- 易迪拓培训,专注于微波、射频、天线设计工程师的培养
灌浆机水泥计量系统的设计
摘 要: 介绍了灌浆机系统中水泥计量系统的结构、控制方式和PLC程序的设计,提出了由PLC控制步进电机的方法,并在PLC控制过程中加入反馈环节。
关键词: 水泥计量 螺旋输送机 PLC 步进电机
灌浆机是海洋工程中用来生产、储存和浇灌泥浆的机电一体化设备。其工作过程是将一定比例的水泥、水和添加剂投入到混炼器中进行强制性搅拌,将搅拌好的泥浆储存在搅拌器中,待泥浆泵灌浆。在整个灌浆机系统中,水泥等原料的计量系统是重要设备之一,它关系到泥浆生产效率和泥浆质量。水泥是固态粉状物料,流动起来流量不稳定,而且疏松程度也变化很大。如何实现精确快捷计量是人们关注的焦点。水泥计量通常分为二种方式:静态测量和动态测量。动态测量因具有计量误差小、计量速度快的优点而倍受青睐,如德国PF公司生产的转子计量秤[1],但其价格昂贵,只是在精度要求很高计量中用到。在这方面国内也作了很多研究,如对水泥的流动过程进行分析并建立了数学模型,但是实际计量过程中要进行复杂的数学运算,实现起来很困难。从经济性和实用性出发,针对灌浆机的水泥计量,本文设计了一种既结构简单又计量精度高的计量系统。
1 系统结构
水泥计量系统的主体结构由三部分构成:水泥缓冲罐、水泥计量斗和螺旋输送机。水泥装进水泥缓冲罐后,就等待PLC发出计量开始的命令。螺旋输送机是添料机构,用到此处的优点有:(1)比水泥仅靠重力下降填料稳定,计量可靠性高;(2)水泥填料的进度容易控制;(3)传动比较简单,步进电机加联轴器就可实现。水泥计量系统的结构如图1所示。其中:

(1)水泥缓冲罐。计量水泥开始前暂时将水泥存放在罐中。其出口的锥度角小于60deg,且出口的横截面积大于最大横截面积的1/2。这样水泥不容易成拱,而且螺旋输送机的填充系数比较稳定。
(2)LS小型螺旋输送机。它是利用螺旋旋转而推移物料的连续输送设备,其螺距布置均匀,在出料口布置二个旋向相反的叶片,有利于水泥的输出。
(3)水泥计量进口蝶阀和驱动气缸。蝶阀选用DN200,公称压力1Mpa;二位五通电磁阀连接气缸,由PLC控制。在计量开始时打开蝶阀,计量完后关上,防止螺旋输送机由于不确定因素而漏料,影响计量。
(4)称重传感器。在水泥计量斗的同一截面上布置三个称重传感器。该传感器为电阻应变式,采用S型剪切设计,具有高灵敏度输出、多层介质密封、高可靠性等特点。三个传感器的输出信号与所称的重量成线性关系,采用桥路联接,经变送器的放大、整流后输出4mA~20mA电流。
(5)水泥计量斗。由三个称重传感器悬空吊起,是计量水泥的载体。
(6)水泥计量出口蝶阀和驱动气缸。蝶阀DN300,公称压力1.25Mpa,气缸的控制设备与进口的气缸相同。
(7)气动振动器。水泥是颗粒粉状物,计量完放出后,难免会有遗留物留在水泥计量斗的内侧壁,而且不清除会越积越多,严重影响了水泥计量。气动振动器固定在水泥计量斗的外侧壁,靠振动使水泥落下。
(8)PLC。整个灌浆机的控制系统采用的是德国Siemens 公司的S7-300系列PLC,在计量系统中要用到数字输入输出模块和模拟输入模块。
(9)步进电机。本设计选用三相六拍的工作方式,在这种控制方式下工作,步进电机的运行特性较好,螺旋输送机送料的分辨率较高[3]。
2 计量控制
水泥计量的过程分为粗秤和精秤二个阶段。计量开始,步进电机(螺旋输送机)以速度Vmax运转,螺旋输送机添料进度较大,当计量到所需要重量的90%时开始精秤,这时PLC控制步进电机的转速下降,螺旋输送机的添料速度也随之下降,水泥计量斗称的重量越来越接近需要量,其中螺旋输送机的转速与水泥计量斗计量值的关系如图2所示。图中M为一次计量需要的水泥量,△为控制裕量。当水泥计量斗称到100%M-△时,PLC发出停止计量的指令,关闭上蝶阀,停止步进电机及螺旋输送机运转,填料过程结束。水泥计量斗已称的量加上水泥落差质量σ即为计量值。把螺旋输送机转速下降的斜率设计为
是考虑到计量快要结束前,螺旋输送机的转速很低,而且越接近结束时转速越低,当接近等于零时,就不会有进料,水泥计量斗也就不会达到要结束计量时的重量,使计量过程无限拖延。本文的设计就是避免在计量要完成时螺旋输送机的填料为零,仍要有一定的速度,只是当计量结束时应立刻停止,这样的计量要求步进电机可以完全实现。

