- 易迪拓培训,专注于微波、射频、天线设计工程师的培养
激光干涉原理在振动测量中的应用
0 引 言
振动量值的计量是计量科学中一个非常重要的方面。在现实中,描述振动特性的最常用的量值是位移、速度、加速度。常用的测振技术是接触式测量。在测量物体上安装加速度传感器,利用加速度传感器的电荷输出信号实现加速度-速度-位移的相关测量。如果测量较小物体的振动,附加的传感器质量往往影响被测物体的振动,从而产生测量误差;而且一些工作场合因被测物体表面影响或是测量条件的限制往往不允许在被测物体表面安装测振传感器。因此设计和开发新型的非接触式、高精度、实时性的测振技术一直是工程科学和技术领域中的重要任务。
由于激光的方向性、单色性和相干性好等特性,使激光测量技术广泛应用于各种军事目标的测量和精密民用测量中,尤其是在测量各种微弱振动、目标运动的速度及其微小的变化等方面。
1 激光干涉" title="激光干涉">激光干涉 测振原理
激光干涉测振技术是以激光干涉原理为基础进行测试的一门技术,测试灵敏度和准确度高,绝大部分都是非接触式的。激光干涉原理如图1所示。

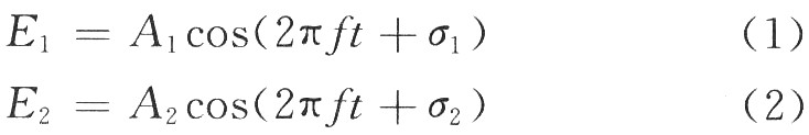
光源S处发出的频率为f、波长为λ的激光束一部分投射到记录介质H(比如全息干板)上,光波的复振幅记为E1,另一部分经物体O表面反射后投射到记录介质H上,光波的复振幅记为E2。其中:

式中:A1和A2分别为光波的振幅;σ1和σ2分别是光波的位相;当E1和E2满足相干条件时,其光波的合成复振幅E为:

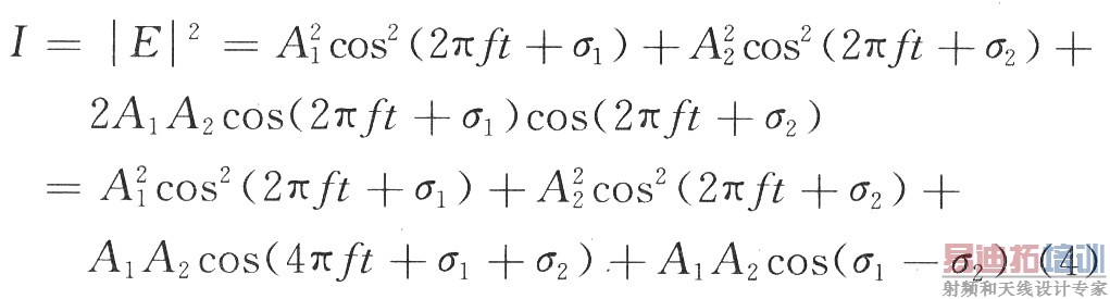
光强分布I为:

式(4)的四项中前三项均为高频分量,只有第四项为低频分量,且与物体表面的状态有关。第四项的含义是σ2代表的物体表面与σ1代表的参考面之间的相对变化量。因此通过处理和分析物体表面与参考在变形前后的位相变化、光强变化等,从而得到被测物体振动速度、位移等关系式。
2 激光干涉测振方法分析
激光干涉测振主要的方法有:时间平均全息方法、激光散斑干涉技术、激光多普勒测振技术等。
2.1 时间平均全息方法
对于在某一稳定频率下作简谐振动的物体,用连续激光照射,并在比振动周期长得多的时间内在全息干板上曝光,可将物体表面所反射的光与未作位相调制的参考光相叠加,将两束光的干涉图记录在全息干板上。其重现象由反映节线和等振幅线组成的干涉条纹来表示振幅分布。这就是时间平均全息方法的测振原理。其时间平均全息图的重现像的光强度按零阶贝塞尔函数的平方分布。

式中:J0为零阶贝塞尔函数;V(x,y)为物体上某点的位移;θ1为振动方向和照明方向的夹角;θ2为振动方向和观察方向的夹角。
因此,由式(5)通过分析光强I的变化确定V(x,y)的量值,实现振动位移测量,如图2所示。

