- 易迪拓培训,专注于微波、射频、天线设计工程师的培养
磁悬浮列车悬浮间隙传感器关键技术研究
1 概述
磁悬浮列车悬浮间隙传感器是一种涡流式传感器。利用电磁感应把位移量转换成线圈的自感系数L或互感系数M的变化,再由测量电路转换为电压或电流的变化量输出,实现位移量到电量的转换。这种传感器结构简单、无活动电触点;灵敏度和分辨率高;传感器的输出信号强;线形度和重复性都比较好。
2 测量原理
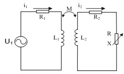
由于EMS型磁浮列车运行时的悬浮间隙只有10mm左右,而且定子导轨本身也是金属导体,因此电涡流式传感器是实现这种小间隙测量的最佳选择。电涡流式传感器的金属导体可看作为一个短路线圈,它与高频通电扁平线圈磁性相连,鉴于变压器原理,把高频导电线圈看成变压器原边,金属导体中涡流回路看成副边,即可画出电涡流式传感器的等效电路如下图1所示。

图1 电涡流传感器等效电路
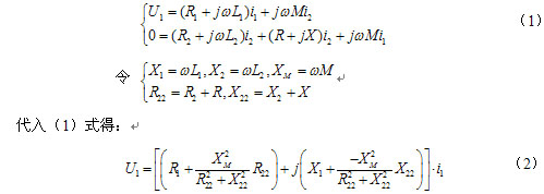
其中,原边的L1、R1表示激励线圈的电感和电阻,副边的L2、R2表示被测导体的电感和电阻,R、X表示负载的电阻和电抗。M是线圈和被测导体之间的互感。
根据基尔霍夫定律列写原边和副边的回路方程如下:
由(2)式可见,互感M的变化会引起副边折合到原边的阻抗的变化,从原边线圈一端看去,可视为原边线圈阻抗的变化。而互感M是由激励线圈和被测导体之间的位置、被测物的形状和材料决定的。如果用恒频、恒幅的信号来激励线圈,那么就可以通过检测线圈输出电压的变化来测量线圈和被测导体之间位置的变化。
3 线圈结构分析
在高速磁悬浮列车系统中,由于采用长定子轨道,轨道面面向传感器的一面是齿槽结构。在间隙测量过程中,要求有效间隙是传感器与定子轨道的齿面之间的距离。当传感器的感应线圈对应到槽面结构时,就会产生错误的间隙信息。当线圈所对应的齿和槽分量发生变化时,线圈等效电感就发生变化,传感器最终输出也发生变化,这就是所谓的齿槽效应。为解决线圈对这种齿槽结构的不敏感性,绕制长方形感应线圈,使其宽度等于一个齿槽周期。如图2(a)这样线圈在相对定子轨道的运动中,线圈所对应的齿槽分量就始终是一个齿和一个槽。由于平面线圈中心处的磁场最强,两边较弱。所以我们考虑在此基础上加补偿线圈的方法,即通过在线圈边缘增加载流导线以增强线圈边缘处的磁感应强度。如图2(b)

图2感应线圈比较
4 齿槽效应测试
测试按照由间隙为0mm开始,在不同间隙下(每隔1mm)依次将传感器相对导轨水平移动一个齿槽周期进行抽样(每隔6mm取一次输出电压值),直到间隙为20mm截止。我们将加补偿线圈前的测试结果与加补偿线圈后的测试结果进行对比,如下图所示:

图3 两组线圈的测试曲线
如图3所示,其中纵坐标是间隙电压的输出值,单位:伏特(v)。横坐标是传感器与定子轨道之间的间隙值,单位毫米(mm)。将0~20mm每隔1mm 测得的电压值与间隙相对应,得出不同间隙下间隙与电压的曲线如上图所示。由图3(a)可以看出,未加补偿线圈时,传感器的齿槽效应比较大,最大处有近5V 的变化。加补偿线圈后,传感器对齿槽效应的补偿效果要明显好于未加补偿线圈时的效果,如图3(b)所示。
5 线性化及输出数据标定
以上测试结果反应的只是输出电压与间隙的对应关系,需要对A/D转换后的数字信号进行相关处理,按照协议将0~20mm的间隙信号转化为数字量0~200。把输入信号分成若干段,就输入的某一个局部范围之内可以认为是输入和输出之间近似的认为是线性关系。
按上述公式在对A/D转换后的数据进行线性化时,我们分为10段,即得出由10条线段首尾相连而成的一条折线 ,自变量x的取值范围为0~200,k 为常量。作出该函数曲线后,与函数y=x,(x的取值范围亦为0~200)相对比。在此,我们将线性化后折线的每一段的斜率定为 k1,k2,k3,……,k10,首先将 上下平移,使得x=0时,
,得出新的函数 ,该函数是由原点出发的一条折线段。然后,将分出10条线段分别对应到y=x上,那么最终输出为:
经上述运算后,我们分别取间隙为0mm、0.5mm、1mm、2mm、3mm、4mm、5mm、10mm、10.5mm、11mm、11.5mm及12mm依次将传感器相对定子轨道水平移动一个齿槽周期,将最终输出结果作出曲线如下图7所示:

图7 最终测试曲线
由上图分析,已经将线性度及对齿槽效应的补偿控制在要求范围之内,达到了预期的精度。
6 结论
悬浮间隙传感器作为磁浮列车悬浮控制系统中的核心检测部分,必须克服齿槽效应带来的负面影响以及电涡流传感器自身的缺点,进一步提高测量输出的精度。我们设计制作的悬浮间隙传感器样机,其创新点是涡流线圈采用了一种新的结构,即折叠加补偿线圈。它很好的克服了齿槽效应带来的负面影响,基本已经满足精度要求。综上所述,我们的样机解决了传感器设计中的一些关键问题,为实际应用打下了良好基础。
参考文献
[1].黄贤武,郑筱霞.传感器原理与应用[M]. 成都:电子科技大学出版社,1999
[2].任吉林,吴礼平,李林.涡流检测[M]. 北京:国防工业出版社,1985
[3].李璐. 高速磁悬浮列车间隙传感器的设计与研究[D].长沙:国防科技大学,2002
[4]. 栗大超.嵌入式系统的internet互联技术[Z],嵌入式系统应用精选200例[M].北京:微计算机信息杂志社,2002
上一篇:基于多传感器融合的压力测量系统设计
下一篇:工业智能指示灯拾取系统的应用


