漂移、高精度、高共模抑制比和低失调等优点,特别适宜于微弱信号的精确放大。由于数字信号的传输对环境要求较高,很容易被外来的电磁干扰所“淹没”,而频率信号只是一种时间量,处理频率信号只与时间量有关,因此选用电压频率变换器VFC32作A/D转换。VFC32具有抗干扰能力强、线性度高、信号几乎无衰减等优点。单片机测控系统主要由掉电信息不丢失的数据存储器SRAM MK48Z02/12、串行通信接口MAX232以及分频器、LCD显示器、薄膜键盘片和89C52单片机等构成。89C52内部自带8K字节闪速可编程、可电擦除的只读EPROM,主控程序存放其中,另外扩展一片27C256存放系统字库及表格等。此外,系统还设置了WDT“看门狗”(由MAX813L 电压监控/监视定时器来实现)、软件陷阱等,提高了系统抗干扰和故障自诊断的能力。

4 系统软件设计
氧化铝探头对气体中水的蒸气压响应值以电参量U(单位为伏特)表示,而露点又是水的蒸气压的函数,通过对U和露点t(单位为°C)作图,发现两者呈指数关系:U=AeBt+C,A、B、C为特定氧化铝探头常数。对仪器标定时,常用Y=aX+b分段直线拟合的方法来逼近非线性曲线。随着探头的使用,U与露点的曲线关系发生变化,因而a、b值也发生改变。图2给出了探头随使用时间而发生变化的情况。其中,曲线(1)为用标准水份发生器标定的曲线,曲线(2)为探头原设置的响应曲线。因此,必须对仪器进行校正。根据标定的数据来重新确定a、b值,从而得到新的正确拟合曲线。

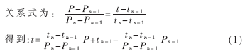
将该曲线分段直线拟合值存入SRAM数据存储器中,单片机进行测试时,通过对电参量进行计算、查表、寻找正确的拟合直线段等一系列处理即可得到被测对象的露点值。在实际的程序设计中,由于体积比P与露点t之间关系已知,可按一定的形式排列存入程序存储器EPROM中,通过查表求解出t。

式中,P根据传感器测量信号计算可得,再由P确定Pn、Pn-1,对应的tn、tn-1通过查表可得到,这样由式(1)即可求出露点值t。程序流程图如图3所示。

5 技术说明及关键性能指标
(1)V/F采样间隔设定:利用软件延时进行采样,满足Shannon采样定理,可以定时采样和储存数据。
(2)与PC机通信:PC机能以中断方式控制在线
湿度仪的检测,而在线湿度仪可将实时测得的各种数据以中断方式传输至PC机,具有历史数据分析、趋势图绘制、储存数据打印输出等功能。
(3)检测:氧化铝探头将检测到的信号经过调理、滤波、V/F转换、分频、整形后的数据送至单片机系统,单片机经过处理后将露点温度、绝对湿度通过LCD屏显示出来。
电源:AC220V±10V;50Hz
范围:露点为-80°C~+20°C;温度为-10°C~+40°C
测量精度:-60°C~+20°C以内测量精度为±0.5℃;
-80°C~-60°C以内测量精度为±1°C;在整个测量范围内,重复性测量精度优于±0.5°C
通信接口:RS-232串行口
显示:内置T6963C控制器型图形液晶显示器(240×128DOTS)
该仪器响应快速,湿度检测范围宽,时效度化小,具有可靠性高、精度高、重复性好等优点,能在环境恶劣的工业现场长时间稳定运行。所编程序与测量电路及单片机系统紧密配合,可以方便地对氧化铝膜状湿度传感器进行线性化处理,同时也适于其它非标准传感器,并可以使其线性化效果达到最优。
参考文献
1 李英干,范金鹏. 湿度测量.北京:气象出版社,1990
2 吴兴惠,王彩君.传感器与信号处理.北京:电子工业出版社,1998
3 李 华.MCS-51系列单片机实用接口技术.北京:北京航空航天大学出版社,1993
4 李维提,郭 强.液晶显示应用技术. 北京:电子工业出版社,200 0
上一篇:安捷伦科技为其PXI
数字化仪新增高阻输入模块
下一篇:安捷伦科技在
2009
年美国光电光纤通讯展览会及研讨会(OFC/NFOEC
2009)上推出业界首