应当说明,如果物体振动的规律不同,条纹的强度分布规律也不同,但计算方法是类似的。时间平均全息方法的实验过程简单,节线清晰,可以检测形状复杂的透光物体或反射物体以及漫散射体,因此在振动分析中广泛使用。不足之处是测量范围小(仅几十微米左右),对记录信息过多,对记录介质的分辨率要求过高,故限制了应用范围。
2.2 激光散斑干涉技术
激光散斑干涉是指被测物体表面的散射光产生的散斑与另一参考光相干涉,当物体表面发生变化时,如位移或变形等,干涉条纹也发生变化。通过对这些干涉条纹的处理,可以得到物体表面的振动情况。
散斑法光路简单,不但可以非接触测量,无损检测,而且可以遥感测量。不仅用来研究物体的状态,而且可对物体作振动分析,已经提出了多种测振方案,如时间平均法、频闪法、双脉冲电子散斑干涉(ESPI)法等。散斑用于侧振时,条纹与位移之间的关系较为简单,但接收信号的强度由于物体的振动使散斑对比度变得很差,通常采用光学傅里叶变换滤波法,从混合的散斑图像中提取信息,最后将处理过的散斑图纸片放在线性衍射仪中进行滤波,产生一组清晰的条纹。
2.3 激光多普勒测振技术
如果一定频率的声波、无线电波或光波在传播过程中,对于接收器有相对运动时,接收器接收到的反射波的频率会随相对运动的速度变化,这种现象叫做多普勒频移效应。激光多普勒测振原理就是基于测量从物体表面微小区域反射回的相干激光光波的多普勒频移△fD,进而确定该测点的振动速度V。利用激光多普勒效应,不仅能测量固体的振动速度,而且也能测量流体的流动速度。
如图3所示,S为光源,频率为f,光速为c,O为光波接收器件,P为速度为V的运动物体,且能反射光波,当波源和接收器保持相对静止时,假设n是沿从光源到接收者光路上的波数或周期数,则由图3可知,在无限小的时间间隔δt中,假定P移动到P'的距离为Vδt,则在光程中周期数将减少为:

式中:PN和PN'分别是向SP和PO作的垂线;PP'为无限小;λ和λ"是散射前后的波长。式(6)可表示为:

在一般情况下,不需要区分λ和λ",这样就得到一级近似的多普勒频移:

接收器接收到的光波频率为f+△fD,频率偏移量为△fD,也称多普勒频率。由式(10)中被测物体速度V和多普勒频移△fD的关系式,并通过测量△fD可以得到振动速度V的量值。
激光多普勒技术具有测量精度高,空间分辨力高,动态响应快,非接触测量的特点,适用于高温、高压、高速、放射等特殊环境中,应用范围广泛。但也存在一定的缺陷,受被测体表面情况影响较大,另外光学测量头的性能也会影响测量精度。
3 改善激光测振精度的关键问题
在激光测振的过程中,对测量精度造成影响的外界因素有:激光束汇聚点离焦;测量系统的机械稳定性;激光束本身的强度分布;被测物体的表面效应等。面对振动测量" title="振动测量">振动测量 的低频、高精度测量要求,必须提高激光测振仪的测量精度。改善激光测振精度的关键问题主要有以下几个方面:
(1)稳定激光的工作环境。保证系统有一个好的工作环境,特别是从保证激光频率稳定角度出发,要保证系统工作环境的温度相对稳定。
(2)光路的设计、安装、调试。良好的光路设计、可以提高测量的精度,减少因光引起的测量误差。通过正确的安装、调试,减少因此引起的校准误差。
(3)光电转换接收。通过对光电倍增管频响的分析,对接收到的干涉条纹产生的电信号进行处理,降低对光电信号的影响和电路系统的噪声,提高计数的准确性。
(4)良好的隔振措施。在分析外界振动对系统影响的基础上,对系统进行适当的隔振,以降低外界振动对测量精度的影响。
(5)研究新的测量方法,研究多种技术的综合应用,降低成本,实现仪器化测振系统,开拓新的应用领域。
4 结 语
通过在激光测振技术研究的工作中发现,目前激光测振技术理论上的方法虽多,但在工程应用中较少,主要原因是干涉条纹计数的精确度、隔振系统" title="隔振系统">隔振系统 性能、被测物体表面效应、光的漫反射等影响。因此,使用电子分频和光学细分等方法对干涉条纹进行细分;研究设计精确的隔振系统;运用快速发展的信号处理技术和光学仪器技术提高光电转换的信噪比,克服表面效应和漫反射效应的影响是今后的主要研究方向。
上一篇:使用CompactFieldPoint和动画
像演示为癌症诊断进行放射性药物合成
下一篇:激光位移传感器在精密测厚中的应用