水泥计量系统的控制框图如图3所示。

LS型螺旋输送机是水泥计量系统的填料机构,其输送量的计算公式为:

(1)式中,影响螺旋输送机输送的变量是螺旋转速V,充填系数Ka取值一般在0.52~0.7之间。在水泥计量系统中,要考虑水泥落差(H),也就是计算在关闭上蝶阀后,从蝶阀开始落到水泥计量斗内水泥堆顶的高度。在关闭上蝶阀时,由图2可得螺旋输送机的转速为:

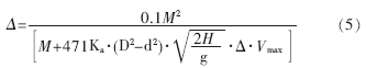
要达到100%M的计量,就要使Δ+σ=0.1M,从而就可得到控制裕度的公式为:

由(5)式可知,设定的控制裕量Δ与很多因素相关,而且要在计量前就计算出来。其中充填系数Kα是个不确定量,要作一些试验调整Kax,以适应不同松散程度的水泥计量,一般Ka取0.6时适应的范围更广,这样也就可以确定粗秤时的速度Vmax。
本计量系统采用PLC直接控制步进电机,这样会大大减少系统设计的工作量,不存在各个接口信号的匹配问题,从而提高系统的可靠性。整个控制系统由PLC和步进电机组成。作为一种工业控制计算机,PLC不仅仅可用于开关逻辑控制,还可用于闭环过程控制,而且可以由PLC的控制程序完成不同控制系统的不同指令脉冲控制器的任务。要实现上述功能,所选PLC应满足二个特性要求:一是要有实时刷新功能,使输出信号的频率可以达到数千赫兹或更高,以充分利用步进电机的速度响应能力,提高整个系统的快速性;二是PLC本身的输出口应该采用大功率晶体管,以满足步进电机各相绕组数十伏脉冲电压、数安培脉冲电流的驱动要求。S7-300系列PLC处理速度较快,执行一个基本指令的速度仅为2μs ,其普通的晶体管输出口的响应速度可以达数千赫兹,故可以直接控制步进电机。
3 计量程序设计
计量程序流程如图4所示。

整个灌浆机控制系统选用S7-300系列PLC编程控制,水泥计量部分为其一子程序。由步进电机的控制原理可知:步进电机要转动,必须有电脉冲,而且必须按一定的顺序加在电机绕组上,才能按规律运转。因此,要在编制的程序中产生脉冲,并按设计的顺序发出脉冲。该计量程序总体功能可概括为以下几点:
(1)运行方式控制功能。在计量程序中产生六拍时序脉冲,然后环形分配脉冲,这样步进电机就可按照三相六拍的方式运行。PLC是以定时器T600生成一定频率脉冲驱动辅助继电器M30.1,连续不断地进行移位处理来完成这一功能的。步进电机采用三相六拍的工作方式,即A-AB-B-BC-C-CA连续循环的变化,在PLC程序中接通顺序为:

(2)频率控制功能。步进电机的运行频率能够进行变化,以控制螺旋输送机的送料速度符合设计要求。根据计算结果改变定时器T600的设定值,以产生不同频率的脉冲来控制步进电机的转速。
(3)自动校秤功能。在正式计量开始前,要对水泥计量斗进行去除毛重处理,在计算中都是以计量斗的净重参与运算,而且在每次测量前由于所处环境因素等的变化,都要进行校秤。
4 结 论
本文针对灌浆机的水泥计量属于粉状颗粒物的计量这一特性,提出了步进电机控制螺旋输送机分阶段地为水泥计量斗配料的设计方法,并对此计量系统加入闭环反馈控制,同时对水泥落差进行误差补偿,很好地解决了动态测量中落差控制的问题。在水和添加剂计量系统的配合下,本系统能快捷准确地进行原料配比,生产出较高质量的泥浆。
参考文献
1 林又红,但斌斌,周鼎.粉状物料动态计量的研究.武汉科技大学学报(自然科学版),2000;20(3)
2 张旭梅.散状物料流动态计量系统的研究.重庆大学学报(自然科学版),2000;(5)
3 王庆国,吴建胜.PLC控制数字变量轴向柱塞泵的研究.沈阳工业大学学报,1999;21(1)
4 刘宝廷,陈树康.步进电动机及其驱动控制系统.哈尔滨:哈尔滨工业大学出版社,1997
上一篇:旧技术新用途,无线应用推动测试测量技术发展
下一篇:SIWAREX
FTA集成于SIMATIC给调料生产带来了灵活性


